



















Preview text:
lOMoARcPSD| 60380256
TRƯỜNG ĐẠI HỌC VĂN LANG KHOA CÔNG NGHỆ ỨNG DỤNG
BÁO CÁO TIỂU LUẬN
XÁC ĐỊNH HÀM LƯỢNG PROTEIN VÀ
GLUCOSE TRONG TRÀ DÂU
NGÀNH: CÔNG NGHỆ THỰC PHẨM LỚP: 71K27CNTP01
Nguyễn Hàn Lâm – 2175401010028 Vương Gia Tân – 2175401010029 Huỳnh
Nhật Huy – 2175401010025
Giảng viên hướng dẫn TS. Nguyễn Văn Chí
THÀNH PHỐ HỒ CHÍ MINH, NĂM 2023
TRƯỜNG ĐẠI HỌC VĂN LANG KHOA CÔNG NGHỆ ỨNG DỤNG lOMoARcPSD| 60380256
BÁO CÁO TIỂU LUẬN
XÁC ĐỊNH HÀM LƯỢNG PROTEIN VÀ
GLUCOSE TRONG TRÀ DÂU
NGÀNH: CÔNG NGHỆ THỰC PHẨM LỚP: 71K27CNTP01
Nguyễn Hàn Lâm – 2175401010028 Vương Gia Tân – 2175401010029 Huỳnh
Nhật Huy – 2175401010025
Giảng viên hướng dẫn TS. Nguyễn Văn Chí
THÀNH PHỐ HỒ CHÍ MINH, NĂM 2023 DANH MỤC BẢNG
Bảng 1: Bảng Pha loãng nồng độ đường chuẩn glucose…………………………… 10
Bảng 2: Hàm lượng vitamin C qua của các mẫu qua từng ngày…………..26
Bảng 3: Hàm lượng glucose của các mẫu qua từng ngày………………………….27
Bảng 4: Mẫu trà dâu (Hai Lá Trà ) Trong 3 ngày………………………………… 30
Bảng 5: Mẫu trà dâu (Gió Coffee) Trong 3 ngày…………………………………31
Bảng 6: Mẫu trà dâu (No Name) Trong 3 ngày…………………………………… 31
Bảng 7: Mẫu trà dâu (May) Trong 3 ngày ……………………………………….32
Bảng 8: Mẫu trà dâu (Miss Rosy) Trong 3 ngày………………………………….33 lOMoARcPSD| 60380256 DANH MỤC HÌNH ẢNH
Hình 1: Công thức hóa học , phân tử của DNS và ANS…………………………7
Hình 2: Đường chuẩn glucose……………………………………………………..8
Hình 3: Thiết lập cài đặt máy HPLC…………………………………………….12
Hình 4: Chất chuẩn Vitamin C (0.6 ml Iot)…………………………………..17
Hình 5: Mẫu trà dâu (Hai Lá Trà) (0.8 0.7 0.7) (ml) Ngày 1……………………...18
Hình 6: Mua trà dâu (Gió Coffee) (0.3 0.3 0.4) (ml) Ngày 1……………………… 18
Hình 7: Mua trà dâu (no name) (0.3 0.3 0.4) (ml) Ngày 1………………………… 19
Hình 8: Mua trà dâu (Mây) (0,3 0,4 0,4) (ml) Ngày 1……………………………..19
Hình 9: Mua trà dâu (Miss Rosy) (0,6 0,5 0,6) (ml) Ngày
1……………………….20
Hình 10: Mua trà dâu (Hai Lá Trà) (1.2 1.2 1) (ml) Ngày 2……………………… 20
Hình 11: Mua trà dâu (Gió Coffee) (0.7 0.7 0.7) (ml) Ngày
2……………………..21
Hình 12: Mua trà dâu (No Name) (0.5 0.5 0.6) (ml) Ngày 2……………………… 21
Hình 13: Mua trà dâu (Mây) (0,8 0,8 0,9) (ml) Ngày 2…………………………… 22
Hình 14: Mua trà dâu (Miss Rosy) (0.5 0.6 0.5) (ml) Ngày 2……………………..22
Hình 15: Mua trà dâu (Hai Lá Trà) (0,6 0,7 0,7) (ml) Ngày 3…………………… 23
Hình 16: Mua trà dâu (Gió Coffee) (0,6 0,5 0,6) (ml) Ngày
3…………………….23
Hình 17: Mua trà dâu (No Name) (0,6 0,6 0,7) (ml) Ngày 3……………………...24
Hình 18: Mua trà dâu (Mây) (0.7 0.7 0.7) (ml) Ngày 3…………………………...24
Hình 19: Mua trà dâu (Miss Rosy) (0.7 0,6 0,7) (ml) Ngày
3……………………..25
Hình 20: Đường chuẩn glucose với lần lượt từ trái qua phải với (các nồng độ
0,20,40,60,80,100) …………………………………………………………….28 lOMoARcPSD| 60380256
Hình 21 Quán Hai Lá Trà………………………………………………………..34
HÌnh 22 Quán Gió………………………………………………………………...34
Hình 23 Quán Miss Rossy………………………………………………………..35
Hình 24 Quán May……………………………………………………………….35
Hình 25 Quán Mộc ……………………………………………………………….36 5 Mục Lục
CHƯƠNG 1. TỔNG QUAN............................................................................1 1.1.
Tổng quan về trà dâu.......................................................................1 1.2.
Nguyên liệu của trà dâu...................................................................1 lOMoARcPSD| 60380256 1.3.
Thành phần dưỡng chất có trong trà dâu......................................1 1.3.1.
Vai trò của vitamin C...................................................................2 1.3.2.
Carbonhydrate.............................................................................3 1.3.3.
Một số chất khác..........................................................................4
CHƯƠNG 2. CÁC PHƯƠNG PHÁP PHÂN TÍCH......................................5
2.1. Carbonhydrate......................................................................................5
2.1.2 Nguyên tắc phương pháp xác định hàm lượng đường khử DNS.7
2.1.3 Nguyên tắc phương pháp Phenol-Sulfuric acid ( phương pháp
chọn )....................................................................................................................9 2.2
Các phương pháp xác định vitamin C..............................................12
2.2.2 Xác định vitamin C bằng phương pháp đo quang phổ uv –vis..13
2.2.3 Xác định vitamin C bằng phương pháp oxy hóa- khử chuẩn độ
iot........................................................................................................................15
CHƯƠNG 3 KẾT QUẢ VÀ BÀN LUẬN.....................................................17
3.1. Kết quả Vitamin C..............................................................................17
3.2 Hàm lượngCarbohydrate………………………………………………27.
3.3 Hình ảnh các quán nước ……………………………………………….34 lOMoARcPSD| 60380256
CHƯƠNG 1. TỔNG QUAN
1.1. Tổng quan về trà dâu
Trà dâu là một loại trà dược liệu hữu cơ được ủ bằng lá dâu tây, hoặc có thể được pha
từ trà hoặc trà xanh đen ghép với quả dâu tây. Nhờ mùi vị dễ chịu với nhiều lợi ích cho
sức khỏe, loại trà này đang trở nên phổ biến và có mặt ở phần lớn các quán nước của
nước Việt Nam như một loại nước uống giải khát và là loại đồ uống có lợi cho các khu
vực có khí hậu nóng. [1]
1.2. Nguyên liệu của trà dâu
Trà dâu thường được làm từ các thành phần chính sau: -
Trà: Loại trà có thể là trà đen, trà xanh, trà oolong, hoặc các loại trà khác tùy
thuộcvào sở thích và mong muốn của người làm. -
Dâu: Dâu tươi hoặc dâu đông lạnh thường được sử dụng để tạo hương vị chua
ngọtvà màu sắc tươi tắn cho trà. -
Đường: Đường thường được thêm vào để điều chỉnh độ ngọt của đồ uống. Người
tacũng có thể sử dụng các loại đường thay thế như đường mía, đường trái cây, hoặc các
chất làm ngọt nhân tạo. -
Nước: Nước là thành phần quan trọng để pha trà và tạo nên độ giải nhiệt và hòa
tancác thành phần khác nhau. -
Đá: Nếu bạn muốn uống trà dâu lạnh, thì đá cũng là một nguyên liệu quan trọng
đểlàm cho đồ uống mát lạnh.
Các thành phần thêm vào (tùy chọn): Có thể có thêm các thành phần như mật ong, hạt
basil, hoặc các loại thảo mộc khác để làm tăng thêm hương vị và sự đa dạng cho trà dâu. [2]
1.3. Thành phần dưỡng chất có trong trà dâu
Trà dâu được làm quả dâu và một loại trà xanh nên nó có hầu hết số các dưỡng chất
trong hai thành phần này. Ví dụ như: protein, chất xơ, chất béo,... và các loại vitamin
như vitamin A, vitamin C, vitamin E, vitamin K,... và các khoáng chất như canxi, sắt, magiê,... [3]
1.3.1. Vai trò của vitamin C
* Đối với con người: lOMoARcPSD| 60380256
Vitamin C tham gia nhiều quá trình chuyển hoá quan trọng như:
Tham gia quá trình hình thành chất tạo keo (collagen) là chất cần thiết để gắn kết
các tế bào và làm liền vết thương, làm vững bền thành mạch.
Tham gia quá trình chuyển hoá năng lượng.
Kích thích hoạt động các tuyến thượng thận, tuyến yên, hoàng thể, cơ quan tạo máu.
Tham gia quá trình tạo kháng thể và làm tăng sức đề kháng của cơ thể với bệnh nhiễm trùng.
Kích thích tổng hợp nên interferon - chất ngăn chặn sự xâm nhập của vi khuẩn và virut trong tế bào.
Chống oxy hoá, làm ngăn cản sự hình thành các gốc tự do, làm chậm lại quá trình
lão hoá và dự phòng các bệnh tim mạch.
Khả năng kết hợp kết hợp với vitamin E tạo thành nhân tố quan trọng làm chậm
quá trình phát bệnh của một số bệnh ung thư.
Chống lại chứng thiếu máu do vitamin C kích thích sự hấp thụ sắt bởi ruột non
mà sắt chính là nhân tố làm tăng nhanh sự tạo hồng cầu, cho phép làm giảm nguy cơ thiếu máu.
* Đối với thực phẩm:
Vitamin C được sử dụng chủ yếu như một chất chống oxy hóa, có thể mang lại nhiều
lợi ích cho các sản phẩm thực phẩm. Làm chậm quá trình oxy hóa giúp bảo quản màu
sắc và độ tươi. Độ pH thấp của acid ascorbic có thể giúp ngăn chặn sự phát triển của vi
sinh vật, do đó ngăn ngừa hư hỏng và bảo quản độ tươi ngon. Vì những lý do này, acid
ascorbic là một chất bảo quản tự nhiên phổ biến. Nó có thể được sử dụng như một chất
bảo quản trong một loạt các sản phẩm thực phẩm, bao gồm bánh mì, thịt đông lạnh, thịt
hộp, mứt và thạch, cũng như các loại nước sốt,...
Các đặc tính hoá lý và cảm quan của acid ascorbic làm cho nó trở thành một thành phần
tuyệt vời để bổ sung vào thực phẩm như tăng độ chua, tăng hương vị của sản phẩm. Đặc
biệt, vitamin C tự nhiên dễ bị phân huỷ và ảnh hưởng bởi các điều kiện môi trường và
các tác động bên ngoài, nhiều loại thực phẩm được bổ sung vitamin C dưới các dạng
khác nhau để bù vào phần vitamin C tự nhiên bị giảm trong quá trình sản xuất. Do đó, lOMoARcPSD| 60380256
acid ascorbic thường được thêm vào nước trái cây, trái cây sấy khô, ngũ cốc và các loại
thực phẩm ăn nhẹ khác cho mục đích này. [4] 1.3.2. Carbonhydrate
Carbohydrates là một trong ba loại chất dinh dưỡng cơ bản, bên cạnh protein và chất
béo. Carbohydrates cung cấp năng lượng cho cơ thể và là một phần quan trọng của chế
độ ăn uống. Dưới đây là một số thông tin về carbohydrates trong thực phẩm: Loại Carbohydrates: •
Đơn Đường (Simple Sugars): Bao gồm glucose (đường), fructose (đường trái
cây),và galactose. Đơn đường thường được tìm thấy trong trái cây, mật ong và đường. •
Đường Mút (Disaccharides): Bao gồm sucrose (đường mía), lactose (đường
trongsữa), và maltose (đường từ tinh bột). •
Đường Polysaccharides: Bao gồm tinh bột (đường từ cây cỏ), glycogen (đường
từchất béo), và chất xơ. Tinh bột chủ yếu tìm thấy trong ngũ cốc, khoai tây, và các loại ngũ cốc.
Carbohydrate, là những phân tử có chứa các nguyên tử cacbon, hydro và oxy theo tỷ lệ
cụ thể. Carbohydrate bao gồm carbohydrate đơn giản và carbohydrate phức tạp.
Carbohydrate đơn giản: fructose trong hoa quả, galactose trong sữa, sucrose trong
đường cát, lactose trong chế phẩm sữa, maltose trong bia và một số loại rau,...
Carbohydrate phức tạp: là thành phần chính của các thức ăn tinh bột. Carbohydrate phức
tạp có trong đậu, lạc, khoai tây, ngô, củ cải vàng, ngũ cốc, ngũ cốc nguyên hạt,...
Chất xơ cũng thuộc loại carbohydrate phức tạp.
* Carbohydrate có tác dụng gì đối với cơ thể
Carbohydrate là nguồn cung cấp năng lượng chính của cơ thể. Nhờ hoạt động của
enzyme, hầu hết carbohydrate khi đưa vào cơ thể được tiêu hóa và thủy phân thành
glucose. Thông qua một loạt các quá trình phức tạp, glucose được đưa vào các tế bào
của cơ thể để sản xuất một phân tử nhiên liệu có tên là adenosine triphosphate (ATP).
Tế bào sử dụng ATP để cung cấp năng lượng cho nhiệm vụ trao đổi chất.
Cơ thể con người không có những enzym cần thiết để tiêu hóa chất xơ, do đó chất xơ
không thể chuyển hóa được thành năng lượng. Tuy nhiên chất xơ lại rất cần thiết và có
ích cho hệ tiêu hóa. Nói tóm lại, carbohydrate có bốn chức năng chính là cung cấp năng lOMoARcPSD| 60380256
lượng cho cơ thể, cung cấp năng lượng dự trữ, bảo tồn cơ bắp và thúc đẩy sức khỏe tiêu hóa [5].
1.3.3. Một số chất khác
- Caffeine (Cafein): Là một alkaloid tự nhiên có trong lá trà, cafein thường được biếtđến
với khả năng kích thích, giúp tăng cường tinh thần và tăng sự tỉnh táo.
- Catechins: Là một nhóm các hợp chất chống ô nhiễm và chống oxy hóa có trong látrà.
Catechins đã được nghiên cứu và cho thấy nó có nhiều lợi ích sức khỏe, bao gồm khả
năng chống ung thư và giảm nguy cơ bệnh tim.
- Flavonoids: Là một nhóm hợp chất chống ô nhiễm có trong cả lá trà và quả dâu.Chúng
có thể giúp cải thiện sức khỏe tim mạch và hỗ trợ hệ miễn dịch.
- Polyphenols: Là một nhóm hợp chất chống ô nhiễm và chống oxy hóa có trong cả látrà và quả dâu.
- Các Acid: Axit Tanic (Tannins): Một số loại trà, đặc biệt là trà đen, có thể chứa
axittanic, góp phần tạo nên hương vị đặc trưng của trà và có tính chất chống vi khuẩn. lOMoARcPSD| 60380256
CHƯƠNG 2. CÁC PHƯƠNG PHÁP PHÂN TÍCH 2.1. Carbonhydrate
2.1.1 Phương pháp định lượng đường tổng số hòa tan Nguyên lý
Lượng đường có thể được xác định bằng phương pháp thể tích bằng cách sử dụng dung
dịch kiềm đồng sulphat, chất này được các loại đường khử thành oxid đồng màu đỏ.
Quy trình bao gồm việc xác định thể tích của dung dịch đường cần để khử một khối
lượng dung dịch Fehling đã biết trước thể tích bằng sử dụng xanh methylen làm chỉ thị.
Không khí được loại trừ khỏi hỗn hợp phản ứng bằng cách đun chất lỏng sôi trong suốt quá trình chuẩn độ.
Những loại đường không khử như là saccarose cần phải được thủy phân thành đường
khử trước khi chuẩn độ.
Thiết bị,dụng cụ
- Máy khuấy từ gia nhiệt, nồi cách thuỷ, tủ hút
- Buret, pipet bầu 10ml, 50ml, bông thuỷ tinh, bình định mức, ống đong, bình cầu,phễu thuỷ tinh. Hoá chất - Dung dịch NaOH 50% - Axit HCl tinh khiết
- Dung dịch kali ferocyanid 15%: Cân 15 gam kali ferocyanid thêm nước cất vừa đủ 100ml
- Dung dịch kẽm acetat 30%: Cân 30 gam kẽm acetat thêm nước cất vừa đủ 100mlThuốc
thử Fehling gồm: + Thuốc thử Fehling A: CuSO4 tinh thể: 40 gam
Nước cất vừa đủ: 1000 ml
Lắc kỹ cho tan hết, nếu không tan thì cho thêm 1 ml H2SO4 và lắc kỹ.
+ Thuốc thử Fehling B: Kali Natri tartrat: 200 gam NaOH: 150 gam
Nước cất vừa đủ: 1000 ml
Lắc kỹ cho tan hết, nếu không tan thì cho thêm 1 ml H2SO4 và lắc kỹ. lOMoARcPSD| 60380256
+ Thuốc thử Fehling B: Kali Natri tartrat: 200 gam NaOH: 150 gam
Nước cất vừa đủ: 1000 ml
Hoà tan 200 g Kali Natri tartrat trong 400 – 500 ml nước cất. Mặt khác hoà tan 150 g
NaOH trong 200 – 300 ml nước cất. Trộn hai dung dịch với nhau và thêm nước cất vừa
đủ 1000 ml. Khi dùng lấy 25 ml dung dịch Fehling A pha với 25 ml dung dịch Fehling B. Cách tiến hành Xử lý mẫu
Cân khoảng 1 – 5 g tuỳ loại thực phẩm vào bình nón 250 ml. Thêm 45 ml nước cất và
5 ml acid HCl rồi đun cách thuỷ trong 3h. Sau đó làm nguội dưới vòi nước lạnh. Cho
khoảng 3- 5 giọt phenolphtalein và trung hoà bằng NaOH 50% đến màu hồng. Chuyển
toàn bộ dịch này vào bình định mức 100 ml. Thêm 15 ml Kali ferocyanid 15% và 15 ml
kẽm acetat 30% lắc đều thêm nước cất vừa đủ 100ml, lắc đều rồi lọc trên giấy lọc.
Xác định hàm lượng đường -
Pha dung dịch chuẩn đường Glucose 1%: Cân chính xác 1,0000 g pha v ừa đủ với100 ml nước cất. -
Chuẩn lại Fehling: Cho dung dịch đường chuẩn lên Buret.Hút 10 ml Fehling
vàobình nón 100 ml thêm 4 giọt xanh methylen 1%. Đun sôi dung dịch 3 phút rồi nhỏ
từ từ đường trên buret vào hỗn hợp đang sôi đến khi màu xanh biến mất. Ghi số ml đường -
Thực hiện làm mẫu tương tự như chuẩn thay dung dịch chuẩn đường bằng dung dịchmẫu công thức
Nồng độ đường trong dung dịch có thể xác định được bằng cách sử dụng các giá trị sau: 1 ml dung dịch Fehling = 4,95 mg glucose = 5,25 mg fructose
= 5,09 mg đường nghịch chuyển (invert sugar) = 7,68 mg maltose = 6,46 mg lactose lOMoARcPSD| 60380256 = 4,75 mg sucrose 49,5x
250 %Đườngtổng(tínhraglucose)= TxWx 10 Trong đó:
T: thể tích của dung dịch đường không thuỷ phân đã dung (ml)
W: trọng lượng mẫu thực phẩm được sử dụng (g)
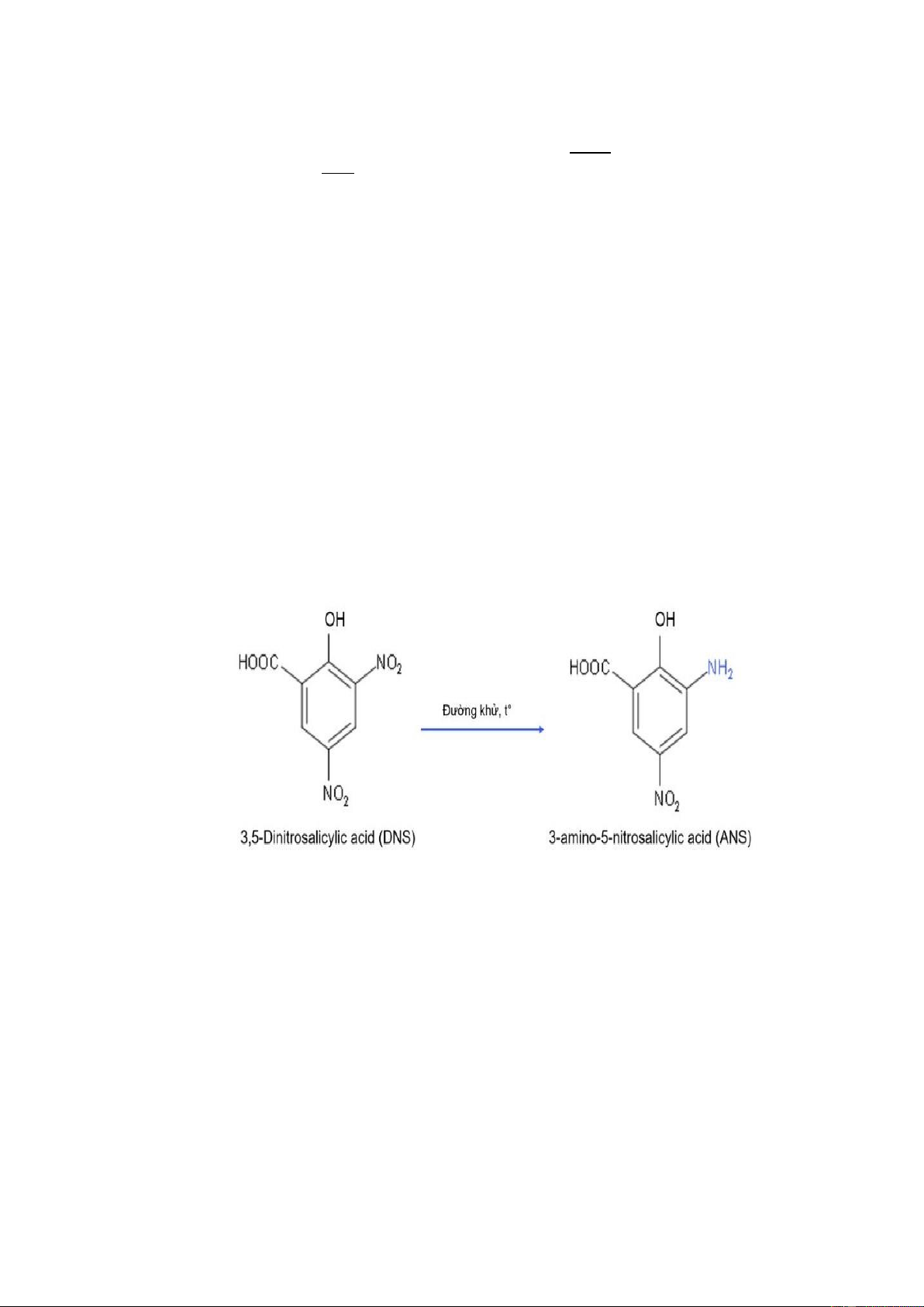
2.1.2 Nguyên tắc phương pháp xác định hàm lượng đường khử DNS
Axit 3,5-Dinitrosalicylic (DNS hay DNSA) được sử dụng rộng rãi trong quá trình xác
định hàm lượng đường khử. Nguyên tắc phương pháp DNS dựa trên sự phát hiện nhóm
carbonyl (C=O) tự do của đường khử. Cụ thể, khi phản ứng với thuốc thử, quá trình oxy
hóa nhóm chức aldehyde (trong glucose) và nhóm chức xeton (trong fructose) sẽ diễn
ra. Axit 3,5-Dinitrosalicylic bị khử thành axit 3-amino 5-nitrosalicylic (ANS), có màu
đỏ cam trong môi trường kiềm và độ hấp thụ cực đại ở bước sóng 540 nm.
Hình 1: Công thức hóa học , phân tử của DNS và ANS
Cách pha thuốc thử DNS
Bước 1. Hòa tan 300g muối Kali natri tartrate trong 500 mL nước cất (còn gọi là dung
dịch muối Rochelle). Cho muối vào nước từ từ đến hết.
Bước 2. Chuẩn bị 200 mL dung dịch natri hydroxit 2N. Dùng đũa thủy tinh khuấy đến hòa tan hoàn toàn.
Bước 3. Hòa tan 10g DNS trong 200 mL natri hydroxit đã chuẩn bị ở bước 2 (sử dụng
máy khuấy từ có gia nhiệt nhẹ). lOMoARcPSD| 60380256
Bước 4. Trộn dung dịch ở bước 1 và bước 3.
Bước 5. Định mức đến thể tích 1 L.
Bước 6. Bảo quản thuốc thử trong chai thủy tinh sẫm màu. Chuẩn 3 mL thuốc thử DNS
bằng HCl 0,1 N với chỉ thị phenolphtalein. Nếu hết 5-6 mL là đạt. Nếu cần, bổ sung thêm NaOH.
Thiết lập đường chuẩn
Dung dịch chuẩn (fructose/ glucose/ maltose) 100 μg/mL: 100ml Chuẩn
bị các mẫu phản ứng theo bảng:
Hình 2: Đường chuẩn glucose
Các lưu ý quan trọng khi tiến hành
- Công thức pha thuốc thử DNS; nồng độ đường khử lập đường chuẩn; thể tích mẫu
vàthuốc thử đem phân tích có thể thay đổi tùy thuộc vào các tài liệu khoa học được công bố.
- Màu chỉ phát triển trong điều kiện kiềm: các mẫu có tính axit nên được trung hòa.
- Phương pháp này không nhạy với mẫu có hàm lượng đường khử dưới 100 μgglucose.
Natri sulfat 0,5% w/v (1 mL) có thể được thêm vào hỗn hợp sau phản ứng để thu được màu ổn định.
Định lượng đường khử bằng phương pháp DNS
Cho kết quả nhanh chóng, thực hiện dễ dàng. Tuy nhiên, các đường khử khác nhau cho
màu sắc khác nhau với thuốc thử DNS. Do đó, phương pháp này không được khuyến
khích dùng cho xác định hỗn hợp đường khử. lOMoARcPSD| 60380256
2.1.3 Nguyên tắc phương pháp Phenol-Sulfuric acid ( phương pháp chọn )
Trong môi trường axit mạnh và nóng, thành phần oligosaccharide và polysaccharide bị
thủy phân, giải phóng monosaccharide (glucose). Tiếp đó, chúng bị khử nước và tạo các
dẫn xuất furan. Kết quả thu được sản phẩm có màu vàng cam với phenol và độ hấp thụ
cực đại ở bước sóng 490nm.
Ưu điểm của phương pháp Phenol-Sulfuric acid xác định carbohydrate tổng số
Đơn giản, nhanh chóng, độ nhạy cao, chính xác và được áp dụng rộng rãi.
Áp dụng xác định đường tổng cho hầu hết các loại đường, bao gồm dẫn xuất đường, oligo- và polysaccharide.
Hóa chất rẻ, dễ kiếm và ổn định.
Tạo màu sắc ổn định.
Trong điều kiện thích hợp, phương pháp phenol – sulfuric axit chính xác đến ± 2%.
Chi tiết quy trình tiến hành xác định carbohydrate tổng
Hóa chất cần chuẩn bị Glucose chuẩn Phenol 5% Axit H2SO4 đặc, nóng
Lập đường chuẩn glucose xác định hàm lượng carbohydrate tổng
Chuẩn bị dung dịch Glucose chuẩn 100µg/ml
Chuẩn bị các mẫu phản ứng
B1: Chuẩn bị dung dịch Glucose chuẩn 100µg/ml (dung dich G) B2:
Chuẩn bị các mẫu phản ứng:
B3: Mẫu trắng (Blank): Thay 1 ml hỗn hợp dung dịch G và nước cất bằng 1 ml nước cất
B4: Đợi phản ứng trong vòng 20 phút
B5: Đo độ hấp thụ quang (ABS: Absorbance) hay mật độ quang OD (Optical Density) ở bước sóng 490 nm.
Tiến hành Ly tâm trước khi pha loãng mẫu
- Pha loãng mẫu: mẫu được nhóm pha loãng 2000 lần
• Hút 1ml trà dâu + 9ml nước cất (pha loãng 10 lần)
• Hút 1ml dung dịch pha loãng 10 lần + 9ml nước cất (pha loãng 100 lần)
• Hút 1ml dung dịch pha loãng 100 lần + 9ml nước cất ( pha loãng 1000 lần) lOMoARcPSD| 60380256
• Hút 5 ml dung dịch mẫu 1000 + 5ml nước cất ( pha loãng 2000 lần) Chuẩn bị mẫu
Lấy mẫu đã pha loãng 2000 lần và thêm vào 0.05ml dung dịch phenol 80% và 5ml dung
dịch H2SO4 đặc và chờ 10 phút
Thiết lập đường chuẩn biểu diễn sự phụ thuộc của hàm lượng Glucose và độ hấp thụ quang NỒNG ĐỘ mL dung 0 20 40 60 80 100 dịch glucose stock (100μg/mL) mL nước 10 8 6 4 2 0 cất
Bảng 1: Bảng Pha loãng nồng độ đường chuẩn glucose
Lý do chọn phương pháp: Đã được học ở trường, hiểu rõ có kiến thức vững về phương
pháp, thiết bị đáp ứng có đủ trong phòng lab. Độ chính xác cao, dễ thực hiện. lOMoARcPSD| 60380256
Sơ đồ quy trình thí nghiệm
2.2Các phương pháp xác định vitamin C lOMoARcPSD| 60380256
2.2.1 Xác định vitamin C bằng phương pháp sắc ký lỏng hiệu năng cao Nguyên tắc
Vitamin C có trong thực phẩm được trích bằng hệ lỏng-lỏng với dung môi hữu cơ.
Sau đó được đưa vào máy sắc kí lỏng cao áp để định lượng vitamin C có trong mẫu.
Quy trình thí nghiệm
Bước 1: Chiết mẫu
Cân một lượng mẫu thích hợp, cho vào bình định mức. Thêm dung dịch axit
metaphosphoric và lắc bình. Thêm axit metaphosphoric đến vạch, lắc và lọc để thu được
dung dịch chiết mẫu.Tiến hành phân tích trên HPLC.
Đối với rau và trái cây nguyên liệu, dùng dao để thái nhỏ, trộn và cân một lượng mẫu
thích hợp, cho trực tiếp vào trong cốc có có chứa axit metaphosphoric. Đồng hóa rồi
chuyển định lượng vào bình định mức. Lắc và lọc để thu được dịch chiết mẫu. Bước 2: Khử
Cho 20 ml dung dịch mẫu chiết vào cốc có mỏ 50 ml. Thêm 10 ml dung dịch Lcystein.
Khuấy dung dịch bằng que khuấy từ và chỉnh pH đến khoảng 7,0 và 7,2 bằng cách thêm
dung dịch trinatri phosphat và khuấy đúng 5 phút. Sau đó giảm pH đến khoảng từ 2,5
đến 2,8 bằng cách thêm dung dịch axit metaphosphoric. Chuyển định lượng sang bình định mức 50 ml.
Bước 3: Nhận biết
Hình 3: Thiết lập cài đặt máy HPLC
Bước 4: Xác định lOMoARcPSD| 60380256
Tiến hành xác định hiệu chuẩn dùng phương pháp ngoại chuẩn, tích phân các diện tích
pic hoặc chiều cao pic, so sánh kết quả với các giá trị tương ứng của chất chuẩn hoặc
sử dụng đường chuẩn. Kiểm tra độ tuyến tính của đường chuẩn.
Tính toán kết quả
Tính phần khối lượng của axit ascorbic, w, bằng miligam trên 100 g (mg/100g) mẫu, theo Công thức sau đây: Trong đó:
As là diện tích pic hoặc chiều cao pic của axit L-ascorbic thu được với dung dịch mẫu,
tính bằng đơn vị chiều cao hoặc diện tích.
Ast là diện tích pic hoặc chiều cao pic của axit L-ascorbic thu được với dung dịch hiệu
chuẩn, tính bằng đơn vị chiều cao hoặc diện tích.
là nồng độ của axit L-ascorbic trong dung dịch chuẩn, tính bằng microgam trên mililit (µg/ml);
m là khối lượng mẫu, tính bằng gam (g);
V là tổng thể tích dung dịch mẫu thử trước bước khử, tính bằng mililit (ml);
F là hệ số pha loãng của bước khử
1000 là hệ số chuyển đổi miligam thành gam.
100 là hệ số để tính hàm lượng trên 100 g;
Báo cáo kết quả vitamin C bằng miligam trên 100g (mg/100g).
2.2.2 Xác định vitamin C bằng phương pháp đo quang phổ uv –vis. a) Nguyên tắc
Để xác định hàm lượng vitamin c, phương pháp được áp dụng phổ biến là phương pháp
2, 4 – dinitrophenyl hydrazin ( DNPH ). Đây là phương pháp đơn giản hóa để xác định
đồng thời tổng lượng vitamin c sử dụng phản ứng ghép cắp thuốc nhuộm 2, 4 –
dinitrophenylhydrazine với vitamin c và xác định bằng máy phổ quang. b) Chuẩn bị
dung dịch 5% axit metaphosphoric- 10% axit axetic
Cho 15g axit metaphosphoric rắn vào bình định mức 500ml sau đó bỏ thêm 40 ml axit
acetic và định mức lên 500ml. Tiến hành lọc giấy và được dung dịch. lOMoARcPSD| 60380256
Chuẩn bị dung dịch vitamin c ( axit ascorbic ) chuẩn:
Cho 0.05 g axit ascorbic tinh thể chuẩn được hòa tan trong 100ml nước cất để chuẩn bị dung dịch gốc 500 ppm. Chuẩn bị mẫu
Cho 10 g mẫu được đồng nhất hóa khoảng 50 ml dung dịch axit metaphosphoric 5%axit axetic 10%.
Sau đó, định lượng vào bình định mức 100 ml và lắc nhẹ cho đến khi thu được hệ phân tán đồng nhất.
Được pha loãng đến vạch bằng dung dịch axit metaphotphoric- 10% axit axetic.
Sao đó lọc dung dịch và thu lấy dịch lọc trong để xác định viamin c trong mẫu.
Các bước tiến hành Bước 1
Mẫu được bỏ vào bình tam giác 250ml thêm vài giọt dung dịch brom và dung dịch H2SO4 85% Bước 2
Loại bỏ lượng dư thừa và thêm dung dịch Thioreura và dung dịch
2,4dinitrophenyl hydrazin vào. Bước 3
Tiến hành đo phổ quang ở bước sóng 521nm và ghi nhận kết quả.
c) Tính toán kết quả C = A/εb.
C là nồng độ vitamin C trong mẫu, tính bằng mg/L.
A là độ hấp thụ của mẫu, tính bằng đơn vị AU.
ε là hệ số hấp thụ của vitamin C, tính bằng L/mol cm.
b là chiều dài đường đi của bức xạ điện từ trong mẫu, tính bằng cm
2.2.3 Xác định vitamin C bằng phương pháp oxy hóa- khử chuẩn độ iot (phương
pháp chọn) Nguyên tắc
Iốt tương đối không tan trong nước, nhưng điều này có thể cải thiện bằng cách pha trộn
iốt với iođua và hình thành triiođua. Triiođua oxy hóa vitamin C tạo acid
dehydroascorbic. Chừng nào mà vitamin C còn hiện diện trong dung dịch, thì triiođua
được chuyển thành ion iođua rất nhanh chóng. khi tất cả vitamin C đã bị oxy hóa, thì