












Preview text:
LỜI MỞ ĐẦU
-Tính cấp thiết của đề tài: Nền kinh tế Việt Nam vận hành theo cơ chế hỗn hợp đó
là nền kinh tế thị trường có sự điều tiết của chính phủ. Chính phủ trực tiếp tham gia vào
việc giải quyết các vấn đề cơ bản của thị trường. Trong bối cảnh hội nhập kinh tế toàn
cầu, việc mở cửa tạo ra một cơ hội lớn để các quốc gia phát triển thương mại nâng cao
hiệu quả sản xuất và trao đổi hàng hóa tuy nhiên cũng phải kể đến mặt tiêu cực của nó
gây ra như sự cạnh tranh của hàng nhập khẩu, sự biến động giá cả của thế giới, sự lần át
từ các tập đoàn nước ngoài đối với doanh nghiệp trong nước. Tất cả những tác động trên
có thể làm biến động giá cả hàng hóa trong nước và có thể ảnh hưởng đến đời sống sinh
hoạt hằng ngày của người dân và nền sản xuất vẫn còn non kém của Việt Nam. Vấn đề
đặt ra cho chính phủ là làm sao để hạn chế những tiêu cực này. Điều đó phụ thuộc vào
chính sách và cơ chế quản lý của chính phủ mỗi nước. Vì những lý do trên em đã chọn đề
tài thị trường cạnh tranh độc quyền cơ sở lý luận và liên hệ thực tiễn tại Việt Nam với
mặt hàng xăng dầu giai đoạn 2016 - 2020. -Mục tiêu nghiên cứu:
+Tìm hiểu những nét khái quát chung về mặt hàng xăng dầu và thị trường xăng dầu
Việt nam để có cái nhìn tổng quan nhất.
+Phân tích nghiên cứu biến động của giá cả mặt hàng xăng dầu trên thị trường Việt
Nam và đặc biệt đi sâu tìm hiểu những tác động của nó tới nền kinh tế nói riêng và toàn
bộ đời sống xã hội nói chung trong giai đoạn 2016-2020. Từ đó có cái nhìn tổng quát
nhất nhằm đưa ra được những nguyên nhân chính gây nên tình trạng giá cả tăng giảm thất thường nêu trên.
+Tìm ra những giải pháp phù hợp nhằm hạn chế những tác động tiêu cực của biến
động giá xăng dầu đối với nền kinh tế, đồng thời đưa ra những giải pháp nhằm điều tiết
giá cả trong thời gian tới.
-Đối tượng nghiên cứu: +không gian: Việt Nam
+thời gian giai đoạn 2016-2020
-Phương pháp nghiên cứu:
+phương pháp luận: hệ thống các nguyên lý, quan điểm làm cơ sở cho bài tiểu luận.
+ Phương pháp nghiên cứu định lượng: thu thập thông tin, số liệu từ các bộ ngành
CHƯƠNG 1: CƠ SỞ LÝ LUẬN VỀ THỊ TRƯỜNG CẠNH TRANH TÍNH ĐỘC QUYỀN 1.1. Khái niệm
Thị trường cạnh tranh có tính độc quyền là thị trường trong đó có nhiều người bán
một sản phẩm nhất định nhưng sản phẩm của mỗi người bán ít nhiều có sự phân biệt đối
với người tiêu dùng. Có thể nói cạnh tranh độc quyền là cấu trúc thị trường kết hợp các
yếu tố của thị trường độc quyền và thị trường cạnh tranh hoàn hảo. Loại cấu trúc thị
trường này được tìm thấy trong cuộc sống thực. Về cơ bản, thị trường cạnh tranh độc
quyền là thị trường mà tại đó, các doanh nghiệp bán các sản phẩm hàng hóa, dịch vụ có
sự khác biệt nhất định về tính năng chất lượng, số lượng… Vì vậy các công ty có chính
sách kiểm soát giá và định giá của các công ty đang áp dụng. Người mua và người bán có
quyền tự do gia nhập và rút khỏi thị trường. Tuy nhiên, chính vì rào cản gia nhập thấp,
các đối thủ cạnh tranh mới liên tục gia nhập thị trường để ngăn cản các công ty hiện tại
tạo ra lợi nhuận siêu bình thường. 1.2.
Đặc điểm của thị trường
Thứ nhất, có nhiều người mua và nhiều người bán: Số lượng người bán là tương
đối lớn. Điều này có nghĩa là các nhà cung cấp sản phẩm hàng hóa, dịch vụ có thể kiểm
soát được chính sách giá, sản lượng của doanh nghiệp mình ở một mức độ nào đó. Chính
vì vậy, trong thị trường cạnh tranh độc quyền, mỗi doanh nghiệp sẽ tuân theo một chính
sách giá độc lập. Giả sử, nếu doanh nghiệp giảm giảm giá, doanh số bán được sẽ bị chênh
lệch một chút so với nhiều đối thủ của nó, do đó mức độ mà mỗi đối thủ phải gánh chịu
sẽ rất nhỏ. Như vậy các đối thủ này sẽ không có lý do gì để phản ứng trước sự thay đổi của doanh nghiệp này.
Thứ hai, sản phẩm có sự phân biệt: Sự phân biệt của sản phẩm thông qua nhãn
hiệu, bao bì, danh tiếng dịch vụ,...cung cấp làm cho người mua có sự lựa chọn nhất định
giữa các sản phẩm của hãng. Sự khác biệt hóa sản phẩm này sẽ giúp doanh nghiệp gia
tăng giá trị so với đối thủ cạnh tranh. Nó thể hiện ở việc người tiêu dùng có khả năng
phân biệt sản phẩm được cung cấp bởi doanh nghiệp này so với sản phẩm của một doanh nghiệp khác.
Thứ ba, tự do gia nhập hoặc rút khỏi thị trường. Các hãng mới dễ dàng đi vào thị
trường với nhãn hiệu riêng của họ các hãng trong ngành cũng tự do rút nuôi khỏi ngành
khi không có lợi nhuận. Giống như cạnh tranh hoàn hảo, trong cạnh tranh độc quyền, các
doanh nghiệp có quyền tự do gia nhập và rút khỏi thị trường. Các doanh nghiệp sẽ tham
gia vào thị trường khi các doanh nghiệp hiện tại đang tạo ra lợi nhuận siêu ngạch. Với sự
gia nhập của các doanh nghiệp mới, nguồn cung sẽ tăng lên làm giảm giá và do đó các
doanh nghiệp hiện tại sẽ chỉ còn lại với lợi nhuận bình thường. Tương tự, nếu các doanh
nghiệp đang hoạt động trong thị trường cạnh tranh độc quyền đang tiếp tục thua lỗ, một
số doanh nghiệp sẽ lựa chọn rút khỏi thị trường. Điều này sẽ làm giảm nguồn cung sản
phẩm hàng hóa, dịch vụ từ đó giả cả sẽ tăng lên, và các doanh nghiệp hiện tại sẽ chỉ còn
lại với lợi nhuận bình thường. 1.3.
Đặc điểm của hãng kinh doanh.
Hãng kinh doanh có sức mạnh độc quyền nhưng luôn bị đe dọa bởi sức ép cạnh
tranh tiềm tàng của các hãng cung ứng những sản phẩm tương đồng. Do đó đường cầu về
sản phẩm của hãng luôn biến động theo sức ép cạnh tranh đó.
Các hãng cạnh tranh với nhau do bán được các sản phẩm khác biệt, có thể thay thế
được cho nhau nhưng không phải thay thế hoàn toàn. Co giãn của cầu theo giá lớn nhưng không phải vô hạn.
Hãng kinh doanh là người chấp nhận mặt hàng giá chung của thị trường, nhưng
hãng cũng có quyền chi phối đến giá cả riêng của mình. Kết quả thị trường thành nhiều
mức giá như trên lệch nhau không lớn. 1.4. Đường cầu và đường doanh thu tiệm cận
Mỗi hãng cạnh tranh độc quyền sản xuất ra một loại sản phẩm khác biệt, vì vậy mỗi hãng
đều có đường cầu riêng. Nếu hãng tăng giá sẽ làm mất đi một phần khách hàng nhưng
không phải toàn bộ và ngược lại. Nếu hãng giảm giá sẽ làm tăng lượng cầu đối với bộ
phận khách hàng của hãng. Do đó đường cầu của hãng cạnh tranh độc quyền là đường
nghiêng xuống dưới về phía phải, giống như đường cầu của hãng độc quyền và đường
doanh thu tiệm cận cũng dốc xuống và nằm dưới đường cầu. Tuy nhiên đường cầu này co
giãn hơn trường hợp đường cầu của nhà độc quyền. 1.5.
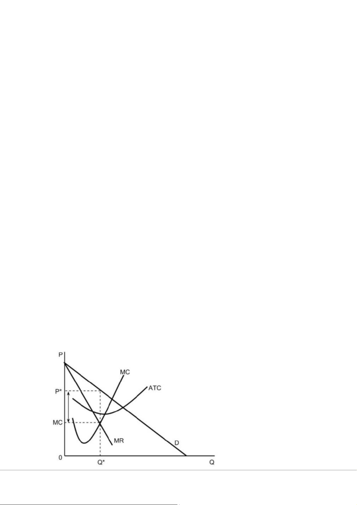
Lựa chọn sản lượng của hãng.
Mức sản lượng tối đa hóa lợi nhuận quy của hãng cạnh tranh độc quyền được xác định
theo nguyên tắc doanh thu tiệm cận bằng chi phí cận biên: MR = MC. Do doanh thu cận
biên luôn nhỏ hơn giá bán trên hãng cạnh tranh độc quyền cũng đặt giá cao hơn chi phí
cận biên giống như hãng độc quyền. Khoảng cách giữa P và MC đo sức mạnh độc quyền
của hãng cũng được xác định theo chỉ số theo công thức trên. Sức mạnh độc quyền của
hãng cạnh tranh độc quyền không lớn như hãng độc quyền vì có nhiều hãng cạnh tranh
với nhau, và các mặt hàng có thể thay thế hữu hiệu cho nhau. 1.6.
Cạnh tranh ngắn hạn và cân bằng dài hạn.
Hãng cạnh tranh độc quyền có đường cầu dốc xuống giống như hãng độc quyền
bán. Tuy nhiên các hãng cạnh tranh độc quyền không thu được lợi nhuận lớn Dương hãng
độc quyền bán. Cạnh tranh độc quyền giống như cạnh tranh hoàn hảo ở chỗ có sự tự do
gia nhập và rút lui khỏi thị trường. Vì vậy, khả năng thu được lợi nhuận sẽ cuốn hút hơn
các hãng kinh doanh mới với các mặt hàng cạnh tranh tham gia vào thị trường, kéo lợi
nhuận kinh tế và các hãng giảm dần xuống số 0
CHƯƠNG 2: LIÊN HỆ THỰC TIỄN TẠI VIỆT NAM VỚI MẶT HÀNG
XĂNG DẦU GIAI ĐOẠN 2016 - 2020.
2.1. Thị phần thị trường xăng dầu Việt Nam
Xăng dầu là nguồn năng lượng chủ yếu, là mặt hàng chiến lược, có vai trò quan
trọng trong nền kinh tế quốc dân, nó tham gia vào hầu hết các lĩnh vực: hoạt động sản
xuất, giao thông vận tải, thương mại, dịch vụ và đời sống xã hội. Mọi hoạt động sản xuất,
lưu thông hàng ngày không thể vận hành tốt nếu thiếu nhiên liệu xăng dầu.
Trong thị phần thị trường xăng dầu Việt Nam đứng đầu là Tập đoàn Xăng dầu
Việt Nam (Petrolimex) chiếm 35% thị phần trên toàn quốc. Petrolimex cung cấp các
chủng loại xăng dầu phù hợp với quy chuẩn quốc gia và quốc tế trên 63 tỉnh, thành Việt
Nam. Các sản phẩm năng lượng sạch, chất lượng cao cấp, bao gồm cả năng lượng truyền
thống và năng lượng thay thế bền vững, được Tập đoàn lựa chọn và tiên phong cung cấp
cho thị trường thông qua các nguồn trong nước và nhập khẩu bao gồm: E5 RON 92-II,
Xăng RON 95-IV, Xăng RON 95-III, DO 0,001S-V,...Với mức giá cạnh tranh, thanh toán
nhanh gọn, các điểm bán hàng thuận lợi và chất lượng sản phẩm được đảm
bảo, Petrolimex mong muốn sẽ được hợp tác với các đại lý, công ty trong và ngoài nước trong lĩnh vực này.
Tổng công ty Dầu Việt Nam - CTCP (PVOIL) là đơn vị thành viên của Tập đoàn
Dầu khí Việt Nam (PVN), là doanh nghiệp duy nhất tại Việt Nam tổ chức tiếp thị và thực
hiện dịch vụ ủy thác xuất bán dầu thô Việt Nam khai thác tại các mỏ ở trong nước và dầu
thô của Tập đoàn Dầu khí Việt Nam/ các công ty con của Tập đoàn Dầu khí Việt Nam
khai thác tại nước ngoài; cung cấp dầu thô Việt Nam và nhập khẩu dầu thô cho Nhà máy
Lọc dầu Dung Quất. Trong những năm gần đây PVOIL vẫn khẳng định được vị trí thứ 2
trên thị trường xăng dầu với sản lượng 3 triệu m3, tấn/năm, chiếm 15% thị phần trong
nước. Đặc biệt, PVOIL đã ứng dụng giải pháp Thẻ điện tử (digital card), đọc QR code
trên thiết bị di động của tài xế và nhân viên bán hàng để thực hiện giao dịch mua bán
xăng dầu tại các cửa hàng xăng PVOIL.
Tiếp theo có thể kể đến Công ty Xăng dầu Khu vực II - TNHH Một thành viên
(Petrolimex Sài Gòn). Petrolimex Sài Gòn sở hữu 70 điểm bán trên địa bàn, không ngừng
đầu tư/nâng cấp hạ tầng, trang thiết bị hiện đại với tiêu chuẩn Quốc tế, liên tục nâng cao
chất lượng dịch vụ để tạo lập sự khác biệt và giữ vững niềm tin của khách hàng. Sản
lượng xuất bán hàng năm đạt trên 550.000 m3-tấn - chiếm 37% thị phần bán lẻ xăng dầu tại TP. Hồ Chí Minh.
Thương hiệu MIPECO ( MIPECORP) đã được khẳng định, có uy tín trong nước
và bạn hàng quốc tế. Trong lĩnh vực kinh doanh xăng dầu, Tổng công ty Xăng dầu Quân
đội là một trong những doanh nghiệp giữ vai trò chủ đạo trên thị trường xăng dầu nội địa,
cung ứng bảo đảm đầy đủ và kịp thời các chủng loại xăng dầu, mỡ nhờn cho quốc phòng
và kinh tế. Các đơn vị thành viên Mipecorp trực tiếp kinh doanh xăng dầu trên địa bàn 58
tỉnh, thành phố với gần 100 cửa hàng bán lẻ xăng dầu trực thuộc Tổng công ty và hàng
trăm cửa hàng đại lý xăng dầu hiện diện trên khắp cả nước.
Bên cạnh đó còn rất nhiều doanh nghiệp vừa và nhỏ cũng kinh doanh trong lĩnh
vực này. Hiện Petrolimex vẫn nắm một tỷ lệ áp đảo về thị phần trên thị trường xăng dầu
nội địa. Do đó, muốn tiến tới sự cạnh tranh trên thị trường một cách minh bạch, công khai
để có lợi cho sản xuất kinh doanh và tiêu dùng, nhà nước cần phải mở rộng thị phần xăng
dầu cho các chủ thể khác cùng kinh doanh trên thị trường. Hiện nay đã cho mở rộng đến
35% thị phần, tuy nhiên nhà đầu tư nước ngoài muốn tham gia phải có đầu tư khai thác,
lọc hóa dầu với các công ty Việt Nam. Trong tương lai không xa thị trường xăng dầu sẽ
được cạnh tranh đầy đủ hơn, giảm bớt những độc quyền đang có của Petrolimex trên thị trường bán lẻ.
2.2. Vấn đề định giá của các doanh nghiệp ngành xăng dầu
Các doanh nghiệp sẽ định giá như sau: Giá cơ sở sẽ được xác lập để hình thành
nên “giá bán lẻ xăng dầu”. Giá cơ sở là tổng của các khoản như sau: Giá CIF (tức giá
xăng dầu thế giới theo công bố trên tờ Plalt’s Singapore được tính bình quân của số ngày
dự trữ lưu thông theo quy định cùng với chi phí phát sinh để đưa sản phẩm về đến cảng)
cộng với thuế nhập khẩu, thuế tiêu thụ đặc biệt, tỷ giá ngoại tệ, thuế VAT, phí xăng dầu,
mức trích quỹ bình ổn giá, các loại thuế, các khoản trích nộp khác theo luật định, chi phí
kinh doanh và lợi nhuận định mức… Mọi biến động của mức giá này sẽ được coi là căn
cứ để doanh nghiệp tăng hay giảm giá bán lẻ xăng dầu trên thị trường. Như vậy, khi “giá
cơ sở” giảm từ trên 3 đến 12%, Doanh nghiệp phải giảm giá bán lẻ với mức không thấp
hơn 50% của mức giảm giá cơ sở. Ngược lại, nếu giá cơ sở tăng từ trên 3 đến 12%,
Doanh nghiệp cũng được đề xuất tăng giá bán lẻ với điều kiện không vượt quá 50% của mức tăng giá cơ sở.
Lâu nay, người tiêu dùng luôn đặt nghi vấn về sự minh bạch của cơ chế tính giá
bán lẻ xăng dầu. Dù có đến 11 doanh nghiệp tham gia nhập khẩu nhưng trên thực tế, cả
nước vẫn chỉ áp một loại giá cho xăng dầu bán lẻ. Đây là điều thậm vô lý, chứng tỏ,
ngành kinh doanh xăng dầu chưa thực sự được điều hành theo cơ chế thị trường như định
hướng của Chính phủ. Người tiêu dùng vẫn chưa có quyền được lựa chọn và luôn luôn
bức xúc, mỗi khi giá dầu thế giới tăng, doanh nghiệp vội vàng tăng ngay giá bán lẻ. Mặc
dù, lúc buộc phải giảm giá, doanh nghiệp lại giảm nhỏ giọt, từ từ. Số liệu Tổng Cục
thống kê năm 2020, tiêu thụ xăng dầu giảm 6% so với năm 2019. Có nhiều lý giải cho
con số này, cơ bản nhất là lý do sản xuất suy giảm nên giảm tiêu dùng nhiên liệu. Nhưng
trong thực tế, sản xuất công nghiệp và nhiều lĩnh vực khác vẫn tăng nên tiêu thụ xăng dầu
không thể giảm. Vấn đề này có thể lý giải sau: Do thị trường xăng dầu Việt Nam không
có cạnh tranh. Tuy có hơn 11 doanh nghiệp nhưng đều thống nhất chung một giá bán. Thị
trường do Tổng Công ty Xăng dầu Việt Nam (Petrolimex) áp đảo. Bất kỳ một doanh
nghiệp nào muốn cạnh tranh về giá đều không có khả năng thắng.
Cơ chế điều hành giá xăng dầu hiện nay căn cứ vào lỗ, lãi từng lít của Doanh
nghiệp là chưa phù hợp. Thứ nhất, doanh nghiệp có quá trình nhập khẩu, dự trữ dài hạch
toán sau một thời gian. Thứ hai, doanh nghiệp kinh doanh nhiều mặt hàng khác nhau; lỗ,
lãi của các mặt hàng bù chéo cho nhau. Do đó, mức lỗ, lãi của mỗi doanh nghiệp phải
tính trên tổng thể, không phải căn cứ lỗ, lãi từng lít để cho tăng hoặc giảm giá bán. Mức
lỗ, lãi được tính từ giá bán đến chi phí đầu vào. Gần đây, sự thiếu ổn định về thuế nhập
khẩu, trả nợ ngân sách... làm vênh giữa chi phí đầu vào của doanh nghiệp trong những
thời điểm khác nhau. Nếu lách được lỗ hổng này, doanh nghiệp có thể thu lợi nhuận lớn.
Liên quan đến chi phí của doanh nghiệp như định mức hao hụt, chi phí đại lý..., lâu nay
chúng ta không rà soát chặt chẽ, kể cả khi có kết quả kiểm toán để làm rõ lỗ, lãi là do giá
bán lẻ chậm điều chỉnh hay chi phí bất cập. Trong đó có cả chi phí lương, vốn, rủi ro tỉ
giá hối đoái và các chi phí sản xuất khác.
Tóm lại, hệ thống xuất nhập khẩu xăng dầu chưa được hạch toán và đối xử giống
một doanh nghiệp đang kinh doanh trên thị trường với một mặt hàng chiến lược đặc biệt.
Thay vào đó, doanh nghiệp xăng dầu gần như là một bộ phận nối dài của cơ quan quản lý
Nhà nước. Tuy nhiên, việc doanh nghiệp khi muốn tăng giá phải đăng ký trước 3 tháng:
tại sao chúng ta vẫn lúng túng trong điều hành giá xăng dầu? Nguyên nhân sâu xa vì
trong cơ cấu giá xăng dầu, khoảng 50% là thu về ngân sách Nhà nước (thuế xuất nhập
khẩu và các khoản thu khác). Tỉ lệ thu về ngân sách khá lớn nên việc lấy giá xăng trong
nước so sánh với giá của nước khác không hẳn đã hợp lý do mức thu về ngân sách của
mỗi nước khác nhau nên tác động trực tiếp đến giá bán lẻ khác nhau. Hơn nữa, Việt Nam
lại có dầu thô. Thông qua mức thu ngân sách, Nhà nước điều chỉnh được giá xăng dầu vì
lợi ích của cả ba bên: Nhà nước, doanh nghiệp và người dân. Vì vậy, “thả” giá xăng về cơ
chế thị trường không có nghĩa là để Doanh nghiệp được hoàn toàn quyết định giá bán thế
nào cũng được. Một lý do khác để không “thả” giá xăng dầu: Đây là mặt hàng có tác
động đến tất cả mọi lĩnh vực của nền kinh tế và đời sống. Vấn đề là Nhà nước quản lý giá
bằng biện pháp gì, ở mức độ nào để không làm méo mó thị trường.
2.3. Ảnh hưởng của giá xăng dầu đến nhà sản xuất và người tiêu dùng
Thứ nhất việc giá xăng dầu cao và ngày càng tăng làm giảm mức sống của dân cư
xuống dưới mức lẽ ra đã có thể đạt được. giá xăng dầu tăng còn trực tiếp làm tăng chỉ số
giá tiêu dùng (CPI), ảnh hưởng đến thu nhập và chi tiêu của người dân. Giá xăng dầu
tăng 10% làm cho chỉ số CPI tăng 0,36 điểm phần trăm. Ngoài ra, chi tiêu cho xăng dầu
chiếm 1,5% trong tổng tiêu dùng cuối cùng của hộ gia đình. Khi giá xăng dầu tăng cao,
hộ gia đình sẽ cơ cấu lại và cắt giảm một phần chi tiêu, điều này làm giảm tổng cầu của
nền kinh tế. CPI tháng 3/2020 chịu tác động rất lớn từ 3 đợt tăng giá bán lẻ xăng dầu
(ngày 25/2, 12/3 và 27/3, với mức tăng 6,89% so với tháng trước), đẩy chỉ số nhóm hàng
giao thông tăng 2,29%. Trong khi đó, tháng 4/2020, giá xăng dầu tác động rất ít tới CPI,
nên CPI tháng 4 giảm 0,04% so với tháng trước, tăng 1,27% so với tháng 12/2019 và
tăng 2,7% so với cùng kỳ năm trước. Bình quân 4 tháng đầu năm, CPI tăng 0,89%. Đây
là mức tăng thấp trong giai đoạn 2016- 2020. Do tổng tiêu dùng của sản phẩm xăng dầu
tăng lên tương đối so với thu nhập ước tính sự gia tăng giá xăng tại Việt Nam khiến cho
mỗi người dân sử dụng phương tiện xe máy mỗi tháng phải chi thêm bình quân khoảng
30.000 đến 40.000 so với trước hơn nữa mặt hàng xăng dầu tương đối không có dạng với
giá nghĩa là giá tăng nhưng người sử dụng phương tiện vận tải cơ giới vẫn phải sử dụng
do không có nhiên liệu khác thay thế, do vậy khi giá xăng dầu tăng thì người tiêu dùng có
ít thu nhập hơn để chi tiêu cho các hàng hóa khác.
Thứ hai sự gia tăng này tác động đến nền kinh tế theo các hình thức mà rất khó để
các nhà hoạch định chính sách có thể quản lý được một mặt sự gia tăng giá xăng dầu tạo
ra áp lực gây ra lạm phát thông qua hiện tượng giá cánh kéo. Do xăng dầu là yếu tố đầu
vào của hầu hết tất cả các ngành kinh tế khác nên giá đầu vào tăng trong điều kiện các
yếu tố khác không thay đổi sẽ kéo theo đầu ra sản phẩm tăng lên. Đặc biệt, giá xăng dầu
tăng có tác động rất mạnh tới các ngành sử dụng nhiều xăng dầu như: đánh bắt thuỷ sản,
vận tải hàng hoá và hành khách đường bộ, đường thuỷ và đường hàng không. Bên cạnh
tác động trực tiếp làm tăng giá thành sản phẩm, giá xăng dầu tăng còn làm tăng giá hàng
hoá trong khâu lưu thông, tạo áp lực lên lạm phát, giảm sức cạnh tranh của hàng hoá sản
xuất trong nước, tác động xấu đến tăng trưởng kinh tế.
Đối với kinh tế nước ta, hiện nay, xăng dầu là một trong những mặt hàng chiến
lược do Nhà nước quản lý giá, giá bán được quản lý trên cơ sở bảo đảm lợi ích giữa nhà
nước, doanh nghiệp và người dân. Chính phủ giao Bộ Công Thương nắm bắt giá xăng
dầu trên thị trường thế giới, phối hợp với Bộ Tài chính phân tích những yếu tố về giá và
thuế để điều chỉnh các loại thuế có liên quan đến xăng dầu; đồng thời, hai Bộ cùng các
DN nhận định, đánh giá và phối hợp nhịp nhàng để sử dụng Quỹ bình ổn giá xăng dầu.
Từ đó, quyết định giá bán sao cho phù hợp với giá thế giới, đảm bảo lợi ích của DN và
người dân. Thực hiện phương thức này trong quản lý giá bán xăng dầu sẽ giảm một phần
tác động xấu của giá xăng dầu tăng đến lạm phát và tăng trưởng kinh tế.
CHƯƠNG 3: ĐỀ XUẤT MỘT SỐ GIẢI PHÁP VÀ KIẾN NGHỊ NHẰM
GIẢM THIỂU NHỮNG TỔN THẤT VỀ KINH TẾ
- Nhà nước cần xác định rõ và bóc tách giữa 2 nhiệm vụ về bản chất khác hẳn
nhau là: Kinh doanh xăng dầu như mục đích tự thân của các doanh nghiệp kinh doanh
xăng dầu, với việc dự trữ xăng dầu bảo đảm an ninh năng lượng như một mục tiêu chính trị quốc gia.
- Nhà nước cần xác định được giá sàn và giá trần trên cơ sở phân nhóm đúng vai
trò của từng nhân tố cấu thành giá bán lẻ xăng dầu.
- Nhà nước cần cho phép tự động điều chỉnh giá bán lẻ xăng dầu theo xu hướng và
cạnh tranh thị trường, đồng thời tăng cường các chế tài của Nhà nước và giám sát xã hội.
- Thúc đẩy quá trình tự do hoá kinh doanh xăng dầu, tạo cạnh tranh lành mạnh đầy
đủ trên thị trường bán buôn và bán lẻ xăng dầu Việt Nam. Khi đó, Nhà nước vẫn thu
được thuế, các doanh nghiệp có thêm động lực và cơ hội đầu tư phát triển, còn người tiêu
dùng thì được lợi cả về chất lượng dịch vụ và giá cả do các “nhà xăng’ cung cấp.
- Chính phủ chỉ đạo các cơ quan chức năng tiến hành kiểm toán toàn diện và
khách quan các chi phí kinh doanh hiện hành và chuẩn mực của các hoạt động kinh
doanh xăng dầu, lập và công khai hoá cơ sở dữ liệu có liên quan (giá mua, chi phí vận tải,
duy trì hệ thống dự trữ và phân phối xăng, lợi nhuận định mức và các nghĩa vụ tài chính
của kinh doanh xăng dầu…), để các cơ quan chức năng và giới tiêu dùng có cơ sở khoa
học minh bạch cho việc tính và kiểm tra “giá chuẩn” trên thị trường kinh doanh xăng dầu trong nước.
- Các cơ quan chức năng nên thường xuyên thanh tra, kiểm tra việc chấp hành
chính sách pháp luật trong hoạt động sản xuất kinh doanh xăng dầu đối với các doanh
nghiệp nhằm đảm bảo sự công bằng cho doanh nghiệp và người tiêu dùng.
- Pháp quy hoá các quy định và yêu cầu quản lý nhà nước có liên quan đến chất
lượng, định giá và quản lý giá xăng dầu, bảo đảm cạnh tranh tự do và minh bạch về giá
cả, cũng như tạo các căn cứ ổn định và thuận lợi cho hình thành và dự báo giá xăng dầu
theo sát các động thái thị trường và giảm thiểu các “thắc mắc”, đoán mò và tin đồn thất
thiệt trên thị trường này. KẾT LUẬN
Đối với toàn cầu nói chung và Việt Nam nói riêng, những quan ngại về an ninh
năng lượng trong những năm gần đây không ngừng gia tăng. Những căng thẳng về nguồn
cung, nhu cầu cũng như biến động về giá cả dầu mỏ luôn là chủ đề nóng bỏng trong
những năm gần đây. Với đặc điểm nổi bật là thị trường nhập khẩu xăng dầu, sự biến động
giá xăng dầu nước ta trong thời gian qua hầu như cùng chiều với giá dầu thô thế giới song
mức độ không giống nhau.
Tiểu luận đã tập trung nghiên cứu một số vấn đề cơ bản như sau:
Thứ nhất, xăng dầu là nguồn năng lượng có vị trí chiến lược trong các ngành sản
xuất vật chất, dịch vụ như giao thông vận tải, sản xuất than, điện, thép… an ninh quốc
phòng và tiêu dùng. Đối với tất cả các quốc gia, xăng dầu là động lực thúc đẩy quá trình
công nghiệp hóa - hiện đại hóa đất nước, là nhu cầu không thể thiếu của một xã hội hiện đại.
Thứ hai, việc điều chỉnh giá xăng dầu đã có cơ chế rõ ràng; nó liên quan cả đế vấn
đề đảm bảo tính bình ổn, đồng thời liên quan đến việc điều hành giá theo thị trường, vì
thế chúng ta chưa thể áp dụng việc thả giá xăng dầu theo thị trường ngay được mà phải
cân nhắc cả hai trong bối cảnh này.
Thứ ba, trước tình hình bất ổn giá xăng dầu trong nước trong thời gian qua, các
giải pháp cần thiết đã và đang được áp dụng nhằm hạn chế những tác động tiêu cực tới đời sống - xã hội.
DANH MỤC TÀI LIỆU THAM KHẢO: 1.
PGS.TS. Nguyễn Văn Dần, TS.Nguyễn Hồng Nhung (2017), Giáo trình
Kinh tế vi mô I, Học viện Tài chính, NXB Tài chính. 2.
Bùi Hữu Quyền (2017), Giải pháp quản lý và bình ổn thị trường xăng dầu
tại Viêt ˜ Nam, Luận văn thạc sĩ kinh tế , Đai hoc Kinh tế thành phố Hồ Chí Minh 3.
PGS.TS.Nguyễn Thế Chinh (2020), Nguồn tài nguyên năng lượng Việt
Nam và khả năng đáp ứng nhu cầu phát triển kinh tế, Tạp chí Tài chính 4.
Việt Linh (2021), Giá xăng dầu, gas đẩy CPI tháng 11 tăng trở lại, Báo Tiền phong 5.
Số liệu của Bộ Tài chính, Tổng cục Thống kê