
















Preview text:
CHƯƠNG 1, 2, 3 KINH TẾ VI MÔ 1 – ĐỀ 1
Câu 1: Hình nào sau đây cho thấy khi thu nhập giảm, cầu về X dịch chuyển từ D1 sang D2 thì X là :
A. Hàng hóa cấp thấp B. Hàng hóa bình thường C. Hàng hóa thiết yếu D. Hàng hóa xa xỉ
Câu 2: Đường giới hạn khả năng sả n xuất: A. D c ố xu ng và ố
phản ánh sự đánh đổi trong các lựa ch n ọ B. D c
ố lên và phản ánh sự lựa ch n không gi ọ ới hạn C. D c ố xu ng và ố
phản ánh sự lựa ch n không gi ọ ới hạn D. D c
ố lên và phản ánh sự đánh đổi trong các lựa ch n ọ
Câu 3: Việc tăng mức lương lao động của các nhà s n ả xu t
ấ pizza sẽ gây ra sự dịch chuyển
từ điểm B trên đường cung S2 sang:
A. Điểm C trên đường cung S2 B. Đường cung S1 C. Đường cung S3
D. Điểm A trên đườg cung S2
Câu 4: Với c u
ầ hoàn toàn co giãn theo giá và cung dốc lên thì khi đánh thuế t/s n ả ph m ẩ :
A. Người tiêu dùng và nhà sản xuất sẽ chia đôi gánh nặng thuế B. i
Ngườ tiêu dùng sẽ không chịu bất kì gánh nặng thuế nào C. i
Ngườ tiêu dùng sẽ chịu toàn b gá ộ nh nặng thuế
D. Nhà sản xuất sẽ không chịu bất kì gánh nặng thuế nào
Câu 5: Nếu giá hàng hóa X tăng 4% làm tổng doanh thu hàng hóa X gi m ả 4% thì c u ầ về X là: A. Co giãn đơn vị B. Co giãn C. Không co giãn D. Có độ co giãn là 2
Câu 6: Giá cam tăng từ 7 đô la lên 9 đô la một kg làm tăng lượng cung cam từ 4.000 t n ấ lên 6.000 t n
ấ , theo cách tính co giãn kho n ả g thì:
A. Cầu về cam là co giãn B. Cung về cam là co giãn
C. Cầu về cam là không co giãn
D. Cung về cam là không co giãn
Câu 7: Thực tế là sự nóng lên của trái đất đang gây ra thiệt h i
ạ cho môi trường toàn c u ầ .
Một nghiên cứu về chi phí và lợi ích của việc bù đắp carbon để chống lại sự nóng lên của
trái đất là một ví dụ về: A. Kinh tế h c ọ chuẩn tắc B. Kinh tế h c ọ thực chứng C. Kinh tế lao động
D. Kinh tế thị trường tự do
Câu 8: Doanh thu của người sản xu t ấ sẽ gi m ả nếu:
A. Giá tăng và cầu là không co giãn theo giá
B. Giá tăng và cầu là co giãn theo giá
C. Thu nhập tăng và hàng hóa là cấp thấp
D. Thu nhập giảm và hàng hóa là thông thường Câu 9: Gi s ả ử gi m
ả giá của táo từ 10,5$ xu n ố g 9,5$ m i ỗ n
kg làm tăng lượ g c u
ầ từ 18,8 t n ấ
lên 21,2 tấn. Độ co giãn của cầu theo giá: A. -1,20 B. -0,80 C. -1,25 D. -8,00
Câu 10: Đường c u
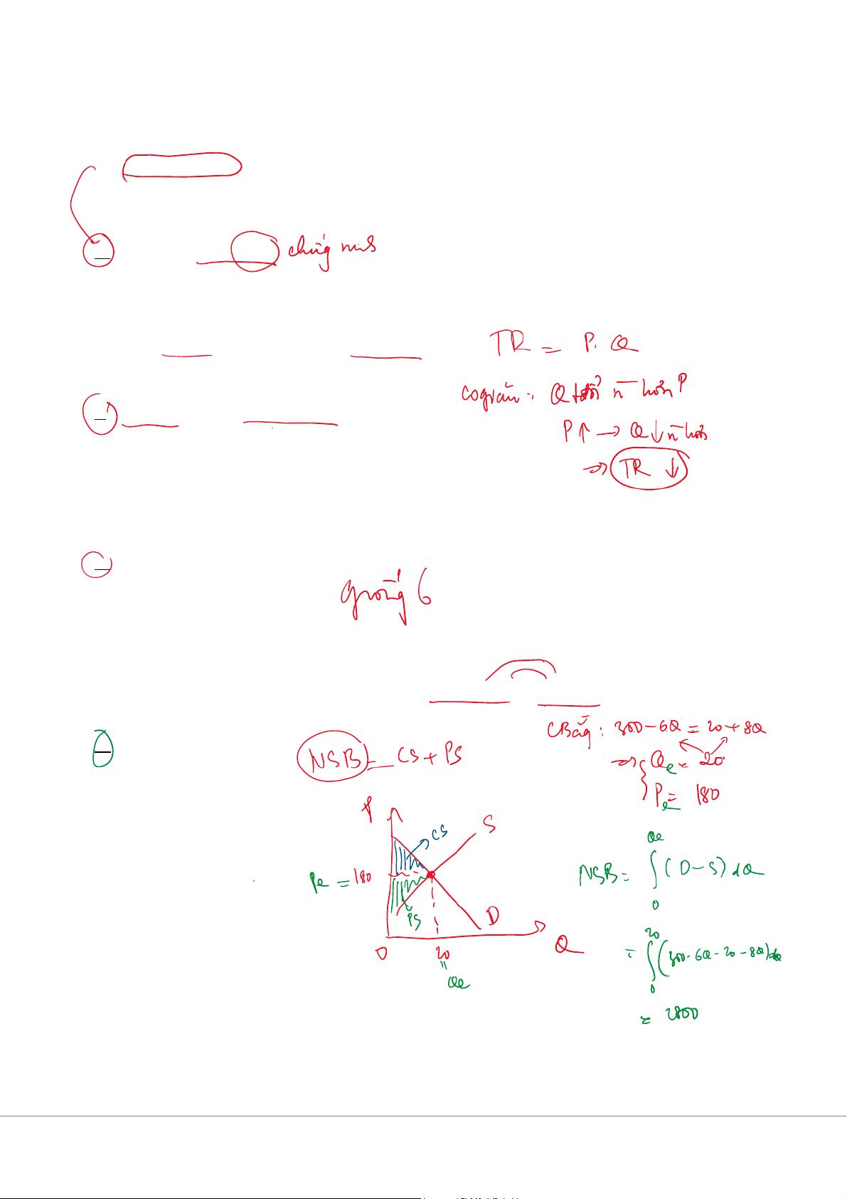
ầ và cung về hàng hóa A là PD =300-6Q và PS =20+8Q. Phúc lợi xã h i ộ ròng (NSB) t i
ạ mức giá cân b n ằ g là: A. 2.800 B. 2.400 C. 1.200 D. 1.600
Câu 11: Công ty máy tính H i
ả Anh muốn tăng lượng bán máy tính lên 5%. Nếu co giãn của
cầu theo giá của máy tính là -2,5 thì công ty phải: A. Giảm giá 0,5% B. Tăng giá 0,5% C. Giảm giá 2% D. Tăng giá 2% Câu 12: B n ả g sau cho th y k ấ
hả năng sản xuất bia và rượu ở Đức và Chile, chi phí cơ hội
của 1 thùng bia là: Đức Đức Chile Chile Bia Rượu Bia Rượu 75 0 30 0 60 15 24 6 45 30 18 12 30 45 12 18 15 60 6 24 0 75 0 30 A. 1 thùng rượu B. 5 thùng rượu C. ½ thùng rượu D. 2 thùng rượu
Câu 13: Bảng dưới thể hiện sự kết hợp s n
ả xuất trên đường giới h n ạ kh ả năng sản xu t ấ của
1 quốc gia. Chi phí cơ hội của việc s n ả xu t
ấ Y từ 16 lên 28 đơn vị là bao nhiêu? Điểm A B C D E X 0 3 6 9 12 Y 40 36 28 16 0 A. 3 đơn vị X B. 6 đơn vị X
C. Không có chi phí cơ hội D. 12 đơn vị X
Câu 14: Đường c u
ầ cà cung về hàng hóa A là PD=300-6Q và PS=20+8Q. Nếu chính phủ
đánh thuế t=28/sản phẩm bán ra thì cân bằng mới sẽ là: A. P=180 và Q=20 B. P=174 và Q=21 C. P=192 và Q=18 D. P=186 và Q=19
Câu 15: Hình dưới đây mô tả thị trường h i ả s n ả , nếu D2 n
là đườ g cầu ban đầu và người
tiêu dùng ngày càng thích ăn hải sản thì điểm cân bằng mới là? A. Điểm D B. Điểm C C. Điểm A D. Điểm B Câu 16: K
hi thị trường một hàng hóa chuyển từ điểm C sang điểm E, đã có sự:
A. Tăng cầu và tăng lượng cung
B. Giảm cung và giảm lượng cầu C. Gi ng c ảm lượ ung và giảm cầu
D. Tăng cung và tăng lượng cầu Câu 17: T i
ạ cửa hàng làm bánh, sản ph m
ẩ cận biên của lao động thứ nh t
ấ , thứ hai và thứ ba l t
ần lượ là 30, 27 và 21 chiếc bánh làm ra. T n ổ g s n
ả phẩm do 2 lao động làm ra là: A. 78 B. 17 C. 57 D. 6
Câu 18: Đường c u
ầ và cung về hàng hóa A là PD=50-2Q và PS=2+2Q. Khi Chính phủ đánh
thuế t=4/sản phẩm thì giá và s n
ản lượ g cân bằng mới là: A. P=28 và Q=11 B. P=12 và Q=26 C. P=11 và Q=28 D. P=26 và Q=12
Câu 19: Tuyến bay từ Hà Nội đến TP.HCM được nhiều hãng hàng không khai thác. Độ co giãn của c u
ầ vé máy bay của Vietnam Airlines cho tuyến đó là:
A. Co giãn và lớn hơn cầu đối với tất cả các vé cho tuyến bay đó B. Co giãn và nh
ỏ hơn cầu cho tất cả các vé cho tuyến bay đó C. Không co giãn và nh
ỏ hơn cầu về tất cả các vé cho tuyến bay đó D. Không co giãn và nh
ỏ hơn cầu về tất cả các vé cho tuyến bay đó
Câu 20: Điều nào dưới đây mô tả sự điều chỉnh của giá để h n
ạ chế dư thừa hàng hóa?
A. Nếu giá tăng, lượng cầu sẽ giảm trong khi lượng cung sẽ tăng
B. Nếu giá tăng, lượng cầu sẽ tăng trong khi lượng cung sẽ giảm
C. Nếu giá giảm, lượng cầu sẽ giảm trong khi lượng cung sẽ tăng
D. Nếu giá giảm, lượng cầu sẽ tăng trong khi lượng cung sẽ giảm
Câu 21: Độ co giãn của c u
ầ về giáo dục theo thu nhập là 3,5. Do đó, khi thu nhập tăng 4% sẽ làm:
A. Tăng lượng cầu về giáo d c ụ 4% B. Gi ng c ảm lượ ầu về giáo d c ụ 3,5% C. Gi ng c ảm lượ ầu về giáo d c ụ 14%
D. Tăng lượng cầu về giáo d c ụ 14%
Câu 22: Đường c u
ầ và cung về hàng hóa A là P
Q và PS=15+0,5Q. Co giãn của
theo giá tại điểm cân bằng là: A. -0,8 B. -1,6 C. -2,5 D. -1.5
Câu 23: Cung giảm được thể hiện b n
ằ g sự dịch chuyển từ: A. S2 đến S3
B. Điểm B đến điểm C dọc theo đường cung S2
C. Điểm B đến điểm A dọc theo đường cung S2 D. S2 đến S1
Câu 24: Kinh tế h c
ọ nghiên cứu:
A. Làm thế nào chính ph quy ủ
ết định loại hàng hóa và dịch v ụ được sản xuất B. Xã h i ộ sử d ng ngu ụ n l
ồ ực khan hiếm như thế nào C. Vai trò c a
ủ tiền tệ trong thị trường
D. Làm thế nào để đầu tư vào thị trường chứng khoán
Câu 25: Hình sau minh họa đường c u
ầ tuyến tính. Nếu giá gi m ả từ 8 xu n ố g 6: A. T ng doa ổ
nh thu sẽ không thay đổi B. T ng doa ổ nh thu sẽ tăng
C. Lượng cầu sẽ tăng ít hơn 20% D. T ng doa ổ nh thu sẽ giảm
Câu 26: Theo hình dưới đây, nếu D2 là đường cầu ban đầu và các hãng tăng cường qu n ả g cáo cho s n
ả phẩm thì điểm cân b n
ằ g mới là: A. Điểm D B. Điểm C C. Điểm B D. Điểm A
Câu 27: Hình dưới đây cho biết chi phí cơ hội khi chuyển từ điểm B sang điểm A là: A. -2/1 B. -1,5 C. -3/4 D. -20 Câu 28: Gi s
ả ử co giãn chéo giữa A và B là âm thì :
A. Giá của A tăng sẽ làm cho giá cân bằng của B tăng B. Giá c a
ủ A giảm sẽ làm cho giá cân bằng c a ủ B giảm
C. Giá của A tăng sẽ làm cho giá cân bằng của B giảm
D. Giá của A tăng sẽ không ảnh hưởng đến giá cân bằng c a ủ B
Câu 29: Biểu cầu hàng hóa A như dưới đây, nếu giá gi m ả từ 4 xu n ố g 3 thì t n ổ g doanh thu sẽ: P 8 7 6 5 4 3 Q 2 4 6 8 10 12
A. Tăng vì cầu co giãn trong khoảng này
B. Tăng vì cầu không co giãn trong khoảng này
C. Giảm vì cầu co giãn trong khoảng này
D. Giảm vì cầu không co giãn trong khoảng này
Câu 30: Với gi
ả định các yếu t
ố khác không thay đổi lu t ậ c u
ầ cho biết:
A. Giá và lượng cung có m i ố quan hệ thuận chiều
B. Giá hàng hóa càng cao thì lượng cung càng giảm
C. Giá hàng hóa càng cao thì lượng cầu càng giảm
D. Khi thu nhập tăng sẽ làm tăng khả năng thanh toán
Câu 31: Trong thực tế, nền kinh tế thị trường tự do thường t o r ạ a:
A. Công bằng nhưng không hiệu quả
B. Không hiệu quả và không công bằng
C. Hiệu quả và công bằng
D. Không công bằng nhưng hiệu quả Câu 32: Thu t
ậ ngữ thặng dư tiêu dùng biểu hiện:
A. Sự chênh lệch giữa lợi ích thu được từ việc tiêu dùng hàng hóa với chi phí để mua mỗi đơn vị hàng hóa đó
B. Lợi ích cận biên giảm dần khi tăng số lượng tiêu dùng C. T ng l ổ
ợi ích thu được từ việc tiêu dùng hàng hóa
D. Diện tích nằm dưới đường cầu
Câu 33: Đường c u
ầ và cung về hàng hóa A là PD =50-Q và PS=12,5+2Q. Thặng dư tiêu dùng t i
ạ mức giá cân b n ằ g là: A. CS=80,125 B. CS=156,25 C. CS=78,125 D. CS=76,125
Câu 34: khi đánh thuế 10% vào sữa, bia, bánh mì và thịt thì giá thay đổi như sau: Hàng hóa Sữa Bia Bánh mì Thịt Thay đổi giá +9% +5% +1% 0%
Hàng hóa nào ở trên có cầu co giãn nhất? A. Bia B. Sữa C. Thịt D. Bánh mì
Câu 35: Nếu chúng ta th y c ấ gi
ả á và lượng hàng hóa A đều giảm thì điều nào sau là đúng? A. Cung hàng hóa A tăng B. Cầu hàng hóa A giảm C. Cung hàng hóa A giảm D. Cầu hàng hóa A tăng
Câu 36: Đường c u
ầ và cung về hàng hóa A là PD=82-2Q và PS=2+2Q. Co giãn của c u ầ theo
giá tại điểm cân b n ằ g là: A. -2,1 B. 1,05 – C. -1,25 D. -0,15 Câu 37: Hà và B o m ả
ua 15 thanh socola ở cùng m t
ộ mức giá. Nếu đường c u
ầ của Hà co
giãn hơn của Bảo,thì:
A. Thặng dư tiêu dùng của Bảo lớn hơn của Hà
B. Hà sẵn sàng trả cho thanh socola cuối cùng nhiều hơn Bảo
C. Thặng dư tiêu dùng của Hà lớn hơn Bảo
D. Bảo sẵn sàng trả cho thanh socola cu i ố cùng nhiều hơn Hà
Câu 38: Điều nào dưới đây gây ra sự dịch chuyển của đường cung?
A. Thị hiếu của người tiêu dùng thay đổi
B. Công nghệ sản xuất thay đổi C. Sự xuất hiện c a
ủ người tiêu dùng mới
D. Cầu hàng hóa thay đổi
Câu 39: Đường giới h n ạ kh ả năng sản xu t
ấ là ranh giới giữa các kết hợp hàng hóa dịch vụ có thể:
A. Được sản xuất và những kết hợp không thể được sản xuất
B. Tiêu dùng và những kết hợp không thể được sản xuất
C. Sản xuất và những người có thể được tiêu dùng
D. Tiêu dùng trong nước và những kết hợp có thể được tiêu dùng bởi người nước ngoài
Câu 40: Đường c u
ầ và cung về hàng hóa A là PD=50-Q và PS=12,5+2Q. Nếu Chính phủ
đánh thuế t=3/sản phẩm bán ra thì cân bằng mới sẽ là: A. P=39,5 và Q=10,5 B. P=37,5 và Q=12,5 C. P=38,5 và Q=11,5 D. P=13,5 và 36,5
Câu 41: Khi giá tăng 1% dẫn đến tổng doanh thu tăng 1% thì cầu là:
A. Hoàn toàn không co giãn B. Co giãn đơn vị C. Co giãn D. Hoàn toàn co giãn
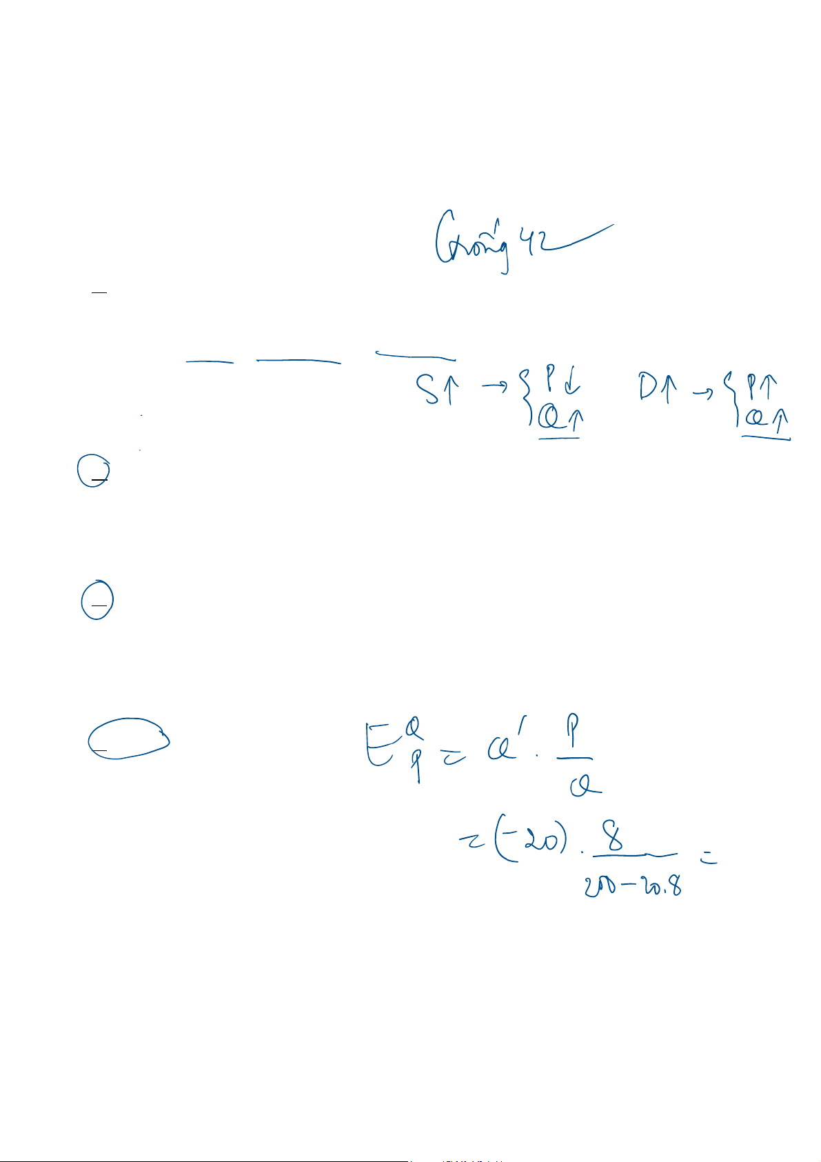
Câu 42: Đường c u
ầ và cung về hàng hóa A là PD=65-0,5Q và PS=15+0,5Q. Giá và sản lượng cân b n ằ g là: A. P=50 và Q=45 B. P=50 và Q=40 C. P=40 và Q=50 D. P=45 và Q=50
Câu 43: Nếu phần trăm giảm của giá hàng hóa A là lớn dẫn đến phầm trăm giảm trong
lượng cung hàng hóa A là nhỏ thì: A. Cung là không co giãn B. Cầu là co giãn
C. Cầu là không co giãn theo thu nhập D. Cầu là không co giãn
Câu 44: Khi thị trường một hàng hóa chuyển từ điểm C sang điểm A, đã có sự:
A. Tăng lượng cầu và tăng cung B. Tăng cầu và tăng cung
C. Tăng cầu và tăng lượng cung
D. Tăng lượng cầu và lượng cung giảm
Câu 45: Chi phí cơ hội tăng dần x y r ả
a dọc theo đường giới h n ạ kh ả năng sản xu t ấ vì:
A. Để sản xuất nhiều hơn một lượng m t
ộ hàng hóa thì phải hy sinh ngày càng ít hơn hàng hóa khác B. Ngu n l
ồ ực không có năng suất như nhau trong tất cả các hoạt động
C. Tăng nhu cầu cần phải được thỏa mãn
D. Sản xuất cần có thời gian
Câu 46: Dọc theo đường giới hạn khả năng sản xuất, chi phí cơ hội là:
A. Số lượng một hàng hóa được sản xuất ra B.
Số lượng một hàng hóa phải hi sinh để sản xuất thêm một đơn vị hàng hóa kia C. Bằng không
D. Là chi phí để sản xuất ra các kết hợp hàng hóa
Câu 47: Đường cầu và cung về hàng hóa A là: QD=100-2P và QS=2P-20. Giá và sản lượng cân bằng là: A. P=25 và Q=50 B. P=20 và Q=60 C. P=30 và Q=40 D. P=40 và Q=30
Câu 48: Nếu cả cung và cầu đều tăng thì giá thị trường có thể A. Không thay đổi B. Tăng C. Giảm
D. Tất cả các phương án trên đều đúng
Câu 49: Các nguồn lực được trao đổi trong A. Thị trường hàng hóa
B. Thị trường chứng khoán
C. Thị trường yếu tố sản xuất
D. Thị trường ngoại tệ
Câu 50: Cho hàm cầu về một loại hàng hóa A là Q = 200-20P. Hệ số co giãn của cầu theo giá với mức giá P=8 A. EP = -1 B. EP = -4 C. EP = -3 D. EP = -2