






Preview text:
BẢNG PHÂN TÍCH GDP THEO KHU VỰC KINH TẾ TẠI VIỆT NAM 2018-2022 Đơn vị tính: Tỷ đồng
Nguồn: Tổng cục thống kê Việt Nam 1. Phân tích khái quát
Tổng GDP của Việt Nam các năm 2018-2022 lần lượt là 7009042,13; 7707200,29; 8044385,73;
8479666,50; 9513327.03 tỷ đồng. Năm 2019 tăng 698158,16 tỷ đồng so với năm 2018 tương ứng với
9,96%; năm 2020 tăng 109792,78 tỷ đồng so với năm 2019 tương ứng với tỷ lệ tăng 4,37%; năm
2021 tăng 435280,77 tỷ đồng so với năm 2020 tương ứng với 5,41%; năm 2022 tăng 1033660,53 tỷ
đồng so với năm 2021 tương ứng với 12,19%. Có thể thấy từ năm 2018 đến năm 2022 thì tổng GDP
của nước ta đều tăng nhưng tăng không đáng kể. Năm 2018 đến năm 2021 toàn thế giới hay nước ta
đang phải gánh chịu bởi dịch Covid-19 một cách nặng nề nên có lẽ con số tăng khá khiêm tốn. Đến
năm 2022 thì dịch Covid-19 đang dần được kiểm soát nước ta tăng cường hoạt động sản xuất trở lại
tăng lên một con số khá lớn là 12,19%.Ngành du lịch dịch vụ ở nước ta chiếm tỷ trọng lớn nhất trong
cơ cấu GDP chiếm hơn 41% ở tất cả các năm. Tiếp đến là Công nghiệp xây dựng chiếm hơn 36% và
ngành Nông-Lâm-Thủy sản chiếm hơn 11% xếp thứ 3 và cuối cùng là Thuế sp trừ trợ cấp SP với hơn
8,5%. Sự tăng lên ở các năm có sự tăng khá đồng đều ở tất cả các khu vực riêng ngành Nông-Lâm-
Thủy sản đang có xu hướng tăng rồi giảm tỷ trọng trong cơ cấu GDP không cố định. Đối với ngành
Công nghiệp xây dựng có xu hướng tăng tỷ trọng trong tổng cơ cấu GDP qua các năm. Còn ngành
Du lịch dịch vụ năm 2018 sang năm 2019 tỷ trọng tăng nhưng từ năm 2019-2022 do diễn biến dịch
bệnh và đặc thù của ngành nên tỷ trọng có xu hướng giảm đi. So sánh với Đức:
Đức là một trong các nước đứng đầu trong những nước có thu nhập cao trên thế giới. Là một
nước phát triển trên thế giới thì tổng GDP của Đức đang vượt xa chúng ta rất nhiều.
Biểu đồ 2.3.1. Tổng GDP của Việt Nam và Đức Đvt: tỷ USD 4500 4000 3500 3000 2500 2000 1500 1000 500 0 Năm 2018 Năm 2019 Năm 2020 Năm 2021 Năm 2022 Việt Nam Đức Năm
Nước 2018 2019 2020 2021 2022 Việt Nam 310.11 334.37 346.62 366.14 408.8
Đức 3974.36 3888.04 3889.90 4259.91 4072.74 Nguồn: Worldbank
(Chú thích: 1 USD = 24560 VNĐ)
Tổng GDP của Việt Nam có sự tăng trưởng khá đồng đều qua các năm không có sự sụt giảm nào.
Ngược lại thì tình hình GDP của Đức khá biến động và có những sự sụt giảm.
Trong giai đoạn 2018-2021 , GDP biến động không đều qua các năm và có sự giảm nhẹ từ
3974.36 tỷ USD (2018) xuống còn 3889.90 tỷ USD (2020).Sự suy giảm do nhiều nguyên nhân khác
nhau, trong đó phải kể đến tác động của căng thẳng thương mại giữa các nền kinh tế lớn (EU-Mỹ, Mỹ -
Trung,..), ảnh hưởng từ việc Anh rời khỏi EU, đặc biệt là sự bùng nổ dịch COVID-19 vào năm 2020.
Tuy là có giảm như vậy nhưng năm 2020, với GDP là 3889.90 tỷ USD thì Đức chỉ đứng sau Mỹ, Trung
Quốc, Nhật Bản. Đến năm 2021 thì GDP của Đức lại tăng trở lại, nhưng do tình hình dịch bệnh trở nên
căng thẳng hơn thì đến năm 2022 thì GDP lại sụt giảm từ 4259.91 xuống còn 4072.74 tỷ USD. Có thể
thấy nền kinh tế Đức giai đoạn 2018-2022 có nhiều sự biến động nhưng thu nhập của quốc gia phát triển
này vẫn nằm trong những nước đầu của thế giới.
Nhìn lại bức tranh nền kinh tế Việt Nam giai đoạn 5 năm, trong đó sự tăng trưởng kinh tế đạt ở
mức tương đối khá trong giai đoạn 2018-2022. Mặc dù tốc độ tăng của GDP năm 2020, 2021
tăng thấp hơn tốc độ tăng của những năm trong giai đoạn vì đại dịch COVID 19 nhưng trong
năm tiếp theo, nền kinh tế đã có sự bứt phá, tốc độ tăng GDP năm sau cao hơn năm trước và vượt
mục tiêu chính phủ đề ra trong năm. 2. Phân tích kinh tế 2.1.
Nông – Lâm – Thủy sản
Đây là một ngành truyền thống có từ lâu đời của Việt Nam, và đây cũng là một ngành quan trọng
là kế sinh nhai của nhiều người dân nước ta. Nông – Lâm – Thủy sản của Việt Nam năm 2018 là
862.579,58 tỷ đồng; năm 2019 là 908.257,22 tỷ đồng; năm 2020 là 1.018.050 tỷ đồng; năm 2021 là
1.065.078 tỷ đồng và năm 2022 là 1.129.908,12 tỷ đồng. Nước ta đang tiến đến công nghiệp hóa hiện
đại hóa đất nước nên tỷ trọng cơ cấu của Nông,lâm, thủy sản có nhiều biến động. Cụ thể: -
Năm 2019 tăng 45.677,64 tỷ đồng tương ứng với tăng 5,3% (-0,53%) so với năm 2018 -
Năm 2020 tăng 109.792,78 tỷ đồng tương ứng với tăng 12,09% (+0,88%) so với năm 2019 -
Năm 2021 tăng 47.028 tỷ đồng tương ứng với tăng 4.62% (-0,1%) so với năm 2020 -
Năm 2022 tăng 64.830,12 tỷ đồng tương ứng với tăng 6,09% (-0,68%) so với năm 2021
Trong đại dịch Covid-19 vừa qua, bất chấp những khó khăn chung của nền kinh tế, Nông, Lâm
nghiệp và Thủy sản vẫn giữ được nhịp tăng trưởng, đóng góp vào mức tăng chung của nền kinh tế.
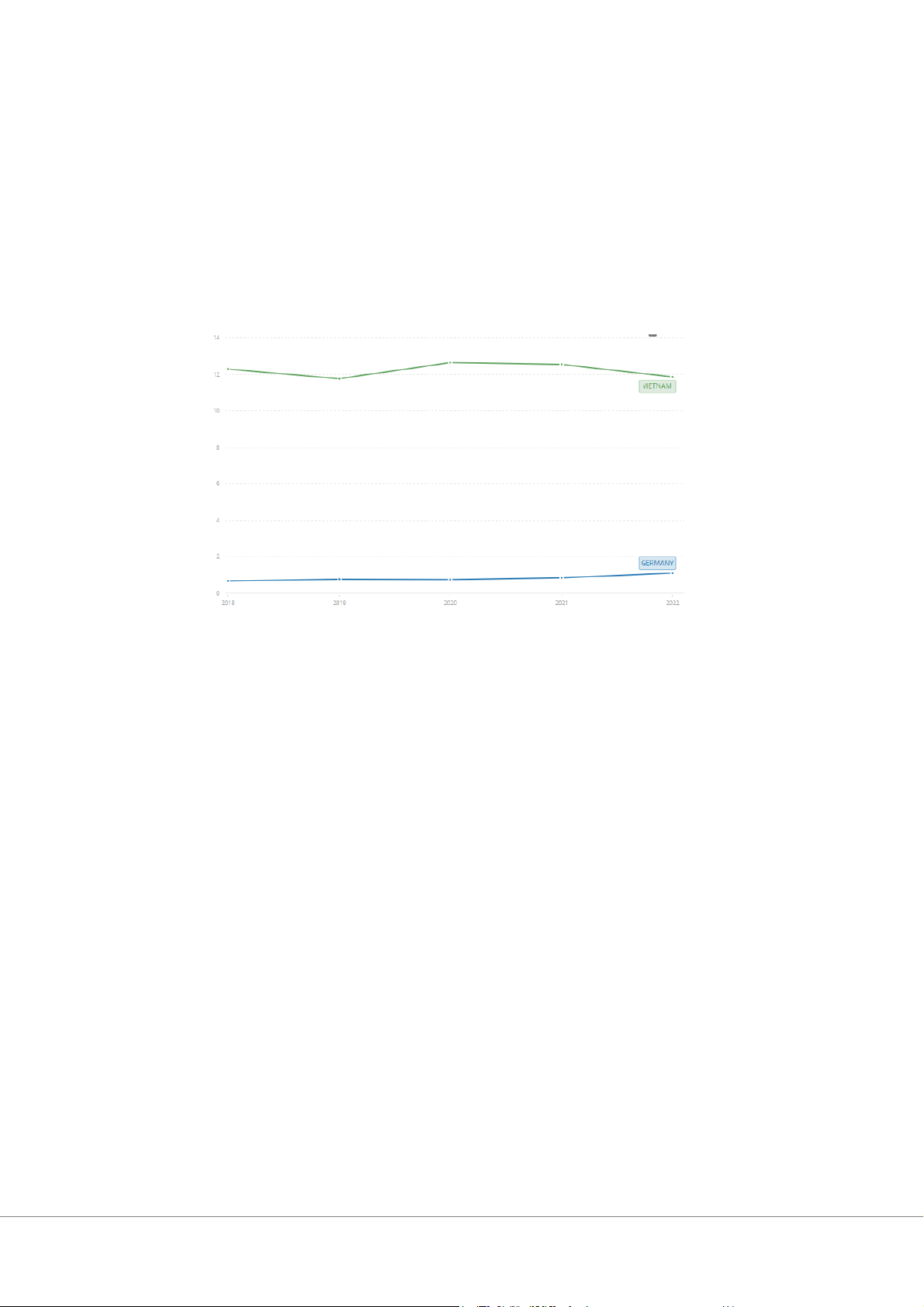
Biểu đồ 2.3.2. Quy mô GDP Nông Lâm Thủy sản Nguồn: Worldbank
Nhìn vào biểu đồ thì ta có thể thấy quy mô ngành Nông, lâm ,thủy sản của Việt Nam cao gấp hơn
10 lần nước Đức. Đức là một nước nông nghiệp: hơn 80% lãnh thổ của đất nước này được sử dụng cho
mục đích nông nghiệp hoặc lâm nghiệp. Đây cũng là nước xuất khẩu lớn về nông sản và thực phẩm với
giá trị xuất khẩu tương ứng lên tới hơn 50 tỉ euro. Các mặt hàng quan trọng nhất bao gồm thịt và các sản
phẩm từ thịt. Mặc dù vậy nhưng đóng góp của ngành này trong nền kinh tế Đức chỉ chiếm khoảng 1%
trong tổng GDP của cả nước. Đức là một đất nước phát triển nên tỷ trọng của ngành này khá nhỏ, và nền
nông nghiệp ở đây cũng chủ yếu vận dụng khoa học công nghệ các kĩ thuật hiện đại. Việt Nam vẫn chưa
chuyển dịch cơ cấu Nông, lâm, ngư nghiệp sang công nghiệp dịch vụ một cách rõ ràng và Đức đã
chuyển dịch sang một cách thành công và vẫn duy trì ngành này một cách ổn định.
Việt Nam là một nước đi lên từ nông nghiệp cho mà GDP đến từ khu vực này thấp nhất trong 3
khu vực và có xu hướng giảm qua các năm 2018-2022 là bởi các nguyên nhân sau: Nguyên nhân khách quan: - Thế giới:
Trong giai đoạn 2018-2022 thì nền kinh tế thế giới hay đối với nghành Nông, lâm, thủy
sản đang phải đối mặt với hàng loạt thiên tai, biến đổi môi trường, biến động giá thực
phẩm hay tình hình Covid-19 làm thiếu nhân công sản xuất gây ra sụt giảm thu nhập của
ngành này làm cho tỷ lệ sụt giảm
Xu thế chung của thế giới hay đối với các nước đang phát triển là giảm tỷ trong ngành
Nông, lâm, thủy sản tăng tỷ trọng ngành Công nghiệp và dịch vụ, vì vậy mà ở hầu hết
các nước tỷ trọng của ngành này khá thấp - Trong nước:
Do giá thành các sản phẩm Nông, lâm, thủy sản thường có mức giá rẻ đóng góp giá trị
thấp. Và nước ta sản xuất chưa vận dụng triệt để khoa học công nghệ hay những quy
trình đạt chuẩn nên nông sản của nước ta vẫn chưa xuất khẩu ra thế giới được nhiều
Các nguồn vốn FDI thu hút từ nước ngoài được chú trọng đầu tư vào mảng công nghiệp
và dịch vụ hơn so với Nông, lâm, thủy sản.
Do tác động của công nghiệp hóa hiện đại hóa nên Việt Nam chấp nhận giảm tỷ trọng
ngành này để tiến đến trở thành một nước phát triển vào xu thế chung của thế giới
Nguyên nhân chủ quan: Do chính sách kinh tế của chính phủ hướng tới chuyển dịch cơ cấu
kinh tế ngành từ nông lâm thủy sản sang công nghiệp và dịch vụ.
Có thể thấy rằng ngành Nông, lâm, thủy sản có sự giảm tỷ trọng qua các năm nhưng đóng góp
GDP vẫn tăng đều. Thực tế đã chứng minh lĩnh vực nông nghiệp luôn thể hiện vai trò là bệ đỡ của nền
kinh tế, là nền tảng cho ổn định đời sống xã hội trong thời kỳ khó khăn. Cùng với sự phát triển kinh tế,
trong nội bộ ngành nông, lâm nghiệp và thủy sản đã có sự chuyển dịch cơ cấu từ nông nghiệp sang lâm
nghiệp và thủy sản và sự chuyển dịch trong nội bộ các hoạt động sản xuất nông nghiệp theo hướng tăng
năng suất chất lượng và giảm số lượng. Đây là thực tế tất yếu, đảm bảo sự thích ứng, hội nhập của nền
kinh tế và chính từ sự chuyển dịch cơ cấu đó đã giúp ngành Nông nghiệp ngày càng phát triển, là động
lực phát triển của toàn ngành kinh tế.
Giảm tỷ trọng ngành này cũng có những ưu điểm là đảm bảo an ninh lương thực quốc gia và tạo
dự trữ lớn cho quốc gia phòng trừ các trường hợp xấu như: Bão lũ, biến đổi khí hậu,...; và nhược điểm là
thường với các quốc gia đang phát triển, đây là khu vực kinh tế có năng suất lao động thấp do việc thiếu
ứng dụng khoa học công nghệ vào gia tăng sản xuất. Tỷ trọng ngành nông lâm còn chiếm tỷ trọng cao
chứng tỏ quốc gia này đang có trình độ phát triển kinh tế thấp.
Trong tương lai thì ngành Nông, lâm, thủy sản vẫn đóng góp một phần không nhỏ vào nền kinh
tế của Việt Nam nhưng tỷ trọng của ngành này sẽ ngày càng giảm để phù hợp với xu thế chung và các
chính sách phát triển để đưa nước ta trở thành một nước công nghiệp hóa hiện đại hóa. Việt Nam sẽ vận
dụng khoa học công nghệ để phát triển bền vững khu vực này.
2.2. Công nghiệp xây dựng
Ngành Công nghiệp xây dựng có thể xem là ngành mũi nhọn của nền kinh tế Việt Nam. Trong giai
đoạn 2018-2022 ngành này chiếm tỷ trọng khá lớn xếp thứ 2 trong tổng số GDP với hơn 36%. Năm
2018 GDP đến từ khu vực công nghiệp xây dựng đạt 2.561.274,55 tỷ đồng (chiếm 36,54%), năm 2019 là
2.836.491,47 tỷ đồng (chiếm 36,8%), năm 2020 là 2.955.806,03 tỷ đồng (chiếm 36,74%), năm 2021 là
3.177.859,76 tỷ đồng (chiếm 37,48%) và năm 2022 là 3.639.729,82 tỷ đồng (chiếm 38,26%). Như vậy,
xu hướng biến động chung là xu hướng tăng về GDP ở tất cả các năm riêng về tỷ trọng có sự sụt giảm
nhẹ ở năm 2019-2020 do sự tăng lên khá nhiều ở khu vực Nông, lâm, thủy sản. Cụ thể: -
Năm 2019 tăng 275.216,92 tỷ đồng tương ứng với tăng 10,75% (+0,26%) so với năm 2018 -
Năm 2020 tăng 119.314,56 tỷ đồng tương ứng với tăng 4,21% (-0,06%) so với năm 2019 -
Năm 2021 tăng 222.053,73 tỷ đồng tương ứng với tăng 7,51% (+0,74%) so với năm 2020 -
Năm 2022 tăng 461.870,06 tỷ đồng tương ứng với tăng 14,53% (0,78%) so với năm 2021
Ngành Công nghiệp xây dựng có tỷ lệ tăng khá cao ở năm 2019 và năm 2022 đều trên 10%. Năm
2020 và năm 2021 có tỷ lệ tăng khá khiêm tốn do dịch Covid-19 diễn biến phức tạp, làm gián đoạn hoạt
động kinh tế – xã hội của các quốc gia trên thế giới; xung đột thương mại Mỹ – Trung vẫn tiếp diễn.
Trong nước, thiên tai, dịch bệnh tác động không nhỏ tới các hoạt động của nền kinh tế và cuộc sống của
người dân; tỷ lệ thất nghiệp, thiếu việc làm ở mức cao Trong những năm Covid-19 Việt Nam hiếm hoi
là các quốc gia thu nhập GDP tăng khá tương đối. Năm 2022, Việt Nam có tốc độ tăng trưởng có thể
xem là cao nhất trong 10 năm trở lại đây. Trong đó, Trong khu vực công nghiệp và xây dựng, ngành
công nghiệp chế biến, chế tạo tiếp tục là động lực tăng trưởng của toàn nền kinh tế với tốc độ tăng
8,10%, đóng góp 2,09 điểm phần trăm vào tốc độ tăng tổng giá trị tăng thêm của toàn nền kinh tế.Ngành
cung cấp nước, quản lý và xử lý rác thải, nước thải tăng 7,45%, đóng góp 0,04 điểm phần trăm. Ngành
sản xuất và phân phối điện tăng 7,05%, đóng góp 0,26 điểm phần trăm. Ngành khai khoáng tăng 5,19%,
đóng góp 0,17 điểm phần trăm. Ngành xây dựng tăng 8,17%, đóng góp 0,59 điểm phần trăm. Có thể thấy
được hầu như tất cả các ngành trong khu vực này đều tăng tăng một cách khá đồng đềù. ĐVT: tỷ USD ( 1 USD=24560VNĐ) Năm
Nước 2018 2019 2020 2021 2022 Việt Nam
113,47 123,06 127,49 137,21 156,82
Đức 1085,39 1048,49 1035,73 1139,63 1086,30
Biểu đồ 2.3.3. Quy mô GDP ngành Công nghiệp xây dựng 1200 1000 800 600 400 200 0 Năm 2018 Năm 2019 Năm 2020 Năm 2021 Năm 2022 Việt Nam Đức Nguồn: Worldbank
Nhìn vào biểu đồ ta có thể thấy được quy mô GDP khu vực công nghiệp xây dựng của Đức gấp
rất nhiều lần nước ta. Đức là một nước phát triển đã trải qua quá trình công nghiệp hóa hiện đại hóa nên
dễ hiểu là quy mô khu vực này ở Đức lại cao gấp gần 10 lần Việt Nam. Trong giai đoạn 2018-2022, khu
vực Công nghiệp xây dựng ở Đức tăng trưởng không ổn định theo xu hướng giảm.