



















Preview text:
Chương 7 QUANG HỌC SÓNG
Nguyễn Xuân Thấu -BMVL 1 HÀ NỘI 2019
CHƯƠNG 7. QUANG HỌC SÓNG NỘI DUNG CHÍNH
♣ Nhắc lại một số kiến thức của quang hình học và một số khái niệm cơ bản.
♣ Hiện tượng giao thoa của 2 sóng ánh sáng kết hợp.
- Hiện tượng giao thoa do phản xạ.
- Hiện tượng giao thoa gây bởi bản mỏng.
- Ứng dụng của giao thoa.
♣ Hiện tượng nhiễu xạ ánh sáng. 2
♣ Hiện tượng phân cực ánh sáng. I. PHẦN MỞ ĐẦU
1. Khái niệm quang học
Quang học: là môn học nghiên cứu về ánh sáng và sự tương tác của
ánh sáng với các chất. Quang học cổ điển bao gồm quang học tia
(quang hình học) và quang học sóng.
Quang học tia: Nghiên cứu các hiện tượng ánh sáng dựa trên khái
niệm “tia sáng”. Ví dụ: hiện tượng khúc xạ, phản xạ, tạo ảnh qua gương, lăng kính…
Quang học sóng: Nghiên cứu các hiện tượng ánh sáng dựa trên khái 3
niệm sóng ánh sáng. Ví dụ: Giao thoa, nhiễu xạ, phân cực, tán sắc… I. PHẦN MỞ ĐẦU
2. Các thuyết về bản chất của ánh sáng:
Thuyết hạt của Newton (cuối thế kỉ 17) Ánh sáng là 1 chùm hạt
● Thuyết sóng của Huygens (cuối thế kỉ 17) Ánh sáng là sóng
● Đầu thế kỷ 19 Fresnel giải thích các hiện tượng quang học trên cơ sở
các giả thuyết sóng về ánh sáng.
● Thuyết điện từ của Maxwell (1865) Ánh sáng là sóng điện từ
● Thuyết photon của Einstein (1905) Ánh sáng có bản chất lượng tử 4 (Max Planck)
II. NHẮC LẠI MỘT SỐ KIẾN THỨC QUANG HÌNH HỌC
1. Định luật truyền thẳng ánh sáng:
Trong môi trường trong suốt đồng tính và đẳng hướng ánh sáng truyền theo đường thẳng.
2. Định luật về tác dụng độc lập của các tia sáng
Tác dụng của các chùm sáng khác nhau thì độc lập với nhau, nghĩa là tác
dụng của một chùm sáng này thì không phụ thuộc vào sự có mặt hay không của các chùm sáng khác. 5
II. NHẮC LẠI MỘT SỐ KIẾN THỨC QUANG HÌNH HỌC
3. Hai định luật của Descartes.
Khái niệm chiết suất: chiết suất là tỉ lệ giữa tốc độ truyền ánh sáng trong
chân không so với tốc độ truyền ánh sáng trong các môi trường. c n v
Khi một tia sáng tới mặt phân cách hai
môi trường trong suốt, đồng tính và đẳng
hướng thì bị tách làm hai: Tia phản xạ và
tia khúc xạ, chúng tuân theo hai định luật: 6
* Định luật 1: Tia phản xạ nằm trong mặt
phẳng tới (mặt phẳng chứa tia tới và pháp
tuyến mặt phân cách) và góc tới bằng góc phản xạ: i i 1 1
II. NHẮC LẠI MỘT SỐ KIẾN THỨC QUANG HÌNH HỌC
3. Hai định luật của Descartes.
* Định luật 2: Tia khúc xạ nằm trong
mặt phẳng tới và tỷ số giữa sin góc tới
và sin góc khúc xạ là một số không đổi: sin i n 1 2 n21 sin i n 2 1 7
II. NHẮC LẠI MỘT SỐ KIẾN THỨC QUANG HÌNH HỌC
3. Hai định luật của Descartes sin i n 1 2
Hiện tượng phản xạ toàn phần n21 sin i n 2 1 i1 i1 8 i2 i2 n 0 2 n sin i n sin90 n sini n sin i n 1 1max 2 2 1max 21 1max 21 n1
II. NHẮC LẠI MỘT SỐ KIẾN THỨC QUANG HÌNH HỌC
3. Hai định luật của Descartes
Ứng dụng của hiện tượng phản xạ toàn phần 9
II. NHẮC LẠI MỘT SỐ KIẾN THỨC QUANG HÌNH HỌC
4. Khái niệm quang lộ
Xét hai điểm A, B nằm trong môi trường đồng tính, chiết suất n, cách nhau một đoạn d.
Quang lộ giữa hai điểm A và B là: L = c.t,
trong đó t = d/v là thời gian để ánh sáng đi từ A đến B. L = n.d
Quang lộ giữa 2 điểm AB là đoạn đường ánh sáng truyền được trong chân
không trong khoảng thời gian t, trong đó t là khoảng thời gian mà ánh sáng 10
đi được đoạn AB trong môi trường
II. NHẮC LẠI MỘT SỐ KIẾN THỨC QUANG HÌNH HỌC
4. Khái niệm quang lộ
Nếu ánh sáng truyền qua các môi trường khác nhau: L nd L B n d i i L n.ds A 11
II. NHẮC LẠI MỘT SỐ KIẾN THỨC QUANG HÌNH HỌC
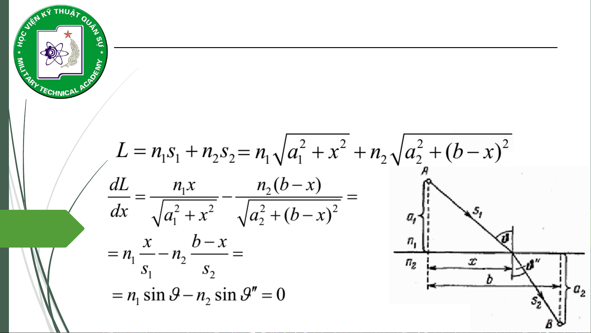
5. Nguyên lý Fermat và định lý Malus
Nguyên lý Fermat: Giữa hai điểm A và B, ánh sáng sẽ truyền theo con
đường nào mà quang lộ là cực trị.
Định lý Malus: Quang lộ của các tia sáng giữa hai mặt trực giao của một
chùm sáng thì bằng nhau (mặt trực giao là mặt vuông góc với các tia của một chùm sáng)
Đây là các phát biểu tương đương của các định luật quang hình học. 12
II. NHẮC LẠI MỘT SỐ KIẾN THỨC QUANG HÌNH HỌC
5. Nguyên lý Fermat và định lý Malus
Sự tương đương của nguyên lý Fermat với định luật phản xạ AOB AO OB A O OB A B A B O A B A O O B AO B AOB AO B Ánh sáng truyền 13 theo quang lộ cực tiểu.
II. NHẮC LẠI MỘT SỐ KIẾN THỨC QUANG HÌNH HỌC
5. Nguyên lý Fermat và định lý Malus
Sự tương đương của nguyên lý Fermat với định luật phản xạ
Xét 1 elipxoid tròn xoay, nếu đặt nguồn Xét 1 thấu kính:
sáng tại tiêu điểm F1, thì ánh sáng tập
Ánh sáng truyền theo quang trung tại F2. lộ không đổi
Ánh sáng truyền theo quang lộ cực đại 14
II. NHẮC LẠI MỘT SỐ KIẾN THỨC QUANG HÌNH HỌC
5. Nguyên lý Fermat và định lý Malus
Sự tương đương của nguyên lý Fermat với định luật khúc xạ 15
II. NHẮC LẠI MỘT SỐ KIẾN THỨC QUANG HÌNH HỌC
5. Nguyên lý Fermat và định lý Malus
Chứng minh định lý Malus
L n A I n I B n A I n I H n H B 1 1 1 1 2 1 1 1 1 1 2 1 1 2 1 1
L n A I n I B n A H n H I n I B 2 1 2 2 2 2 2 1 2 2 1 2 2 2 2 2 A I A H 1 1 2 2 H B I B 16 1 1 2 2 n sin i n sin i 1 1 2 2 L L 1 2 H I I H 2 2 1 1 n n 1 2 I I I I 1 2 1 2 n H I n I H 1 2 2 2 1 1
III. CƠ SỞ QUANG HỌC SÓNG
1. Hàm sóng của ánh sáng O M r
Giả sử tại O phương trình dao động sáng là: x = acost O
Phương trình dao động sáng tại M là: r r.n L x a cos t a cos t a cos t a cos t v v.n c 2 L 2 L a cos t a cos t 17 Tc 0
là thời gian ánh sáng truyền từ O đến M.
L = c là quang lộ giữa hai điểm OM.
là bước sóng ánh sáng trong chân không. 0
III. CƠ SỞ QUANG HỌC SÓNG
1. Hàm sóng của ánh sáng O M r Phương trình 2 L : x a cos t
gọi là hàm sóng của ánh sáng 0 18
III. CƠ SỞ QUANG HỌC SÓNG 2. Cường độ sáng
Cường độ sáng I tại một điểm là một đại lượng có trị số bằng năng lượng
ánh sáng truyền qua một đơn vị diện tích đặt vuông góc với phương
truyền sáng tại điểm đó trong một đơn vị thời gian.
Cường độ sáng tỷ lệ với bình phương biên độ: I = ka2 19
III. CƠ SỞ QUANG HỌC SÓNG
3. Nguyên lý chồng chất
Khi hai hay nhiều sóng ánh sáng gặp nhau thì từng sóng riêng biệt không
bị các sóng khác làm nhiễu loạn;
Sau khi gặp nhau, các sóng ánh sáng vẫn truyền đi như cũ;
Tại những điểm gặp nhau, dao động sáng bằng tổng hợp các dao động sáng thành phần. 20