



















Preview text:
Kinh tế vi mô - Câu hỏi tự luận
Câu 1. Khái niệm cầu hàng hóa và dịch vụ. Các nhân tố ảnh hưởng đến cầu và lượng
cầu về hàng hóa và dịch vụ? - Khái niệm:
Cầu (D- Demand) là số lượng hàng hoá hay dịch vụ mà người mua có khả năng và
sẵn sàng mua ở các mức giá khác nhau trong một thời gian nhất định, trong điều kiện các
yếu tố khác không thay đổi.
Lượng cầu (QD – Quantity demanded) là số lượng hàng hóa – dịch vụ mà người
mua sẵn sàng hoặc có khả năng mua ở một mức giá xác định trong một khoảng thời gian
nhất định, trong điều kiện các yếu tố khác không thay đổi.
- Các nhân tố ảnh hưởng tới cầu và lượng cầu hàng hoá dịch vụ:
+ Giá cả của bản thân hàng hoá (Px)
Giá của bản thân hàng hoá được xem là biến nội sinh, như đã đề cập ở phần trên,
khi giá của bản thân hàng hoá tăng thì lượng cầu về hàng hoá đó giảm xuống và ngược lại
(trong điều kiện các yếu tố khác không đổi). PX => QDX PX => QDX
+ Thu nhập của người tiêu dùng (I)
Thu nhập tăng lên dẫn tới cầu về hàng hoá thông thường tăng lên. Lượng cầu tăng
lên tại mọi mức giá. Đường cầu dịch chuyển lên trên (sang phải). Trong hàng hóa thông
thường lại có hàng hóa thiết yếu và hàng hóa xa xỉ. Hàng hóa thiết yếu là những hàng hóa
được cầu nhiều hơn khi thu nhập tăng lên nhưng sự tăng cầu là tương đối nhỏ hoặc xấp xỉ
với sự tăng của thu nhập.
Tuy nhiên trong một số trường hợp đặc biệt, thu nhập tăng lên dẫn đến cầu về hàng
hoá giảm. Các hàng hóa đó được gọi là hàng hóa thứ cấp. Khi thu nhập tăng lượng cầu
hàng hóa thứ cấp giảm tại mọi mức giá. Đường cầu dịch chuyển xuống dưới (sang trái).
Khi xét đến một loại hàng hóa nào đó là hàng hóa xa xỉ, thông thường hay thứ cấp
người ta phải xác định tại không gian và thời gian cụ thể. Vì một hàng hóa có thể vừa là
hàng hóa thông thường vừa là hàng hóa thứ cấp ở các không gian khác nhau. Và, xét theo
thời gian một hàng hóa là hàng thông thường hôm nay nhưng có thể là hàng thứ cấp trong tương lai.
+ Giá cả của hàng hoá liên quan (Py) 1
Hàng hoá có liên quan được hiểu là những hàng hoá có tác động trực tiếp đến cầu
của hàng hoá đang xét. Có 2 loại hàng hoá liên quan là: (1) Hàng hoá thay thế; (2) Hàng hoá bổ sung.
- Đối với hàng hoá thay thế:
Hai hàng hoá được cho là có khả năng thay thế cho nhau khi chúng giống nhau hoặc
có cùng một giá trị sử dụng hay thỏa mãn cùng nhu cầu trong tiêu dùng. Người tiêu dùng
hoặc có thể dùng hàng hoá này hoặc có thể dùng hàng hoá kia, chúng có thể thay thế cho
nhau được. Hay có thể nói: hàng hoá thay thế là hàng hoá có thể sử dụng thay cho hàng
hoá khác. Ví dụ: Thịt và cá, chè và cà phê, gạo và ngô…
Lúc này, khi giá của hàng hoá này tăng, người ta chuyển sang mua hàng hoá kia nhiều
hơn, dẫn đến cầu về hàng hoá kia tăng lên, đường cầu dịch lên trên (sang phải). Và ngược lại
khi giá của hàng hoá này giảm thì cầu về hàng hoá kia giảm, đường cầu dịch xuống dưới (sang trái).
- Đối với hàng hoá bổ sung:
Hàng hoá bổ sung hàng hoá được sử dụng đồng thời với hàng hoá khác. Ví dụ: Trà
và đường, điện và quạt điện…
Khi giá của hàng hoá này tăng lên thì cầu về hàng hoá kia giảm và ngược lại, khi giá
của hàng hoá này giảm xuống lên thì cầu về hàng hoá kia tăng lên, đường cầu dịch chuyển lên trên (sang phải).
+ Số lượng người tiêu dùng (n)
Số lượng người tiêu dùng phản ánh quy mô tiêu dùng trên thị trường. Thị trường
càng có nhiều người tiêu dùng thì cầu càng tăng và ngược lại. Thị trường có quy mô càng
lớn thì cầu càng cao và ngược lại. Ví dụ: Năm 2019 Trung Quốc với dân số hơn 1,4 tỷ dân
sẽ cầu nhiều gạo hơn Việt Nam với hơn 96 triệu dân.
+ Thị hiếu (T)
Thị hiếu là sở thích hay sự ưu tiên của người tiêu dùng đối với hàng hoá - dịch vụ.
Thị hiếu, sở thích, trào lưu, phong tục, tập quán lối sống tác động mạnh đến cầu về hàng
hoá, theo hướng: (1) Nếu hàng hoá phù hợp với thị hiếu sở thích, hàng hoá hợp mốt hay
đang là trào lưu tiêu dùng thì cầu về hàng hoá đó tăng ngay; (2) Nếu hàng hoá đó lạc hậu
về mốt, không còn phù hợp với thị hiếu nữa thì cầu giảm xuống. Chúng ta có thể dễ quan
sát nhất khi tiêu dùng các hàng hoá gắn nhiều với thị hiếu sở thích như: quần áo, giày dép, mỹ phẩm…
+ Các kỳ vọng của người tiêu dùng (E) 2
Kỳ vọng là sự mong đợi của người tiêu dùng trong tương lai. Mỗi người tiêu dùng
đều có những kỳ vọng riêng của mình. Điều này, sẽ tác động trực tiếp đến hành vi tiêu
dùng hiện tại của họ. Nhiều người tiêu dùng cùng có một kỳ vọng như nhau sẽ tạo nên các
hiệu ứng tiêu dùng, các trào lưu tiêu dùng. Trên thực tế không phải bất kỳ kỳ vọng nào
cũng trở thành hiện thực. Một kỳ vọng nào đó có thể xảy ra hoặc không xảy ra như trông
đợi của người tiêu dùng, song nó đều tác động đến hành vi tiêu dùng hiện tại
- Kỳ vọng về sự thay đổi của giá cả. Nếu người tiêu dùng kỳ vọng về giá cả của
hàng hoá trong tương lai tăng, thì tại mỗi mức giá cho trước lượng cầu hiện tại có xu hướng
tăng lên, đường cầu hiện tại dịch chuyển sang phải và ngược lại.
- Kỳ vọng về sự thay đổi của thu nhập: Nếu thu nhập trong tương lai có thể tăng lên
thì cầu hiện tại sẽ tăng và ngược lại. Khi người tiêu dùng bi quan về tương lai, do họ cho
rằng có thể phải đối diện với: tuổi già, bệnh tật, thất nghiệp, thiên tai dịch bệnh… thì hiện
tại buộc họ phải thắt chặt chi tiêu để dành chi tiêu trong tương lai, làm cho cầu hiện tại giảm xuống.
+ Các nhân tố khác
Có thể liệt kê rất nhiều các nhân tố khác cũng tác động làm thay đổi cầu về một
hàng hoá đã cho: (1) Chính sách, qui định của Chính phủ; (2) Hiệu quả từ các chiến dịch
quảng cáo, tiếp thị sản phẩm của doanh nghiệp; (3) Thời tiết khí hậu; (4) Tôn giáo, tín
ngưỡng… Chẳng hạn, bạn không thích đội mũ bảo hiểm (có thể do bạn không thấy đẹp,
bất tiện khi lúc nào cũng phải mang bên mình…), làm cho bạn không có cầu về mũ bảo
hiểm. Tuy nhiên, khi Nhà nước đưa ra qui định bắt buộc khi đi xe máy, tham gia giao thông
phải đội mũ bảo hiểm. Nếu không sẽ bị xử phạt hành chính. Quy định bắt buộc này của
nhà nước đã buộc bạn phải có cầu về mũ bảo hiểm.
Câu 2: Anh (chị) hãy trình bày khái niệm cung, lượng cung hàng hóa và dịch vụ? Các
nhân tố ảnh hưởng đến cung và lượng cung về hàng hóa và dịch vụ? - Khái niệm
Cung (S - Supply): Cung là số lượng hàng hoá - dịch vụ mà người bán có khả năng
và sẵn sàng bán ở các mức giá khác nhau trong một thời gian nhất định (trong điều kiện
các yếu tố khác không đổi).
Lượng cung (QS - Quantity supplied): Lượng cung là lượng hàng hoá - dịch vụ
mà người bán sẵn sàng và có khả năng bán tại một mức giá xác định trong một thời gian
nhất định (trong điều kiện các yếu tố khác không đổi). 3
- Các nhân tố ảnh hưởng đến cung và lượng cung hàng hóa dịch vụ
+ Giá của bản thân hàng hoá - dịch vụ
Như đã đề cập ở phần trên, giá của bản thân hàng hoá dịch vụ tác động đến lượng
cung hàng hoá dịch vụ. Giá hàng hóa – dịch vụ là nhân tố nội sinh, tác động đến lượng
cung hàng hóa – dịch vụ. Khi giá của hàng hoá - dịch vụ tăng thì lượng cung tăng và ngược lại. PX => QX PX => QX
+ Công nghệ sản xuất
Công nghệ sản xuất là nhân tố quan trọng ảnh hưởng trực tiếp đến năng suất và sản
lượng của doanh nghiệp. Nếu công nghệ được cải tiến, doanh nghiệp áp dụng các công
nghệ tiên tiến hiện đại thì năng suất lao động tăng, chi phí sản xuất giảm, lợi nhuận tăng.
Do đó, cung về hàng hoá dịch vụ ra thị trường tăng và ngược lại. Khi công nghệ sản xuất
cũ kỹ, lạc hậu, làm cho năng suất, sản lượng giảm, dẫn đến cung trên thị trường giảm xuống.
+ Giá của các yếu tố đầu vào
Hoạt động sản xuất kinh doanh của doanh nghiệp chịu tác động mạnh từ các yếu tố
đầu vào như: vốn, lao động, nguyên vật liệu, đất đai… Vì vậy, giá các yếu tố đầu vào biến
động sẽ làm cho chi phí sản xuất biến động theo. Đến lượt nó, chi phí thay đổi sẽ làm cho
giá thành, lợi nhuận thay đổi. Qua đó ảnh hưởng đến sản lượng sản xuất và cung ứng ra thị trường.
Nếu giá của các yếu tố sản xuất giảm sẽ dẫn đến giá thành giảm, do đó lợi nhuận
tăng nên cung tăng và ngược lại.
Giá xăng dầu tăng lên, doanh nghiệp kinh doanh vận chuyển hàng hoá và hành
khách chịu tác động trực tiếp do xăng dầu là yếu tố đầu vào quan trọng nhất. Nếu các yếu
tố khác không đổi, khi giá xăng tăng lên sẽ làm cho lợi nhuận của doanh nghiệp giảm
xuống. Doanh nghiệp buộc phải cắt giảm sản lượng của mình, làm cho cung trên thị trường giảm.
+ Chính sách thuế
Tác động của chính sách thuế cũng được xem như tác động của giá các yếu tố đầu
vào, do thuế cũng được tính vào chi phí sản xuất của doanh nghiệp. Thuế cao dẫn đến thu
nhập của người sản xuất giảm, cung giảm và ngược lại. Vì vậy, trên thực tế nhà nước luôn
sử dụng thuế như một công cụ hữu hiệu để tác động đến sản xuất và cung ứng trên thị 4
trường. Nếu nhà nước muốn khuyến khích một ngành, lĩnh vực nào đó phát triển thì nhà
nước có thể ưu đãi thông qua chính sách thuế của mình. Và ngược lại, nếu một ngành nào
đó mà nhà nước cho rằng cần phải kiềm chế hoặc không khuyến khích phát triển thì nhà
nước có thể tăng thuế.
Chẳng hạn, muốn khuyến khích sản xuất ô tô trong nước phát triển, nhà nước có thể
ưu đãi về thuế cho các doanh nghiệp sản xuất và lắp ráp ô tô trong nước. Ngược lại, nhà
nước có thể đánh thuế cao đối với ô tô nhập khẩu để hạn chế việc nhập khẩu ô tô nguyên
chiếc từ nước ngoài vào Việt Nam.
+ Số lượng người sản xuất
Số lượng người sản xuất cũng góp phần quan trọng quyết định cung trên thị trường.
Nếu số lượng người sản xuất tăng lên thì cung trên thị trường tăng lên và ngược lại.
+ Các kỳ vọng của người sản xuất
Cũng giống như người tiêu dùng, người sản xuất cũng bị ảnh hưởng bởi các kỳ vọng
của mình. Đó là những hy vọng, trông đợi trong tương lai về sản xuất kinh doanh hàng hoá dịch vụ.
Kỳ vọng về sự thay đổi giá: Nếu giá tăng hơn trong tương lai thì doanh nghiệp sẽ
chờ một cơ hội tốt hơn trong tương lai để tung hàng hoá của mình ra bán nhằm thu được
lợi nhuận cao hơn. Điều này sẽ làm cho cung hiện tại giảm và ngược lại.
Kỳ vọng về giá của các yếu tố đầu vào: Nếu giá đầu vào giảm hơn trong tương lai,
doanh nghiệp nhận thấy sản xuất hiện tại chi phí sẽ đắt hơn so với tương lai nên cung hiện
tại giảm và ngược lại.
+ Các nhân tố khác
Khó có thể liệt kê hết được các nhân tố ảnh hưởng đến cung trên thị trường. Ngoài
những nhân tố chính kể trên, người ta còn nhận thấy nhiều nhân tố khác cũng tác động đến
cung trên thị trường. Như: (1) Các chính sách của nhà nước; (2) Thiên tai dịch bệnh, động đất, sóng thần…
Câu 3. Anh (chị) hãy trình bày khái niệm cầu hàng hóa và dịch vụ? Thế nào là sự di
chuyển và dịch chuyển của cầu? Phân biệt sự di chuyển và dịch chuyển của cầu? - Khái niệm
Cầu (D) là số lượng hàng hoá hay dịch vụ mà người mua có khả năng và sẵn sàng
mua ở các mức giá khác nhau trong một thời gian nhất định, trong điều kiện các yếu tố khác không thay đổi. 5
- Sự di chuyển và dịch chuyển của cầu:
Cầu là mối quan hệ giữa giá và lượng cầu. Một sự thay đổi của giá sẽ làm cho lượng
cầu cầu thay đổi, nhưng không có sự thay đổi của cầu, người ta gọi là sự di chuyển hay vận
động dọc trên đường cầu. Còn sự thay đổi của các biến khác ngoài giá bản thân hàng hoá
sẽ làm cho cầu thay đổi. Lúc này đường cầu thay đổi vị trí của mình. Đường cầu có thể dốc
hơn hoặc thoải hơn. Đường cầu có thể dịch chuyển sang phải hoặc dịch chuyển sang trái.
Khi đó, người ta gọi là sự dịch chuyển của đường cầu.
- Phân biệt sự di chuyển và dịch chuyển của cầu:
Sự di chuyển Sự dịch chuyển
- Sự vận động dọc đường cầu là sự
- Sự dịch chuyển của đường cầu là sự
thay đổi của lượng cầu do nhân tố
thay đổi của cầu do nhân tố ngoại sinh
nội sinh gây ra (giá của bản thân
gây ra (thu nhập, thị hiếu, dân số…). hàng hoá).
- Xuất hiện hiện tượng trượt dọc trên
- Không xuất hiện hiện tượng trượt dọc
đường cầu từ điểm này đến điểm kế trên đường cầu. tiếp.
- Đường cầu thay đổi vị trí: (1)dốc hơn;
- Đường cầu không thay đổi vị trí
(2) thoải hơn; (3) dịch sang phải; (4) dịch sang trái.
- Các đồ thị sau minh hoạ cho sự di chuyển và sự dịch chuyển của đường cầu:
Hình 1. Sự di chuyển của cầu Hình 2. Sự dịch chuyển của đường cầu 6
Câu 4: Khái niệm cung hàng hóa và dịch vụ. Sự di chuyển và dịch chuyển của cung.
Phân biệt sự di chuyển và dịch chuyển của cung. - Khái niệm
Cung là số lượng hàng hoá - dịch vụ mà người bán có khả năng và sẵn sàng bán ở
các mức giá khác nhau trong một thời gian nhất định (trong điều kiện các yếu tố khác không đổi).
- Sự di chuyển và dịch chuyển của cung:
Cung phản ánh mối quan hệ giữa giá và lượng cung. Một sự thay đổi của giá sẽ làm
cho lượng cung thay đổi, nhưng không có sự thay đổi của cung, người ta gọi là sự di chuyển
hay vận động dọc trên đường cung. Còn sự thay đổi của các biến khác ngoài giá bản thân
hàng hoá sẽ làm cho cung thay đổi. Lúc này đường cung thay đổi vị trí của mình. Đường
cung có thể dốc hơn hoặc thoải hơn. Đường cung có thể dịch chuyển sang phải hoặc dịch
chuyển sang trái. Khi đó, người ta gọi là sự dịch chuyển của đường cung.
- Phân biệt sự di chuyển và dịch chuyển của cung: Sự di chuyển Sự dịch chuyển
- Sự vận động dọc đường cung là sự
- Sự dịch chuyển của đường
thay đổi của lượng cung do nhân
cung là sự thay đổi của cung
tố nội sinh gây ra (giá cả của bản
do nhân tố ngoại sinh gây ra thân hàng hoá).
(giá các yếu tố đầu vào, thuế…).
- Xuất hiện hiện tượng trượt dọc trên
- Không xuất hiện hiện tượng
đường cung từ điểm này đến điểm kế
trượt dọc trên đường cung. tiếp.
- Đường cung không thay đổi vị trí
- Đường cung thay đổi vị trí:
(1) dốc hơn; (2) thoải hơn;
(3) dịch sang phải; (4) dịch sang trái.
- Minh hoạ sự vận động và sự dịch chuyển của đường cung qua các đồ thị sau: 7
Hình 1. Sự di chuyển của cung Hình 2. Sự dịch chuyển của đường cung
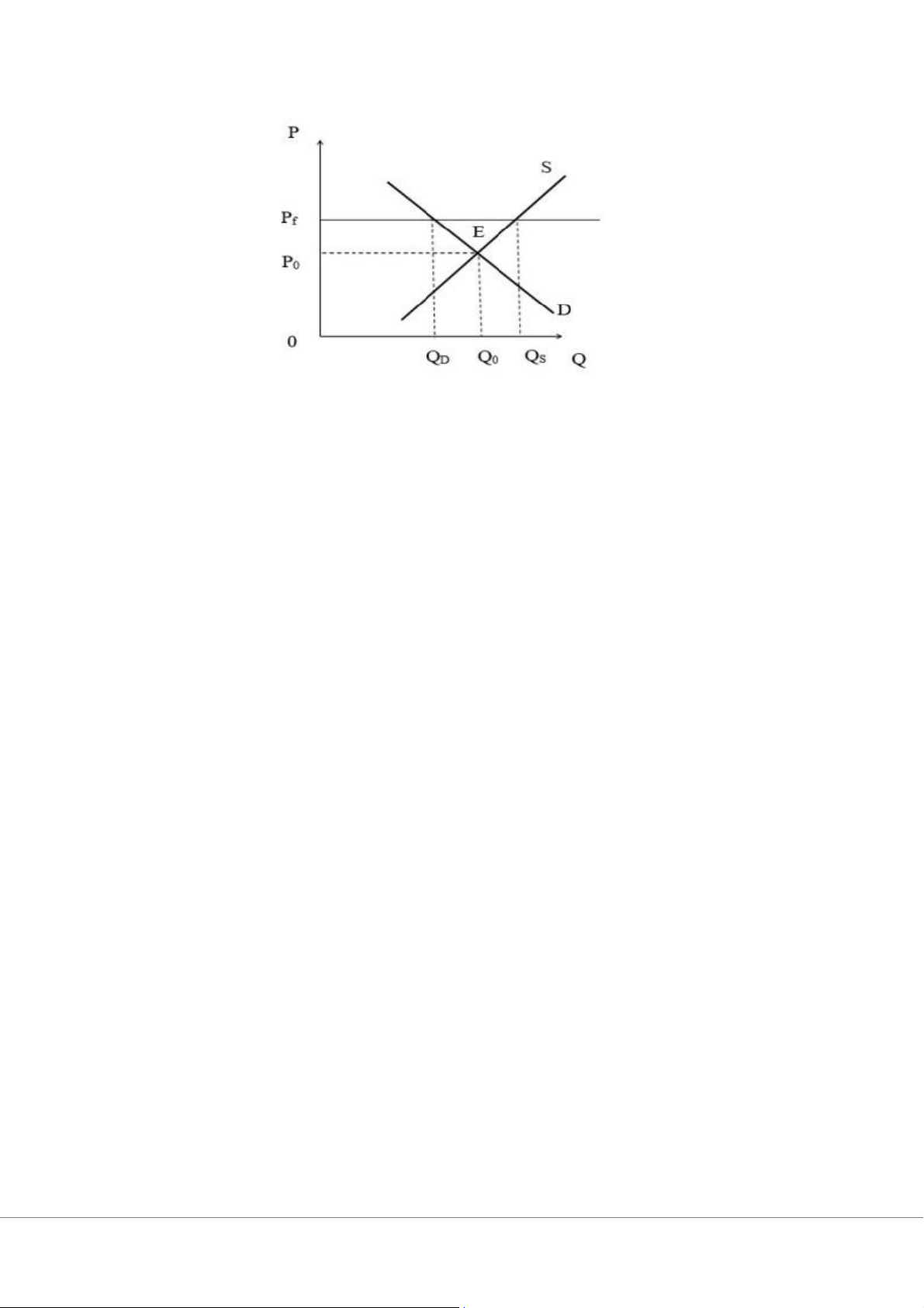
Câu 5: Khái niệm giá trần. Lấy ví dụ. Sử dụng đồ thị cung – cầu phân tích ảnh hưởng
của giá trần đến thị trường (xét trường hợp giá trần thấp hơn giá cân bằng trên thị trường).
Giá trần là mức giá cao nhất do Chính phủ quy định, các giao dịch không được phép
trao đổi ở mức giá cao hơn mức giá này.
Ví dụ, xét thị trường xăng dầu. Như chúng ta biết xăng dầu là nhóm hàng đặc biệt
quan trọng hiện nay của tất cả các ngành sản xuất. Nếu giá xăng dầu trên thị trường thế
giới quá cao, dẫn đến giá xăng trong nước cũng tăng lên đột ngột. Điều này chắc chắn sẽ
tác động tiêu cực đến toàn bộ nền kinh tế. Nhất là các nền kinh tế nhỏ bé và dễ bị tổn
thương như nền kinh tế Việt Nam. Vì vậy, nhà nước đặt ra một mức giá trần cho xăng dầu,
không cho nó vượt quá một mức giới hạn nào đó.
Khi quy định giá trần, mức giá này không được cao hơn giá thực tế giao dịch trên thị
trường thế giới. Nếu không thì việc khống chế giá trần không còn ý nghĩa quản lý của nhà
nước nữa. Nhà nước qui định giá trần nhằm bảo vệ quyền lợi của một nhóm người tiêu dùng trên thị trường.
Kết quả là mức giá trần nhà nước đặt ra thường thấp hơn mức giá cân bằng do thị
trường tự điều tiết. Lúc này thị trường xuất hiện tượng thiếu hụt hàng hoá 8 P S E P0 PT D Q Q Q S D Q0
Thị trường xảy ra thiếu hụt (do PT < P0 => Theo luật cung – cầu, lượng cung giảm,
lượng cầu tăng => QS < QD)
Câu 6. Giả định thị trường tuân theo quy luật cung – cầu
a. Anh (chị) hãy cho biết thế nào là giá trần? Nếu giá trần cao hơn giá cân bằng của
thị trường, thị trường hoạt động tại mức giá trần hay mức giá cân bằng? Tại sao?
b. Giả sử chính phủ đặt mức giá trần cho thị trường hàng X (giá trần thấp hơn mức
giá cân bằng trên thị trường tự do). Tất cả người tiêu dùng đang có nhu cầu mua X
đều mua được hàng tại mức giá trần? Chính phủ phải làm gì để đảm bảo rằng tất cả
người tiêu dùng có thể mua được lượng hàng mà họ muốn tại mức giá trần?
a. Giá trần là mức giá cao nhất do Chính phủ quy định, các giao dịch không được phép trao
đổi ở mức giá cao hơn mức giá này. 9
PC > P0 gọi là giá trần không ràng buộc => thị trường xảy ra hiện tượng dư thừa hàng hóa
=> để bán được hàng các doanh nghiệp giảm giá thấp hơn giá trần => Thị trường hoạt động tại mức giá cân bằng
b. Giả sử chính phủ đặt mức giá trần cho thị trường hàng X (giá trần thấp hơn mức giá cân
bằng trên thị trường tự do)
Do Qs < QD tại mức giá trần => thị trường thiếu hụt hàng X => chỉ có một nhóm người mua mua được.
Để đảm bảo rằng tất cả người tiêu dùng có thể mua được lượng hàng mà họ muốn tại mức
giá trần, chính phủ cần:
- Chính phủ bù đắp phần thiếu hụt
- Chính phủ trợ cấp cho người bán (tăng cung)
Câu 7: Khái niệm giá sàn. Lấy ví dụ. Sử dụng đồ thị cung – cầu phân tích ảnh hưởng
của giá sàn đến thị trường (xét trường hợp giá sàn cao hơn giá cân bằng trên thị trường).
Giá sàn là mức giá thấp nhất do Chính phủ quy định, các giao dịch không được phép
trao đổi ở mức giá thấp hơn mức giá này.
Ví dụ: nông sản khi khi được mùa, do đặc điểm của sản xuất nông nghiệp nên lúc này
cung về nông sản tăng lên đột biến. Nếu không tiêu thụ nhanh có khả năng dẫn đến hư
hỏng, không bảo quản được. Nhận biết được điều này, các thương lái đều gây sức ép để
giảm giá mạnh hàng nông sản khi được mùa. Nếu chấp nhận mức giá này, người nông dân 10
sẽ thua lỗ nặng nề khi được mùa. Vì vậy, để bảo vệ sản xuất, bảo vệ quyền lợi của người
nông dân, nhà nước có thể qui định một mức giá sàn khi thu mua nông sản.
Mức giá sàn phải cao hơn mức giá thực tế mà thị trường tự điều tiết. Có như vậy, giá
sàn mới có ý nghĩa cho công tác quản lý của nhà nước. Vì vậy, thông thường giá sàn được
qui định để nhằm bảo vệ quyền lợi của một nhóm người sản xuất (hoặc người cung ứng).
Kết quả, một mức giá sàn được đưa ra, cao hơn mức giá cân bằng sẽ làm cho thị trường dư thừa về hàng hoá. Đồ thị
Thị trường xảy ra dư thừa (do Pf > P0 => Theo luật cung – cầu, lượng cung tăng, lượng cầu giảm => QS>QD)
Câu 8. Giả định thị trường tuân theo quy luật cung – cầu
a. Anh (chị) hãy cho biết thế nào là giá sàn? Nếu giá sàn cao hơn giá cân bằng của thị
trường, thị trường hoạt động tại mức giá sàn hay mức giá cân bằng? Tại sao?
b. Giá sàn bảo vệ quyền lợi cho tất cả các nhà cung ứng và sản xuất, đúng không? Tại
sao? Để đảm bảo quyền lợi cho tất cả người bán, Chính phủ cần có hành động cụ thể gì?
a. Giá sàn là mức giá thấp nhất do Chính phủ quy định, các giao dịch không được phép
trao đổi ở mức giá thấp hơn mức giá này.
Pf > P0 => do quy định của Chính phủ, người mua không được trả giá thấp hơn Pf
cho người bán => thị trường hoạt động tại Pf mặc dù thị trường đang dư thừa hàng. 11
b. Chỉ có một nhóm người bán được hưởng lợi từ chính sách giá sàn của Chính phủ.
Do Pf > P0, lượng cung tăng nhưng lượng cầu giảm => không phải ai cũng bán được hàng ở mức giá này.
Để đảm bảo quyền lợi cho tất cả người bán, Chính phủ cần:
- Hỗ trợ tiêu thụ hàng dư thừa thông các các biện pháp tăng cầu như tìm bạn hàng
để xuất khẩu, quảng bá sản phẩm ra nước ngoài, tổ chức hội chợ bán hàng…
- Bao tiêu toàn bộ lượng hàng dư thừa
Câu 9: Trình bày khái niệm, phương trình và đặc điểm của đường ngân sách
Khái niệm đường ngân sách:
Đường ngân sách thể hiện những kết hợp hàng hoá tiêu dùng khả thi khác nhau với cùng
một mức ngân sách (chi tiêu).
Phương trình của đường ngân sách
XPx + YPy = I hoặc Y = (I/Py) – (Px/Py).X
Đặc điểm của đường ngân sách
- Độ dốc của đường ngân sách là -Px/Py. Nó hoàn toàn không phụ thuộc vào mức thu nhập
mà chỉ phụ thuộc vào tương quan giá cả (giá cả tương đối) của hai loại hàng hoá được tiêu dùng
- Giao điểm của đường ngân sách với các trục thể hiện số lượng tối đa của một loại hàng
hoá mà người tiêu dùng có thể mua được với mức thu nhập cho trước
- Những điểm nằm phía trong đường ngân sách thể hiện các kết hợp tiêu dùng khả thi
nhưng người tiêu dùng không chi tiêu hết thu nhập; những điểm nằm ngoài đường ngân
sách thể hiện các kết hợp không khả thi với người tiêu dùng (người tiêu dùng không đủ
tiền để mua các kết hợp này) 12
Câu 10: Trình bày khái niệm và các tính chất của đường bàng quan
Đường bàng quan là tập hợp các kết hợp hàng hóa mang lại cùng một mức lợi ích cho người tiêu dùng.
Đường bàng quan biểu thị những giỏ hàng hóa tiêu dùng mà người tiêu dùng ưa thích như nhau.
Các tính chất của đường bàng quan
- Các đường bàng quan cao hơn được ưa thích hơn những đường bàng quan thấp
hơn. Nói cách khác, các đường bàng quan càng xa gốc tọa độ sẽ mang lại mức lợi ích lớn
hơn cho người tiêu dùng.
- Đường bàng quan dốc xuống về bên phải, độ dốc âm. Độ dốc của đường bàng
quan phản ánh tỉ lệ thay thế cận biên. Bởi vì, nếu người tiêu dùng tăng lượng tiêu dùng
hàng hóa này thì phải giảm lượng tiêu dùng của hàng hóa còn lại để mức lợi ích là không đổi. 13
- Các đường bàng quan không cắt nhau. Chúng ta có thể giả định ngược lại, giả sử
hai đường bàng quan cắt nhau như hình hai đường bàng quan U1 và U2 cắt nhau tại C. Điểm
B nằm trên đường bàng quan U1 và điểm A nằm trên đường bàng quan U2.
- Các đường bàng quan lồi so với gốc tọa độ. Do qui luật lợi ích cận biên giảm dần
chi phối, nên người tiêu dùng thường sẵn sàng hơn trong việc từ bỏ những hàng hóa mà họ
đang tiêu dùng nhiều và ít sẵn sàng hơn trong việc từ bỏ những hàng hóa mà họ đang tiêu dùng ít. Ta có: MUX MRS X Y MU ,
. Vì vậy, dọc theo đường bàng quan khi tăng tiêu dùng hàng Y
hóa X, lợi ích cận biên của hàng hóa X (MUX) giảm, trong khi đó lượng tiêu dùng hàng
hóa Y giảm, lợi ích cận biên của hàng hóa Y (MUY) tăng. Do đó, trị số tuyệt đối của tỷ lệ
thay thế cận biên (MRSX,Y) giảm, đường bàng quan có dạng lồi so với gốc tọa độ.
Câu 11. Anh (chị) hãy trình bày các khái niệm lợi ích, lợi ích cận biên; Nêu mục tiêu
của người tiêu dùng; Các yếu tố ràng buộc ảnh hưởng đến việc ra quyết định lựa chọn
của người tiêu dùng; Và Điều kiện để tối đa hóa tổng lợi ích Khái niệm:
Lợi ích (U): Là sự hài lòng hay thoả mãn do tiêu hàng hoá, dịch vụ mang lại
Lợi ích cận biên: Là lợi ích thay đổi khi tiêu dùng thêm một đơn vị hàng hoá, dịch vụ nào
đó hay lợi ích tăng thêm do việc tiêu dùng đơn vị hàng hoá, dịch vụ cuối cùng mang lại.
Mục tiêu của người tiêu dùng 14 Tối đa hoá lợi ích
Trong điều kiện chịu ràng buộc về thu nhập và giá cả hàng hóa (cho trước)
Các yếu tố ràng buộc ảnh hưởng đến việc ra quyết định lựa chọn của người tiêu dùng:
Sở thích: được thể hiện bởi hàm lợi ích
Thu nhập: được thể hiện bằng lượng tiền mà người tiêu dùng có
Giá cả của các hàng hoá được mua (tiêu dùng)
Điều kiện để tối đa hóa tổng lợi ích:
ĐK để tối đa hoá hoá tổng lợi ích: Lợi ích cận biên tính trên 1 đơn vị tiền tệ chi cho mọi
hàng hoá và dịch vụ đều bằng nhau
Hệ phương trình (1), (2) phải thỏa mãn: (1) . . MU x MUy MUz Px Py Pz Và: (2) I = X.Px+ Y.Py
Câu 12. Anh (chị) hãy trình bày khái niệm đường ngân sách, đường bàng quan. Cách
thức kết hợp đường ngân sách và đường bàng quan để xác định lựa chọn tối ưu của người tiêu dùng
Khái niệm đường ngân sách
Đường ngân sách thể hiện những kết hợp hàng hoá tiêu dùng khả thi khác nhau với cùng
một mức ngân sách (chi tiêu).
Khái niệm đường bàng quan
Đường bàng quan thể hiện những kết hợp hàng hoá khác nhau mang lại cùng một mức lợi ích
Cách thức kết hợp đường ngân sách và đường bàng quan để xác định lựa chọn tối ưu của người tiêu dùng
Lựa chọn của người tiêu dùng để tối đa hoá lợi ích: Kết hợp hàng hoá mà tại đó đường
ngân sách tiếp xúc với đường bàng quan
Phải thỏa mãn hệ phương trình:
Trên đồ thị điểm tiêu dùng tối ưu là điểm C: 15
Câu 13: Giả sử lao động (L) là yếu tố đầu vào sản xuất biến đổi của một doanh nghiệp trong ngắn hạn.
a. Trình bày khái niệm và cách tính sản phẩm bình quân của lao động (APL), sản
phẩm cận biên của lao động (MPL).
b. Phân tích mối quan hệ giữa sản phẩm cận biên của lao động (MPL) và sản phẩm
bình quân của lao động (APL).
c. Phân tích mối quan hệ giữa sản phẩm cận biên của lao động (MPL) và tổng sản phẩm (Q)
a. Khái niệm và cách tính sản phẩm bình quân, sản phẩm cận biên
Sản phẩm bình quân của một đầu vào là tỷ số giữa lượng sản phẩm sản xuất ra và
lượng lao động đầu vào được sử dụng để sản xuất ra lượng sản phẩm đó.
Công thức tính: APL = Q/L
Sản phẩm cận biên theo lao động là lượng sản phẩm thay đổi khi sử dụng thêm một
1 đơn vị lao động đầu vào.
Công thức tính: MPL= Q/ L
b. Mối quan hệ giữa MPL và APL MPL > APL: APL đang tăng
MPL < APL: APL đang giảm
MPL = APL: APL đạt cực đại 16
c. Mối quan hệ giữa MPL và Q MPL > 0: Q đang tăng MPL < 0: Q đang giảm
MPL = 0: Q đạt cực đại
Câu 14. Anh (chị) hãy trình bày khái niệm đường đồng phí, đường đồng lượng. Cách
thức kết hợp đường đồng phí và đường đồng lượng để xác định mức kết hợp đầu vào tối ưu.
Khái niệm đường đồng lượng
Đường đồng lượng biểu thị các kết hợp đầu vào khác nhau để sản xuất ra một lượng sản phẩm nhất định
Khái niệm đường đồng phí
Đường đồng phí biểu diễn các kết hợp đầu vào khác nhau với cùng một mức chi phí nhất định
Cách thức kết hợp đường đồng phí và đường đồng lượng để xác định mức kết hợp đầu vào tối ưu.
Lựa chọn của người sản xuất để xác định mức đầu vào tối ưu: Kết hợp các đầu vào mà tại
đó đường đồng phí tiếp xúc với đường đồng lượng
Điểm tối ưu là điểm C trên đồ thị. 17
Câu 15. a. Trình bày khái niệm tổng chi phí (TC), chi phí biến đổi (VC), chi phí cố
định (FC) và chi phí cận biên (MC).
b. Phân tích mối quan hệ giữa chi phí cận biên (MC) và tổng chi phí bình quân (AC) trong ngắn hạn.
c. Phân tích mối quan hệ giữa chi phí cận biên (MC) và tổng chi phí biến đổi bình
quân (AVC) trong ngắn hạn.
a. Tổng chi phí (TC) là giá trị thị trường của toàn bộ các yếu tố đầu vào được sử dụng để sản xuất ra sản phẩm.
Chi phí cố định (FC) là những chi phí không thay đổi khi sản lượng thay đổi.
Chi phí biến đổi (VC) là những chi phí thay đổi cùng với mức thay đổi của sản lượng
Chi phí cận biên (MC) là sự thay đổi trong tổng chi phí khi sản xuất thêm 1 đơn vị sản phẩm
b. Phân tích mối quan hệ giữa chi phí cận biên (MC) và tổng chi phí bình quân (AC) trong ngắn hạn.
MC < AC: AC đang giảm MC > AC: AC đang tăng
MC = AC: AC đạt cực tiểu
c. Phân tích mối quan hệ giữa chi phí cận biên (MC) và tổng chi phí bình quân (AVC) trong ngắn hạn.
MC < AVC: AVC đang giảm MC > AVC: AVC đang tăng
MC = AVC: AVC đạt cực tiểu
Câu 16. a. Trình bày khái niệm lợi nhuận kế toán, lợi nhuận kinh tế.
b. Lợi nhuận kinh tế lớn hơn lợi nhuận kế toán? Đúng hay Sai? Tại sao?
c. Phân tích nguyên tắc lựa chọn để đạt mục tiêu tối đa hóa lợi nhuận trong ngắn hạn của doanh nghiệp.
a. Các khái niệm lợi nhuận kế toán, lợi nhuận kinh tế.
- Lợi nhuận kế toán là phần chênh lệch giữa tổng doanh thu và chi phí kế toán
- Lợi nhuận kinh tế là phần chênh lệch giữa tổng doanh thu và chi phí kinh tế
b. Sai. Lợi nhuận kinh tế nhỏ hơn lợi nhuận kế toán
Lý do: vì chi phí kinh tế = chi phí kế toán + chi phí cơ hội
c. Nguyên tắc lựa chọn để đạt mục tiêu tối đa hóa lợi nhuận 18 Quy tắc chung: MR=MC
+ MR > MC Tăng Q; Lợi nhuận tăng
+ MR < MC Giảm Q; Lợi nhuận tăng
+ MR = MC Dừng lại; Lợi nhuận tối đa
Câu 17. Anh (chị) hãy trả lời ngắn gọn:
a. Tại sao hãng cạnh tranh hoàn hảo không có sức mạnh thị trường
b. Tại sao đường cầu về sản phẩm của hãng cạnh tranh hoàn hảo lại là một đường nằm ngang?
c. Tại sao đường doanh thu cận biên của hãng cạnh tranh hoàn hảo lại trùng với đường cầu?
a. Hãng cạnh tranh hoàn hảo không có sức mạnh thị trường vì:
- Trên thị trường CTHH có vô số người bán người mua một loại sản phẩm đồng nhất.
Mỗi hãng chỉ cung ứng một lượng rất nhỏ so với tổng cung trên thị trường.
- Việc tăng hay giảm sản lượng cung ứng của hãng không làm thay đổi giá cả thị trường
=> hãng không có khả năng chi phối thị trường và giá cả.
b. Đường cầu về sản phẩm của hãng cạnh tranh hoàn hảo lại là một đường nằm ngang:
- Do trên thị trường CTHH có vô số người bán người mua một loại sản phẩm đồng nhất,
do đó mỗi hãng chỉ cung ứng một lượng rất nhỏ so với tổng cung trên thị trường
- Hãng có thể bán tất cả sản lượng của mình ở mức giá hiện hành mà không cần phải
giảm giá nên cầu về sản phẩm của hãng là đường nằm ngang
c. Đường doanh thu cận biên của hãng cạnh tranh hoàn hảo lại trùng với đường cầu, vì:
Đường cầu của hãng cạnh tranh hoàn hảo nằm ngang hàm ý để bán thêm 1 đơn vị sản
phẩm hãng không cần giảm giá => MR = P
Ta có: MR = TR’q = (PDQ)’Q = PD
Mà đường cầu của hãng CTHH là đường nằm ngang PD = b => MR= PD = b
Câu 18. Anh (chị) hãy trả lời ngắn gọn:
a. Tại sao mức sản lượng tối ưu được xác định theo nguyên tắc MR = MC vẫn có thể
làm cho hãng cạnh tranh hoàn hảo bị thua lỗ?
b. Tại sao dù thua lỗ nhưng hãng cạnh tranh hoàn hảo vẫn tiếp tục sản xuất khi AVCmin < P < ATCmin.
c. Tại sao hãng cạnh tranh hoàn hảo lại đóng cửa sản xuất khi P ≤ AVCmin. 19
a. Mức sản lượng tối ưu được xác định theo nguyên tắc MR = MC vẫn có thể làm cho
hãng cạnh tranh hoàn hảo bị thua lỗ, vì:
- Để tối đa hóa lợi nhuận, hãng CTHH sản xuất tại mức sản lượng tối ưu MR = MC. Mà,
MR = P => điều kiện tối đa hóa lợi nhuận của hãng là P = MC
- Hãng CTHH là người chấp nhận giá thị trường => Giá thị trường có thể tăng hoặc giảm.
Trong trường hợp giá giảm nhỏ hơn AC min, hãng CTHH bị lỗ.
b. Mặc dù thua lỗ Hãng cạnh tranh hoàn hảo vẫn tiếp tục sản xuất khi AVCmin < P < ATCmin, vì:
- Nếu hãng đóng cửa sản xuất, hãng sẽ lỗ toàn bộ chi phí cố định
- Nếu hãng tiếp tục sản xuất tại mức sản lượng có P = MC. Tại đó, giá bán nhỏ hơn ATC
nên hãng bị lỗ, nhưng vẫn lớn hơn AVC => mức giá này, doanh thu bù đắp được toàn bộ
VC và bù đắp được 1 phần FC => hãng bị lỗ 1 phần nhỏ hơn FC.
c. Hãng cạnh tranh hoàn hảo đóng cửa sản xuất khi P ≤ AVCmin, vì:
- Nếu hãng tiếp tục sản xuất, hãng sẽ sản xuất mức sản lượng Q mà tại đó P = MC.
- Ở mức sản lượng này, giá bán thấp hơn AVC nên doanh thu của hãng không đủ bù đắp
chi phí biến đổi => khi P ≤ AVCmin, nếu hãng tiếp tục sản xuất thì thua lỗ sẽ cao hơn
ngừng sản xuất (nếu ngừng sản xuất chỉ lỗ toàn bộ chi phí cố định)
Câu 19. Anh (chị) hãy trả lời ngắn gọn:
a. Tại sao đường cầu về sản phẩm của hãng độc quyền bán là đường cầu dốc xuống
về phía phải và tương đối ít co giãn.
b. Tại sao hãng độc quyền bán lại có sức mạnh thị trường? Sức mạnh thị trường của
hãng độc quyền bán được xác định bởi chỉ số nào?
a. Đường cầu về sản phẩm của hãng độc quyền bán là đường cầu dốc xuống về phía phải
và tương đối ít co giãn, vì:
- Trong độc quyền bán, chỉ có một hãng duy nhất cung ứng hàng hóa hoặc dịch vụ cho thị
trường, nên đường cầu của thị trường chính là đường cầu của hãng => tuân theo luật cầu.
Hàm ý, khi hãng tăng lượng hàng bán ra sẽ làm cho giá bán giảm xuống.
- Trên thị trường độc quyền, chỉ có 1 người bán duy nhất một loại hàng hóa nào đó =>
sản phẩm hầu như không có sản phẩm thay thế => cầu rất dốc => cầu ít co giãn
b. Hãng độc quyền bán có sức mạnh thị trường, chỉ số đo sức mạnh thị trường của hãng
độc quyền bán: 20