Report tài liệu
Chia sẻ tài liệu
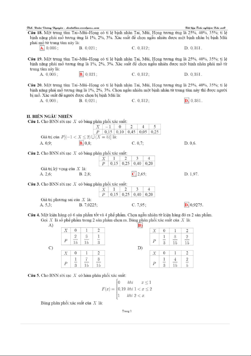
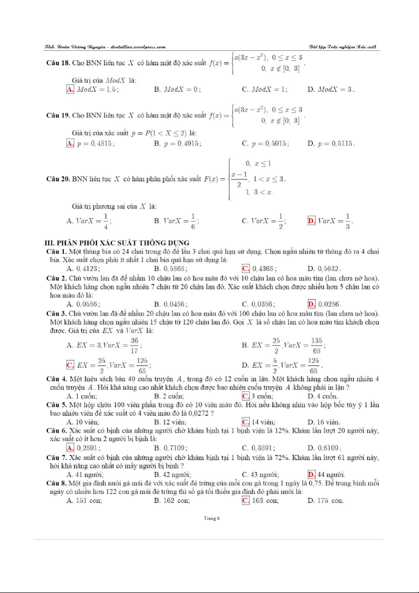
Bộ đề trắc nghiệm ôn tập kiến thức môn Xác suất Thống kê | Đại học Bách Khoa Hà Nội
Bộ đề trắc nghiệm ôn tập kiến thức môn Xác suất Thống kê | Đại học Bách Khoa Hà Nội. Tài liệu được biên soạn giúp các bạn tham khảo, củng cố kiến thức, ôn tập và đạt kết quả cao kết thúc học phần. Mời các bạn đọc đón xem!
Trường: Đại học Bách Khoa Hà Nội 3.5 K tài liệu
Tác giả:
Tài liệu liên quan:
-
Nội dung ôn tập Triết học Mác | Đại học Sư phạm kỹ thuật - Đại học Đà Nẵng
183 92 -
Nội dung ôn tập cuối kỳ Triết học Mác Lênin | Đại học Sư phạm kỹ thuật - Đại học Đà Nẵng
122 61 -
Đề cương Triết học Mác Lênin | Đại học Sư phạm kỹ thuật - Đại học Đà Nẵng
155 78 -
Đồ Án Nền Móng Công Trình | Đại học Sư phạm kỹ thuật - Đại học Đà Nẵng
120 60 -
Nguồn gốc, Chức năng và Mối quan hệ giữa Vật chất và Ý thức | Tài liệu Triết học Mác Lênin
229 115






