










Preview text:
BÀI TẬP ÔN TẬP
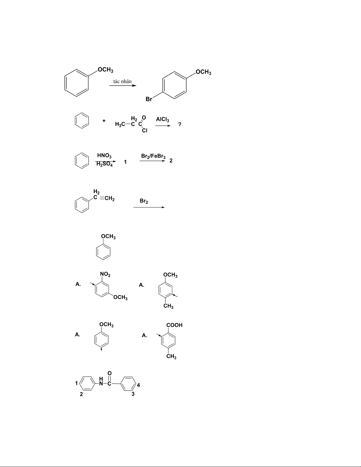
1. Hãy chọn tác nhân phù hợp để thực hiện phản ứng sau
2. Hãy cho biêt sản phẩm chính của phản ứng sau
3. Hãy viết công thức sản phẩm chính 2 tạo thành trong phản ứng sau
4. Cho biết sản phẩm chính của phản ứng sau
5. Trong phân tử sau,nhóm OCH3 gây hiệu ứng nào đối với vòng thơm
6. Khi thực hiện phản ứng SE vào vòng thơm, vị trí nào sẽ xảy ra phản ứng
7. Thực hiện phản ứng với Br2 xúc ác FeBr3, phản ứng định hướng ào vị trí nào sau đây
8. Cho biết cơ cấu sản phẩm của phản ứng
9. Chlor hóa toluen có anh sáng thu được sản phẩm nào dưới đây
10. Cho biết sản phẩmnào thu được khi thực hiện phản ứng sau
11. Sản phẩm nào đuợc tạo thành khi thực hiện phản ưng
12. Hãy cho biết sản phẩm của phản ứng sau
13. Cho biết sản phẩm cảu phản ứng
14. Cho biết công thức của 2-bromo-1-methyl-4-nitrobenzen
15. Cho biết sản phẩm của phản ứng sau
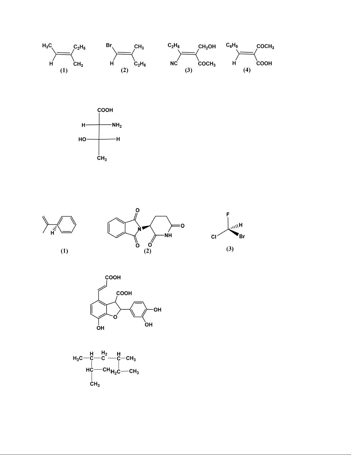
16. Công thức nào sau đây có cấu hình S
17. Xác định cấu hình R, S của các hợp chất sau
18. Cất nào dưới đây có đồng phân E
19. Cất nào dưới đây có đồng phân Z
20. Hợp chất sau có cấu trúc
21. Chất nào sau đây có cấu trúc S
22. Hợp chất sau có bao nhiêu carbon bất đối xứng
23. Gọi tên hợp chất sau theo danh pháp IUPAC
24. Cấu trạng bền nhất của cyclohexane là A. Nửa ghế C. Thuyền B. Thuyền xoắn D. Ghế
25. Sản phẩm nào được tạo thành khi thực hiện phản ứng sau
26. Phản ứng nào sau đây có thể tạo thành sản phẩm C2H5Cl A. C2H4 + Cl2 C. C2H5OH + HCl B. C2H6 + HCl D. C2H2 + HCl
27. Điều chế glycol bằng phản ứng oxy hóa olefin: điều kiện phản ứng xảy ra là A. CrO3/H+ C. DD KMnO4 loãng B. Ag2O D. O3/H+
28. Sắp xếp thứ tự tính acid giảm dần của dãy
29. Phản ứng sau xảy ra theo cơ chế nào
30. Cho biết sản phẩm chính của phan ứng sau
31. Sản phẩm nào là sản phẩm chinhs trong phản ứng sau
32. Cho biết sản phẩm chính của phản ứng sau
33. Chất nào sau đây có tính acid cao nhất
34. Xác định loại của phản ứng sau
35. Cho biết sản phẩm chính của phản ứng
36. So sánh tính acid của các chất phenol, acid acetic, ethanol
37. Hợp chất 3-methyl but-1-ene nhận được từ phản ứng tách loại HBr của hợp chất nào
38. Sản phẩm nào là sản phẩm chinh trong phản ứng dưới đây
39. Hãy cho biết sản phẩm chinh của phản ứng sau
40. Cho phản ứng: CH3CHO + C2H5MgBr →
Sản phẩm của phản ứng đem thủy phân thu được (tên gọi)
41. Sản phẩm thu được khi cho CH2 = CH2 tác dụng với khí H2 dư có xúc tác Ni, đun nóng là
42. Khi cho C3H8 (propane) tác dụng với khí Cl2 có chiếu sáng (tỉ lệ phản ứng 1 : 2), thu được sản phẩm là
43. Hai chất CH3COOH và HCOOCH3 giống nhau về A. Công thức cấu tạo C. Loại nhôm chức B. Mạch carbon D. Công thức phân tử
44. Cho các chất: HCHO, C2H6, CH3COOH, C2H4, C2H2, C6H6
Có bao nhiêu hợp chất có 1 liên kết π trong công thức
45. Cấu trúc nào sau đây có đồng phân hình học
A. CH3 – CH = CH – CH = CH2
B. CH3 – CH = CH – CH = CH – CH3 C. CH3 – CH = C = CH – CH3 D. A và B
46. Sắp xếp các chất theo trinh tự tinh base giảm dần của các chất sau trong nước
Amoniac (1); Methylamine (2); Dimethyamine (3); chloromethylamine (4)
47. Công thức nào sau đây là của trans – 1,2 – dimethyl cychlorpentane
48. Sản phẩm của phản ứng dưới đây là
49. Sản phẩm của phản ứng dưới đây là
50. Sản phẩm của phản ứng dưới đây là C2H5 MgCl sản phẩm
51. Sản phẩm của phản ưng dưới đây là
52. Cho biết cơ cấu của sản phẩm của phản ứng sau: aceton + C2H5MgBr/ether khan, H3O+ A. C. B. D.
53. Cho biết sản phẩm của phản ứng: propanon + NaHSO3 A. C. B. D.
54. Cho biết sản hẩm của phản ứng aldol chéo
55. Hoàn thành cac chuỗi phản ứng sau: 1. 2.
56. Chất nào sau đây là pyridine:
57. Hợp chất nào sau đây là alkaloid
58. Chất nào sau đây có cấu trúc steroid:
59. Hợp chất nào sau đây có cấu trúc vòng lactone:
60. Săn phẩm của các phản ứng sau là:
Document Outline
- 49.Sản phẩm của phản ứng dưới đây là