





Preview text:
lOMoAR cPSD| 47207194 BÀI TẬP
CHƯƠNG 2 – HIỆU ỨNG ĐIỆN TỬ
1. Sắp xếp tính axit giảm dần: a. (1) > (2) > (3) > c. (3) > (2) > (1) > (4) (4) b. (1) > (3) > (2) > d. (4) > (3) > (2) > (4) (1) Đáp án: b
2. Sắp xếp theo chiều mạnh dần của hiệu ứng cảm ứng dương (+I)
của các gốc alkyl sau: - CH3; -C2H5; (CH3)2CH -, -C(CH3)3
a. - CH3 < -C2H5 < (CH3)2CH - < -C(CH3)3
b. (CH3)2CH - < -C(CH3)3 < - CH3 < -C2H5
c. -C2H5< (CH3)2CH - < - CH3< -C(CH3)3
d. -C2H5 <-C(CH3)3 < (CH3)2CH - < - CH3 Đáp án: a
3. Hãy cho biết hiệu ứng nào mạnh nhất do nhóm –CN gây ra trongphân tử sau: a. - I c. - b. +R R d. +I Đáp án: c
4. Hãy cho biết hiệu ứng nào mạnh nhất do nhóm –NO2 gây ra trong phân tử sau: lOMoAR cPSD| 47207194 a. - I c. - b. +R R d. +I Đáp án: c
5. Hãy cho biết hiệu ứng nào mạnh nhất do nhóm -OH gây ra trong phân tử sau: a. - I c. -R b. +R d. +I Đáp án: b
6. Sắp xếp theo thứ tự giảm dần tính acid của các hợp chất sau đây:
FCH2COOH (1); ClCH2COOH (2); BrCH2COOH (3); ICH2COOH (4) a. (1)>(2)>(3)>(4) c. (1)>(3)>(2)>(4) b. (2)>(1)>(3)>(4) d. (4)>(3)>(2)>(1) Đáp án: a
7. Hãy sắp xếp các chất sau đây theo thứ tự tính acid giảm dần: a. (1)<(2)<(3)<(4) c. (1)>(2)>(4)>(3) b. (2)>(1>(3)>(4) d. (4)>(2)>(3)>(1) Đáp án: d
8. Dạng nào dưới đây là dạng cộng hưởng: lOMoAR cPSD| 47207194 a. (1), (3) c. (1), (3)
b. (1), (2), (3) d. (2’), (3) Đáp án: d
9. Hãy sắp xếp các chất sau đây theo thứ tự tính acid giảm dần: a. (1)>(2)>(3)>(4) c. (4)>(3)>(2)>(1) b. (2)>(1)>(3)>(4) d. (2)>(4)>(3)>(1) Đáp án: b
10. Hãy sắp xếp các chất sau đây theo thứ tự tính acid giảm dần: a. (1)>(2)>(3)>(4) c. (4)>(1)>(2)>(3) b. (1)>(3)>(2)>(4) d. (2)>(1)>(3)>(4) lOMoAR cPSD| 47207194 Đáp án: b
11. Hãy chỉ ra phần tử ‘cho’ và ‘nhận’ để hình thành liên kết cộng hóa
trị trong các phân tử sau:
a. ‘Cho’ : Cl- , H2O, NH3,
‘nhận’ : AlCl3, Cu2+, H+
b. ‘Cho’ : AlCl3, NH3, H2O, ‘nhận’ : Cl-, Cu2+, H+
c. ‘Cho’ : Cu2+, H2O, AlCl3, ‘nhận’ : NH3, Cl-, H+
d. ‘Cho’ : AlCl3, NH3, H+,
‘nhận’ : Cl-, Cu2+, H2O Đáp án: a
12. Độ mạnh acid của các chất acid formic, acid acetic, acid cloacetic
được sắp xếp theo thứ tự sau:
a. Acid formic > acid acetic > acid cloacetic
b. Acid formic < acid acetic < acid cloacetic
c. Acid acetic < acid formic < acid cloacetic
d. Acid formic > acid cloacetic > acid acetic Đáp án: d
13. Tính acid của các chất phenol, acid acetic, etanol được xếp theo thứ tự sau:
a. phenol > acid acetic > etanol
b. acid acetic > phenol > etanol
c. phenol < acid acetic < etanol
d. Cả 3 bằng nhauĐáp án: b
14. Liên kết C – Cl của chất clorurvinyl: a. liên kết đơn b. liên kết σ
c. liên kết mang một phần liên kết đôi
d. Liên kết đôiĐáp án: c
15. Sắp xếp các chất đúng theo trình tự tính acid giảm dần: a. (1)> (4)>(2)>(3) c. (3)>(4)>(1)>(2) b. (2)>(3)>(4)>(1) d. (3)>(1)>(2)>(4) lOMoAR cPSD| 47207194 Đáp án: a
16. Sắp xếp các chất đúng theo trình tự tính baz giảm dần: a. (4)>(1)>(3)>(2) c. (1)>(3)>(4)>(2) b. (3)>(4)>(1)>(2) d. (4)>(3)>(1)>(2) Đáp án: a
17. Sắp xếp các chất đúng theo trình tự tính baz giảm dần:
m- Metoxianilin (1); p-Metoxianilin (2); Anilin (3) ; m-Nitroanilin (4). a. (4)>(1)>(3)>(2) b. (2)>(1)>(3)>(4) c. (3)>(1)>(2)>(4) d. (1)>(2)>(3)>(4) Đáp án: b
18. Sắp xếp tính axit giảm dần: a. (4)>(3)>(1)>(2) b. (2)>(1)>(3)>(4) c. (2)>(1)>(4)>(3) d. (4)>(3)>(2)>(1) Đáp án: b
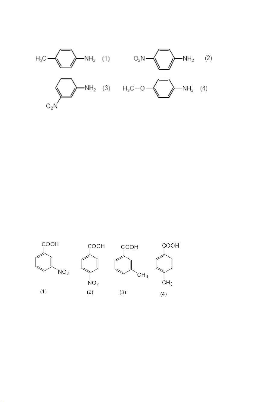
19. Sắp xếp tính bazơ giảm dần: lOMoAR cPSD| 47207194 a. (3)>(1)>(4)>(2) b. (4)>(3)>(2)>(1) c. (2)>(4)>(1)>(3) d. (1)>(2)>(3)>(4) Đáp án: a
20. Sắp xếp tính acid tăng dần: a. (4)<(3)<(1)<(2) b. (4)<(1)<(3)<(2) c. (3)<(4)<(2)<(1) d. (2)<(1)<(3)<(4) Đáp án: a
21. Tìm axit yếu nhất trong các axit sau: a. 1 b. 2 c. 3 d. 4 Đáp án: c