



















Preview text:
23.1. Sự bức xạ nhiệt
23.1.1. Các đại lượng đặc trưng của phát xạ, hấp thụ
23.1.2. Định luật Kirchhoff 23.2. Công thức Planck
23.2.1. Thuyết lượng tử của Planck 23.2.2. Công thức Planck
23.3. Các định luật phát xạ của vật đen tuyệt đối *
23.4. Thuyết photon của Einstein 23.4.1. Thuyết photon
23.4.2. Động lực học photon
23.4.3. Hiệu ứng Compton (giải thích, công thức *). hông chứng minh) ự bức xạ nhiệt
BỨC XẠ NHIỆT CÂN BẰNG Bức xạ
Sóng điện từ do các vật phát ra gọi là bức xạ Bức xạ nhiệt
Sóng điện từ do các nguyên tử, phân tử kích thích bởi
nhiệt phát ra gọi là bức xạ nhiệt.
tTất cả các chất có T > 0Kđều phát bức xạ nhiệt.
Bức xạ nhiệt cân bằng
Trong khoảng thời gian dt, năng lượng mà vật hấp thụ
được cùng bằng năng lượng mà vật phát xạ ® năng
lượng của vật không đổi. Quá trình đó được gọi là bức xạ nhiệt cân bằng.
Vật bức xạ nhiệt cân bằng thì nhiệt độ của vật không đổi ự bức xạ nhiệt
ức xạ nhiệt của thép ự bức xạ nhiệt
Các đại lượng đặc trưng của phát xạ, hấp thụ
Năng suất phát xạ toàn phần
Xét một vật bức xạ nhiệt ở nhiệt độ Tkhông đổi. dS
tTrong một đơn vị thời gian, phần tử diện tích dS của
ật phát ra một năng lượng bức xạ toàn phần là dFT dF RT = R T
T: năng suất phát xạ toàn phần dS Đơn vị: W/m2
RTcàng lớn àbức xạ toàn phần mang càng nhiều năng lượng
Năng suất phát xạ đơn sắc
Bức xạ toàn phần gồm nhiều bức xạ đơn sắc khác nhau.
Mỗi bức xạ đơn sắc có một bước sóng và mang năng lượng xác định.
Mức độ mang năng lượng của bức xạ đơn sắc được đặc trưng bởi năngsuất
phátxạđơnsắc.
FGiả sử trong một đơn vị thời gian, một bức xạ đơn sắc có bước sóng trong
hoảng (l, l+dl) do một đơn vị diện tích của vật ở nhiệt độ không đổi T, man ăng lượng dRT dR rT r T , =
l,T: năng suất phát xạ đơn sắc Đơn vị: W/ ld l
rl,T: phụ thuộc bản chất, nhiệt độ của vật, bước sóng bức xạ vật phát ra. ự bức xạ nhiệt
Các đại lượng đặc trưng của phát xạ, hấp thụ
Hệ số hấp thụ toàn phần
tTrong một đơn vị thời gian, toàn bộ năng lượng bức xạ gửi đến một đơn vị d
ch dS của vật có giá trị dFTnhưng vật chỉ hấp thụ một phần là ' dFT dF'T a =
aT: hệ số hấp thụ toàn phần ở nhiệt độ T aT< 1 Td FT
aTcàng lớn àvật càng hấp thụ nhiều năng lượng
Hệ số hấp thụ đơn sắc
Bức xạ toàn phần gửi đến gồm nhiều bức xạ đơn sắc khác nhau.
Vật hấp thụ năng lượng của các bức xạ đơn sắc khác nhau thì khác nhau
Mức độ hấp thụ năng lượng của bức xạ đơn sắc được đặc trưng bởi hệ số hấp ụ đơn sắc.
FGiả sử trong một đơn vị thời gian, một bức xạ đơn sắc có bước sóng trong
hoảng ( l, l+dl) gửi tới một đơn vị diện tích của vật một năng lượng dFl,T
hưng vật chỉ hấp thụ một phần là ' dlF ,T d ' Fl T a , = a l
l,T: hệ số hấp thụ đơn sắc ở nhiệt độ T ứng với bước sóng ,Td Fl T,
al,T< 1: phụ thuộc bản chất, nhiệt độ của vật, bước sóng bức xạ gửi tới vật. ự bức xạ nhiệt
Các đại lượng đặc trưng của phát xạ, hấp thụ Vật đen
Vật đen tuyệt đối tuyệt đối
Luôn có a l,T<1: Vật xám
Nếu a l,T=1: Vật đen tuyệt đối
Vật đen tuyệt đối là vật hấp thụ hoàn toàn năng
lượng của mọi chùm bức xạ chiếu tới.
a l,Tcủa vật đen tuyệt đối không phụ thuộc bước
sóng của chùm bức xạ và nhiệt độ của vật.
Thực tế không có vật đen tuyệt đối chỉ có những vật
ó tính chất gắn với vật đen tuyệt đối
FMô hình vật đen tuyệt đối: hộp kín cách nhiệt, bên trong
ược phủ lớp hấp thụ màu đen, có một lỗ nhỏ Þbức xạ qua
vào bên trong bị phản xạ liên tiếp trên thành hộp, mỗi lần
hản xạ năng lượng bị hấp thụ một ít Þsau nhiều lần bức xạ
oi như bị hấp thụ hoàn toàn trước khi lọt ra ngoài.
han hoạt tính: a » 0,96 Bồ hóng:a » 0, 95 l T l T ự bức xạ nhiệt
Định luật Kirchhoff Nội dung:
Tỷ số giữa năng suất phát xạ đơn sắc và hệ số
p thụ đơn sắc của một vật ở một nhiệt độ nhất
nh là một hàm chỉ phụ thuộc bước sóng bức xạ và
iệt độ mà không phụ thuộc vào bản chất của vật. r ( , l T) e (l, T) = a(l,T)
e(l,T) là hàm phổ biến T1> T2 3
> T >T4> T5
ØVật đen tuyệt đối:
a(l, T)=1Þr( l, T)= e (l, T)
Hàmphổbiếnlànăngsuấtphátxạ
ơnsắccủavậtđentuyệtđốiứngvới ,T)
ứcxạbướcsóng l vànhiệtđộ T e (l ự bức xạ nhiệt
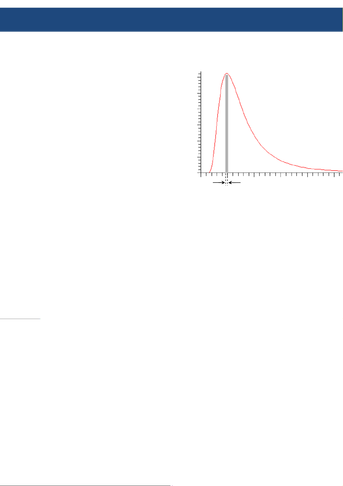
Đặc trưng phổ phát xạ của vật đen tuyệt đối (VĐTĐ)
Đường cong biểu diễn sự phụ
thuộc của hệ số phát xạ đơn sắc , T) l e (
(l,T)của VĐTĐ theo bước sóng e
l ở nhiệt độ xác định.
.tTrị số năng suất phát xạ đơn sắc
của VĐTĐ deT= el ,T.d l được xác
định bởi phần diện tích tương ứng
phạm vi bước sóng lÖl +dl của chùm bức xạ đơn sắc dl
.tNăng suất phát xạ toàn phần của VĐTĐ tương ứng tất cả các chùm bức
xạ đơn sắc trong phổ phát xạ được xác định bởi: . λ=¥ λ=¥ ε dε ε λ,T T =
dλ ò T = ò ( ) λ=0 λ=0 ự bức xạ nhiệt
ệ quả của định luật Kirchhoff r( l T , ) e ( l T
, ) = (a l T, )
l,T) = a(l,T).e (l,T)
Năng suất bức xạ của một vật tỉ lệ với hệ số hấp thụ của nó.
Ở cùng một nhiệt độ, ứng với một bước sóng xác định, vật nào hấp thu
ạnh hơn cũng bức xạ mạnh hơn Do (
a l,T)<1àr( l,T) = a(l,T).e (l,T) < r(l, T)VĐTĐ= 1. e (l,T)VĐTĐ
Sự phát xạ của một vật ứng với một bước sóng xác định bao giờ cũng yếu
n sự phát xạ của vật đen tuyệt đối ứng với cùng bước sóng đó và ở cùng iệt độ với vật.
cùng nhiệt độ khá cao (>500oC) để mọi vật có thể phát sáng àvật đen tuyệt
i sáng nhất; vật trong suốt, vật tán xạ hay vật phản xạ mạnh là tối hơn cả
l,T) = a(l,T).e (l,T) = a(l,T).r(l,T)VĐTĐ
Năng suất bức xạ của một vật bằng năng suất bức xạ của vật đen tuyệt đối
ân với hệ sô hấp thụ của vật.
Muốn một vật phát ra một bức xạ thì vật phải có khả năng hấp thụ bức xạ ấy
ng thời bức xạ ấy phải được vật đen tuyệt đối phát ra ở cùng một nhiệt độ vớ
Ở nhiệt độ thường e (l, T) = 0 Þvật không thể phát ra bức xạ thấy được
o vật đen tuyệt đối không phát bức xạ ở nhiệt độ thường).
Các vật sẽ phát sáng ở nhiệt độ cao hơn so với vật đen tuyệt đối.
ác định luật phát xạ của vật đen tuyệt đối
qĐịnh luật Stefan - Boltzmann FNội dung:
tNăngsuấtphátxạtoànphầncủavậtđen tuyệtđốitỷ lệ
thuậnvớilũythừabậcbốncủanhiệtđộtuyệtđốicủavậtđó. 5 4 W m π k R 2K 8 2 σ
T= s.T4hằng số - S-B 4 = = 6 , 5 703 1 . 0 / . 2 3 15c h P: công suất bức xạ
S: diện tích bề mặt của vật Q: Năng lượng bức xạ t: thời gian bức xạ
ác định luật phát xạ của vật đen tuyệt đối qĐịnh luật Wien T1> T2 3
> T >T4> T5
Đốivớivậtđen tuyệtđối
bướcsóngcủa chùm bứcxạ đơnsắcmangnhiềunăng ,T) e (l
ượng nhấttỷlệ nghịch với
nhiệtđộ tuyệtđối của vật. b lm = T
b=2,8978.10-3m.K:hằng sốWien
ác định luật phát xạ của vật đen tuyệt đối Đinh luật Wien Cơ thể người T = 310K: lm b = 9,3µmàtia hồng ngoại l
Dây tóc bóng đèn T = 3000K: m = T lm= 1,1µmàtia hồng ngoại Mặt trời T = 6000K: lm= 0,48µmàánh áng vàng
T = 107K: lm= 0,03Å àtia phóng xạ 6000K 1,1µm 3000K 1,1
ác định luật phát xạ của vật đen tuyệt đối
Các định luật phát xạ của vật đen tuyệt đối
Công thức Rayleigh-Jeans 2 c p 2 2 pn
FHệ sô phát xạ đơn sắc đối với vật đen tuyệt đối: e (l )T ,2 = kT = 4 l c FHệ quả:
tMối quan hệ này chỉ phù hợp , T) l
thực nghiệm tương ứng với bức (e
xạ có bước sóng dài, và không
Theo công thức
phù hợp với bước sóng ngắn Rayleigh-Jeans (vùng tử ngoại)
tNăng suất phát xạ toàn phần Theo thực
ở 1 Tcố định có thể: nghiệm λ=¥ λ=¥ d ε ε(λ, ) λ T dλ 2πckT T = λ ò = 4 ® ¥ λ=0 λ=0 l
ÞVô lý do xuất phát từ vật lý cổ điển! ông thức Planck
huyết lượng tử Planck Nội dung:
Các nguyên tử và phân tử của vật chất phát xạ và hấp thụ năng lượng một cá
án đoạn, nghĩa là năng lượng do chúng phát xạ hay hấp thụ chỉ có thể bằng
ố nguyên lần của một lượng nhỏ năng lượng xác định, gọi là lượng tử (quantu c e hν h = =
(hằng số Planck: h =6,625.10-34J.s) l ông thức Planck 2 2pn hn
tHệ số phát xạ đơn sắc của vật đen tuyệt đối: e (l )T , = (*) 2 h n c kT e -
(Hằng số Boltzmann: k =1,38.10 1 -23J/K) FÝ nghĩa: h n hn 2 pn
tỞ miền tần số nhỏ, h n << kT 2 Þ ekT - » 1 Þ e (l ) T ,2 = kT kT c (công thứ R-J)
tLấy đạo hàm (*) Þcó: l.T = b (định luật Wien) ¥ ¥ p 2 n 2 hn tTừ(*) dν en e n n s TT Þò ( ) 4 T , d (định luật S-B) 2 h /kT = = c e = 0 0 huyết photon Einstein F Nội dung:
tÁnh sáng gồm những hạt rất nhỏ gọi là photon
(hay lượng tử ánh sáng), mang một năng lượng xác định, c e hν h = =
(hằng số Planck: h =6,625.10-34J.s) l
tTrong chân không cũng như trong mọi môi Albert Einstein
trường khác, photon chuyển động với cùng một (1879 – 1955)
vận tốc xác định, c = 3.108m/s
Giải Nobel Vật lý 192
tCường độ của chùm sáng tỷ lệ với số photon phát ra từ nguồn sáng trong một đơn vị thời gian
FGiải thích về giới hạn quang điện:
FGiải thích về động năng cực đại của e-quang
Fhiệu ứng quang điện xác nhận ánh hn
sáng có tính chất hạt (rời rạc) bên cạnh
tính chất sóng (liên tục) huyết photon Einstein
qĐộng lực học photon
heo thuyết tương đối Einstein, photon có khối lượng cho b h h m 2 eg = e =® m= c = m 0 với m = 2 2 c c cλ 2 1v- 2 c 2 v
m0là khối lượng nghỉ: m1 m =- 0 2 c
Đối với photon v = c. Suy ra m0= 0.
Photon luôn chuyển động với vận tốc c, do đó nó có động ượng bằng: =h p=mc l huyết photon Einstein iệu ứng Compton Hiện tượng:
Chiếu một chùm tia X, bước sóng l vào nguyên tử graphit. Cảm biến eletron Cảm biến Mẫu quang
Trong phổ tia X bị tán xạ, ngoài vạch có bước sóng l còn có vạch ứng
với bước sóng l’ > l huyết photon Einstein Giải thích: ØVạchcóbướcsóng l của tiaXdotán xạcủatiaX lên cáce-ởbêntrong(liênkết mạnhvớihạtnhân), ØVạchcóbướcsóng l’> l, dotánxạcủatiaXlêncác
e-ởbênngoài(liênkếtyếu vớihạtnhân). t !
Bướcsóng l’Îgóctánxạ p'
q đànhồicủatiaXvớicáce- trongnguyêntử. q t !
TiaXcónănglượnglớn,màe- p
cókhốilượngrấtnhỏÞđộng lượngcủae-Îvậntốc. ! pe huyết photon Einstein
ính động lượng, năng lượng, bước sóng compton: !'p
FÁp dụng cơ học tương đối tính
Þkhối lượng nghỉ của e-là m0evà q khi chuyển động là: ! m0 p mee = 2 v 1 - 2 ! c pe
FĐộng lượng và năng lượng của hệ “photon - electron”: Động lượng Năng lượng Hạt Trước va chạm Sau va chạm Trước va chạm Sau va chạm (e) (e) hν h = ' p'γ= hn h Photon = (g) v = pγ= m n h hn' c λ c λ' 2 v . m me .c 0 0 pe = Electron (e e -)0 2 2 v 2 m v e 0c 1 1 - 2 - 2 c c huyết photon Einstein electron tán xạ
heo ĐLBT động lượng !" !!" !!" Photon tới Electron PP P P = ¢ + e đứng e= mv yên
heo ĐLBT năng lượng Pho P = h/l hc m tán 22 o mc c + = + o2 l ¢ v 1 - 2 P c ¢ = h
Giải hệ hai phương trình, ta có lq Dll l ¢ =-= 2 c 2sin 2
với lc = 2,426.10-12m – bước sóng comptom