Report tài liệu
Chia sẻ tài liệu
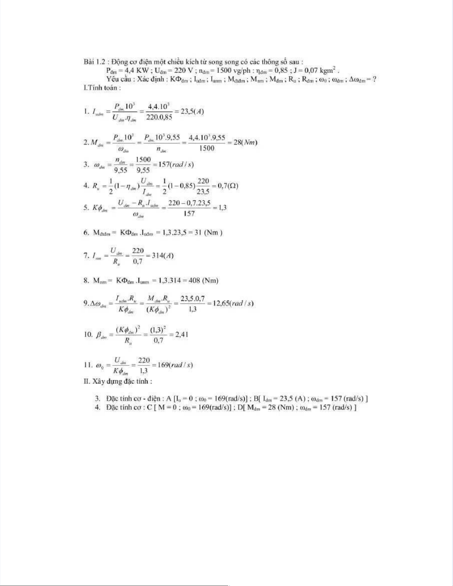
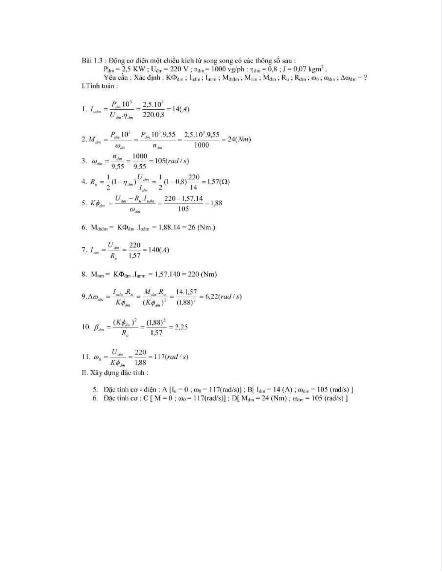
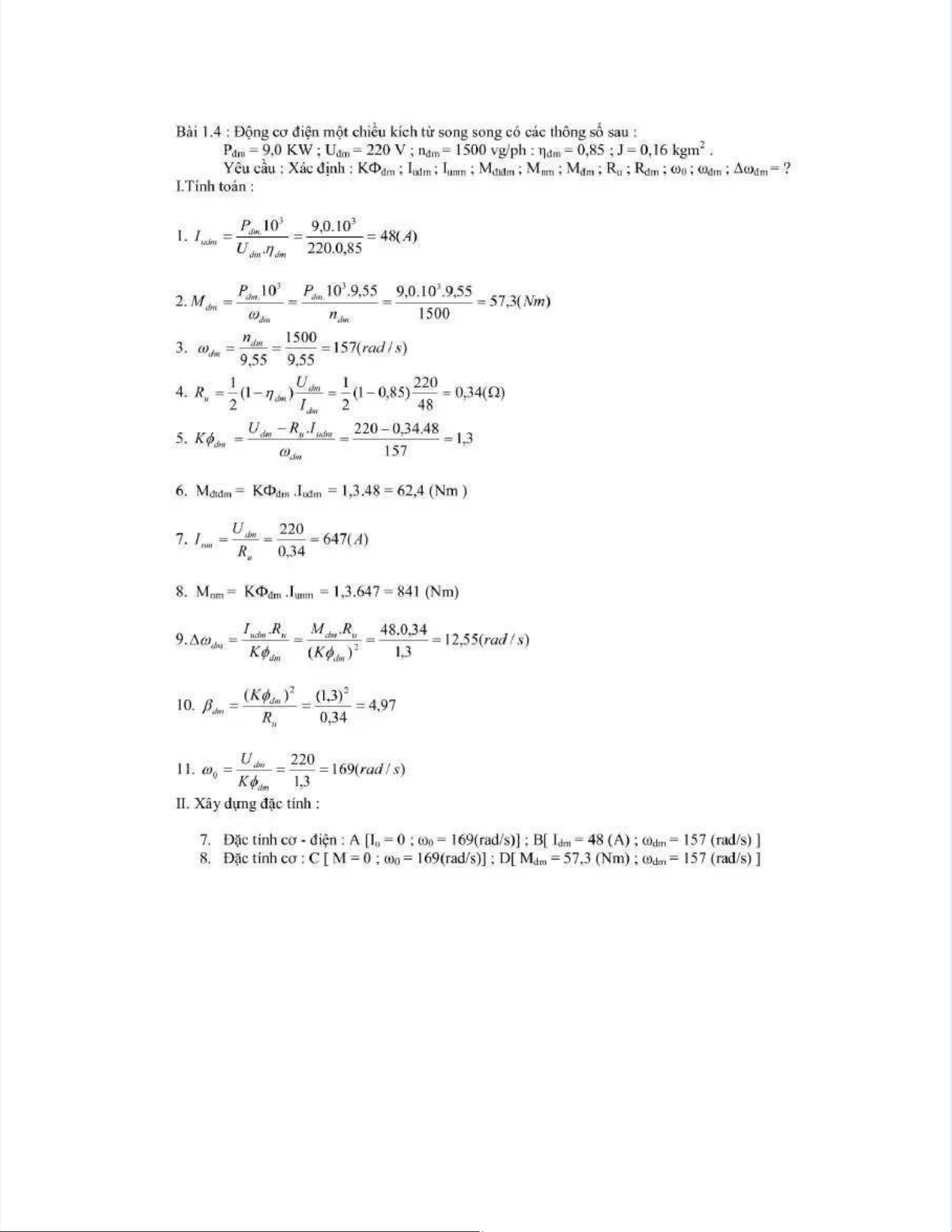
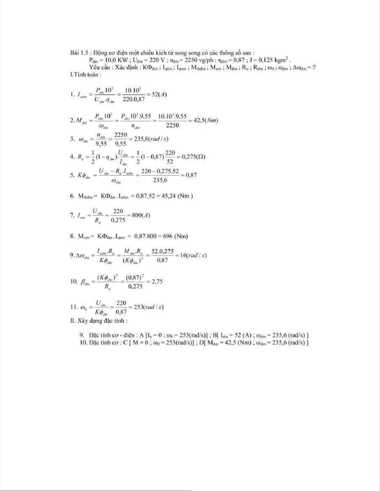
Bài tập và đáp án môn truyền động điện –Trường Đại học bách khoa Hà Nội
Bài tập và đáp án môn truyền động điện –Trường Đại học bách khoa Hà Nội
Tài liệu gồm 22 trang , giúp bạn tham khảo, ôn tập và đạt kết quả cao
Môn: Truyền động điện 28 tài liệu
Trường: Đại học Bách Khoa Hà Nội 4.4 K tài liệu
Tác giả:
Tài liệu liên quan:
-
Đề thi môn truyền động điện –Trường Đại học bách khoa Hà Nội
22 11 -
Đề bài: Trình bày cơ sở lý thuyết, ứng dụng và mô phỏng hệ chopper-motor- môn truyền động điện –Trường Đại học bách khoa Hà Nội
22 11 -
Câu hỏi lý thuyết môn truyền động điện –Trường Đại học bách khoa Hà Nội
26 13 -
Đề thi cuối kỳ môn truyền động điện –Trường Đại học bách khoa Hà Nội
34 17 -
Bài tập môn truyền động điện –Trường Đại học bách khoa Hà Nội
27 14



















