





Preview text:
lOMoAR cPSD| 58950985
Bài tập 1.1. Một lô hàng gồm 1000 sản phẩm, trong ó có 10 phế phẩm. Lấy ngẫu
nhiên ra 20 sản phẩm. Tìm xác suất ể cho trong 20 sản phẩm lấy ra: a) Có 5 phế phẩm; b) Bị cả 10 phế phẩm;
c) Có úng 5 chính phẩm. Giải n (Ω)=C201000
a.Gọi A là biến cố: “Có 5 phế phẩm và 15 chính phẩm” n(A)= C510. C15990 P(A)= C510. C15990 / C201000
b. Gọi B là biến cố:” Bị cả 10 phế phẩm và có 10 chính phẩm” n(B)=C1010.C10990 P(B)= C1010.C10990/ C201000
c. Gọi C là biến cố: “Có úng 5 chính phẩm và 15 phế phẩm”
Nếu lấy úng 5 chính phẩm thì phế phẩm là 15 mà trong 1000 sản phẩm chỉ có 10
phế phẩm nên biến cố C không thể xảy ra =>P(C) =0
Bài tập 1.2. Lớp học môn xác suất gồm 70 học sinh trong ó có 25 nữ. Chọn ngẫu
nhiên ra một nhóm gồm 10 học sinh. Tìm xác suất ể trong nhóm chọn ra có 4 học
sinh nữ. Giải n (Ω)= C1070
Gọi A là biến cố trong nhóm chọn ra có 4 học sinh nữ và 6 học sinh nam. n (A)= C410.C645 P(A)= C410.C645/ C1070
Bài tập 1.3. Đoàn tàu iện gồm 3 toa tiến vào một sân ga, ở ó ang có 12 hành khách
chờ lên tàu.Giả sử các hành khách lên tàu một cách ngẫu nhiên và ộc lập với nhau
và mỗi toa còn ít nhất 12 chỗ trống. Tìm khả năng xảy ra các tình huống sau:
a) Toa I có 4 người, toa II có 5 người, còn lại là toa III; b) Mỗi toa có 4 người;
c) Hai hành khách A và B cùng lên một toa. Giải lOMoAR cPSD| 58950985
Mỗi hành khách có 3 lựa chọn ---> số phần tử không gian mẫu là 312 a)
Gọi A là biến cố: Toa I có 4 người, toa II có 5 người, còn lại là toa III; n(A)=C412.C58
P(A)= C412.C58 /312=3080/59049 b)
Gọi B là bc mỗi toa có 4 người ---> n(B)=C412.C48=34650 > P(B)=n(B)/312=3850/59049 c)
Xét 2 hành khách và 3 toa tàu.Số phần tử k/g mẫu là 9
Gọi C là bc tương ứng ---> n(C)=3 P(C)=3/9=1/3
Bài tập 1.4. Thang máy của một khách sạn 10 tầng xuất phát từ tầng 1 với 5 khách.
Coi như mọi người chọn tầng một cách ngẫu nhiên và ộc lập. Tìm khả năng xảy ra các tình huống sau:
a) Tất cả cùng ra ở tầng 5;
b)Tất cả cùng ra ở một tầng;
c) Mỗi người ra ở một tầng khác nhau;
d) Hai người cùng ra một tầng, 3 người ra 3 tầng khác nhau, tức là 5 người ra 4 tầng khác nhau lOMoAR cPSD| 58950985
Bài tập 1.5. Một em bé có 5 bìa với các chữ N, N, A, H, H. Tìm xác suất ể em bé
trong khi sắp ngẫu nhiên thu ược chữ NHANH?
Xếp ngẫu nhiên 5 chữ cái : 5! = 120 cách
Nhưng vì trong ó có 2 cặp chữ cái giống nhau nên số cách thực sự là 22
=> Xác suất ể em ó trong khi xếp ngẫu nhiên thu ược chữ NHANH là 4/5! Bài tập
1.6. Gieo ồng thời 2 con xúc xắc cân ối và ồng chất. Tìm xác suất ể:
a) Tổng số chấm ở mặt trên hai con xúc xắc bằng 8;
b) Hiệu số nốt ở mặt trên hai con xúc xắc có giá trị tuyệt ối bằng 2;
c) Số nốt ở mặt trên 2 con xúc xắc bằng nhau. n(Ω)=62=36
a) A={(2;6);(3;5);(4;4);(5;3);(6;2)}⇒n(A)= ⇒P(A)=5/36.
b)B={(6;4);(4;6);(5;3);(3;5);(4;2);(2;4);(3;1);(1;3)}⇒n(B)=8 ⇒P(B)=8/36=2/9
c) C={(1;1);(2;2);(3;3);(4;4);(5;5);(6;6)}⇒n(C)=6 ⇒P(C)=6/36=1/6 lOMoAR cPSD| 58950985
Bài tập 1.7. Một tổ gồm 10 người ngồi theo một hàng ngang. Mọi người ngồi vào
chỗ một cách ngẫu nhiên. Tìm khả năng ể cho A và B ngồi cạnh nhau? Giải bài
toán trên với 10 người ngồi trên một bàn tròn?
Xếp A và B cạnh nhau: 2 cách
Coi cặp AB như 1 bạn, kết hợp 8 bạn còn lại, có 9! cách hoán vị Xác suất: P=9!.2/10!=1/5 Xếp bàn tròn
Bài toán yêu cầu xếp ngẫu nhiên Bình và An vào bàn tròn có 10 ghế, vậy số phần
tử của không gian mẫu là: n ( omega) = 10C2 = 45
Gọi biến cố A : " Bình và An ngồi cạnh nhau "
Vì ghế ược xếp theo hình tròn nên có 10 cách ể Bình và An ngồi cạnh nhau ( các
bạn vẽ ra giấy ể dễ nhìn nhé ) => n ( omega A ) = 10 ==> Vậy P(A) = 10/45 = 2/9
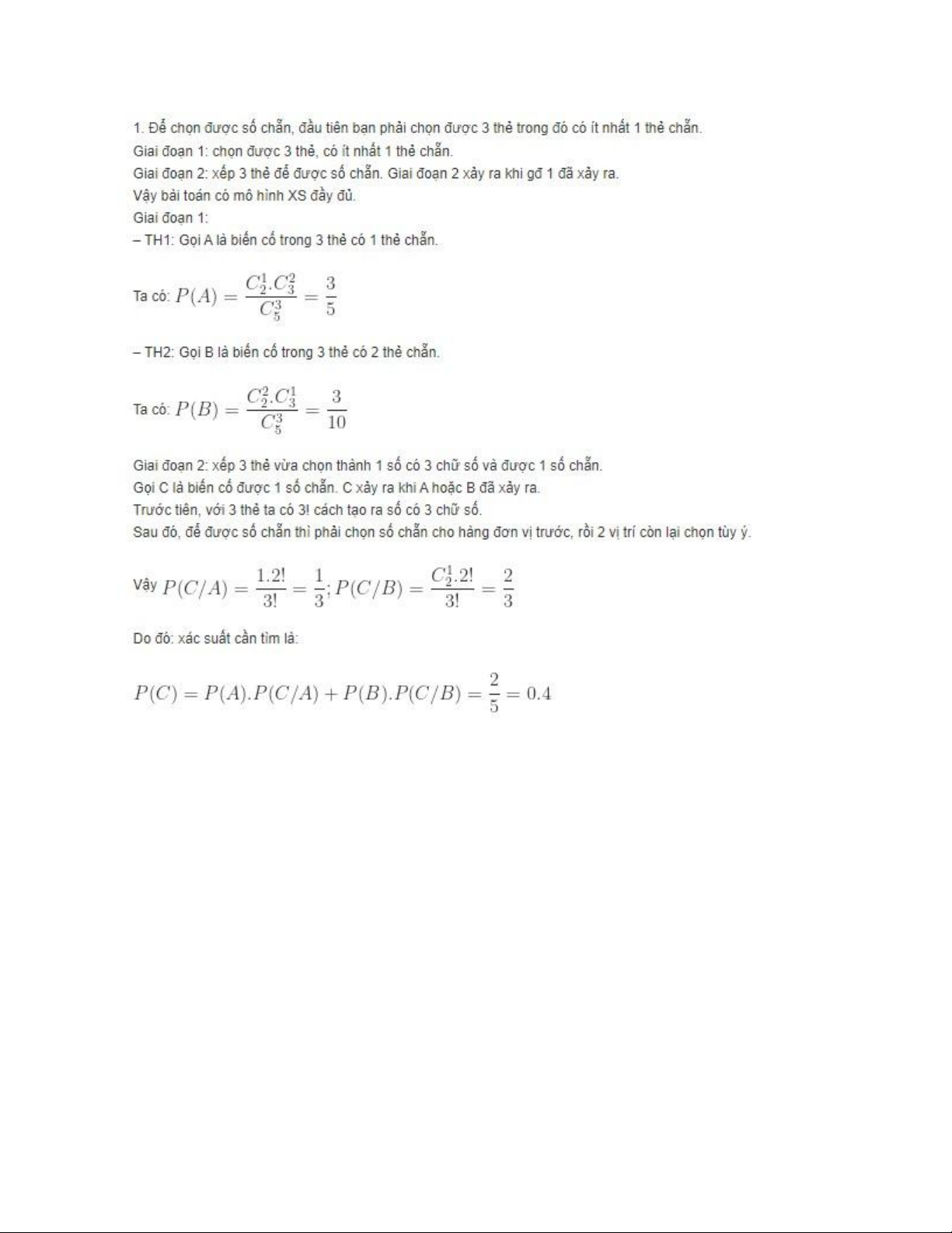
Bài tập 1.8. Viết 5 con số lên 5 quả cầu như nhau. Chọn hú họa liên tiếp ra 3 quả và
xếp theo thứ tự từ trái qua phải. Tìm xác suất ể nhận ược số chẵn? lOMoAR cPSD| 58950985
Bài tập 1.9. Rút ngẫu nhiên ra 5 quân bài từ bộ bài tam cúc gồm 32 con. Tìm xác
suất sao cho trong 5 con rút ra có:
a) 1 con tướng, 1 con sỹ, 2 con xe và 1 con tốt;
b) Lập ược “tứ tử”;
c) Lập ược “ngũ tử”;
d) Lập ược bộ ba “xe – pháo – mã”;
e) Có ba con màu ỏ, hai con màu xanh.
Bài tập 1.10. Biển ăng kí xe máy loại 50cm3 ở Hà Nội gồm 3 phần. Phần ầu là số
chỉ vùng Hà Nội:số 29. Phần giữa là 3 chữ số. Phần cuối gồm 2 chữ cái. Tính xem
có thể lập ược bao nhiêu biển ăng kí xe máy 50cm3 ở Hà Nội? lOMoAR cPSD| 58950985 a)
Giả sử ta chọn ngẫu nhiên một biển ăng kí. Tính khả năng ể nhận ược biển gồm 3 số 4, 6, 8? b)
Tìm xác suất ể nhận ược một biển có tổng ba số phần giữa lớn hơn 24. a/
Số BĐK lập ược cũng là số ptử KG mẫu: |Ω|=103.242
Hoán vị 3 ptử 4,6,8 ta có số biển: 3!.242
XS nhận ược biển theo yc: 3!.242/103.242=6/103=3/500
b. Đặt ¯¯¯¯¯¯¯¯abc là số phần giữa ta có các TH:
a+b+c=25 thì (a,b,c)=(9,8,8---> có 3!.242/2! =3.242 biển số a+b+c=26
thì (a,b,c)=(9,9,8) ---> có 3! 242/2! =3.242 biển số a+b+c=27 thì
(a,b,c)=(9,9,9---> có 1.242 biển số XS cần tìm: (2.3+1).242/103.242=7/1000