



Preview text:
TỔ HỢP CHUYÊN TOÁN Z-MATH ➖➖➖➖➖
TÀI LIỆU VIP LƯU HÀNH NỘI BỘ CH
UYÊN ĐỀ: TỔNG QU AN VỀ KINH TẾ HỌC VĨ MÔ Nội dung Khái niệm:
Kinh tế học: là một môn khoa học xã hội, nghiên cứu xem việc lựa chọn cách sử dụng hợp lý các
nguồn lực khan hiếm để sản xuất ra các hàng hóa cần thiết và phân phối chúng cho các thành viên trong xã hội.
Kinh tế học vi mô: nghiên cứu sự hoạt động của các tác nhân trong nền kinh tế như người tiêu
dùng, hộ gia đình, doanh nghiệp, hãng sản xuất và các yếu tố tác động ảnh hưởng, các loại hình
thị trường mà các tác nhân trong nền kinh tế đang hoạt động sản xuất và kinh doanh.
Kinh tế học vĩ mô: một phân ngành của kinh tế học - nghiên cứu sự vận động và những mối
quan hệ kinh tế chủ yếu của một đất nước trên bình diện toàn bộ nền kinh tế quốc dân.
Nói cách khác, kinh tế học vĩ mô nghiên cứu sự lựa chọn của mỗi quốc gia trước những vấn đề
kinh tế và xã hội cơ bản như tăng trưởng kinh tế, lạm phát, thất nghiệp, xuất nhập khẩu hàng hóa
và tư bản, sự phân phối nguồn lực và phân phối thu nhập giữa các thành viên trong xã hội. Ngoài
ra, kinh tế học vĩ mô cũng nghiên cứu cách thức giải quyết của mỗi quốc gia trước những mối
quan hệ kinh tế chủ yếu như mối quan hệ cơ bản giữa chu kỳ kinh tế và sự thiếu hụt sản lượng,
tăng trưởng và thất nghiệp, tăng trưởng và lạm phát…
Đối tượng nghiên cứu của kinh tế học vĩ mô:
đối tượng nghiên cứu chủ yếu của kinh tế học vĩ mô bao gồm:
Thứ nhất, nghiên cứu sự lựa chọn của mỗi quốc gia trước những vấn đề kinh tế - xã hội cơ
bản như: sản lượng, tăng trưởng kinh tế, lạm phát, thất nghiệp,...
Thứ hai, kinh tế học vĩ mô tập trung nghiên cứu các vấn đề như thâm hụt ngân sách, cán
cân thanh toán, cán cân thương mại, sự dao động trong lãi suất, tỷ giá hối đoái.
Thứ ba, giải thích nguyên nhân nền kinh tế đạt được những thành công hay thất bại và
những chính sách có thể nâng cao sự thành công của nền kinh tế,...
Kinh tế học vĩ mô cung cấp những kiến thức và công cụ phân tích kinh tế một cách khách quan
tạo cơ sở để Chính phủ của mỗi nước có sự lựa chọn đúng đắn trong hoạch định các chính sách
kinh tế. Những kiến thức và công cụ phân tích này được đúc kết từ nhiều công trình nghiên cứu
và tư tưởng của nhiều nhà khoa học kinh tế phụ thuộc nhiều thế hệ khác nhau. Ngày nay chúng Trang : 1
càng được hoàn thiện và có thể mô tả chính xác hơn đời sống kinh tế vô cùng phức tạp của chúng ta.
Mục tiêu của kinh tế vĩ mô
Thành tựu kinh tế vĩ mô của một đất nước thường được đánh giá theo 3 dấu hiệu chủ yếu: Ổn
định, tăng trưởng và công bằng xã hội.
1. Mục tiêu về sản lượng : Đạt được sản lượng thực tế cao, tương ứng với mức sản lượng
tiềm năng; tốc độ tăng trưởng cao, vững chắc và đảm bảo tăng trưởng trong dài hạn.
2. Mục tiêu về việc làm: Tạo đầy đủ công ăn việc làm hay khống chế tỷ lệ thất nghiệp ở mực tự nhiên.
3. Mục tiêu về giá cả: Mức giá chúng tương đối ổn định hay tỷ lệ lạm phát vừa phải.
4. Mục tiêu kinh tế đối ngoại: Ổn định tỷ giá hối đoái; Cân bằng cán cân thanh toán quốc tế
và mở rộng chính sách đối ngoại trong ngoại giao với các nước trên thế giới;…
Công cụ kinh tế vĩ mô ( Chính sách vĩ mô )
1. Chính sách tài khóa: Có 2 công cụ chủ yếu là chi tiêu của Chính phủ và thuế nhằm
hướng nền kinh tế vào mức sản lượng và việc làm mong muốn.
2. Chính sách tiền tệ: Có 2 công cụ chủ yếu là mức cung tiền (MS) và lãi suất (r) nhằm tác
động đến đầu tư tư nhân hướng nền kinh tế vào mức sản lượng và việc làm mong muốn.
3. Chính sách thu nhập: Chính sách này sử dụng nhiều loại công cụ (giá, lương, thuế thu
nhập,…) nhằm tác động trực tiếp đến tiền công, giá cả để kiềm chế lạm phát.
4. Chính sách kinh tế đối ngoại: Chính sách này bao gồm các biên pháp giữ cho thị trường
hối đoái ổn định, các quy định về hàng rào thuế quan, các biện pháp tài chính và tiền tệ
khác, tác động vào hoạt động xuất khẩu, nhập khẩu và đầu tư nhằm ổn định tỷ giá hối đoái
và giữ cho thâm hụt cán cân thanh toán ở mức có thể chấp nhận được.
Quan hệ giữa các biến số kinh tế vĩ mô cơ bản.
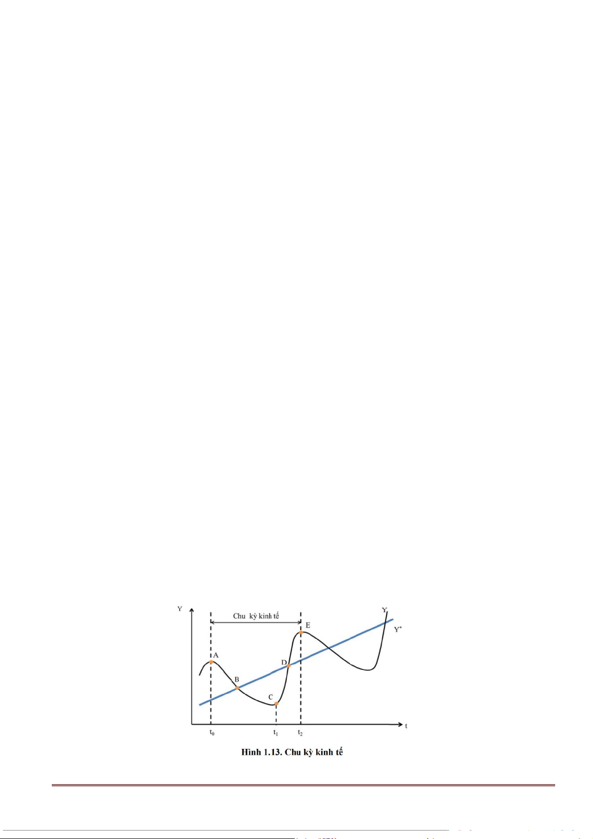
1. Chu kỳ kinh tế và sự thiếu hụt sản lượng.
Chu kỳ kinh tế: Là sự dao động của sản lượng thực (Y) (GDP/GNP thực) xung quanh xu hướng
tăng lên của sản lượng tiềm năng (Y*/Yp)
Chu kì kinh tế bao gồm: Thời kỳ hưng thịnh, suy thoái, khủng hoảng, ổn định.
Sự thiếu hụt sản lượng: Là độ lệch giữ sản lượng tiềm năng và sản lượng thực tế. Trang : 2
2. Tăng trưởng và thất nghiệp.
T ăng trưởng kinh tế: Là sự gia tăng sản lượng quốc gia thực của nền kinh tế.
Tốc độ tăng trưởng kinh tế: Là tỷ lệ phần trăm gia tăng hàng năm của sản lượng Yt Y Y
Công thức tính tốc độ tăng trường kinh tế năm t: t t 1 t gY .100 t 1
Ở mức sản lượng tiềm năng vẫn còn thất nghiệp, đó là tỷ lệ thất nghiệp tự nhiên (Un). Còn sản
lượng thực còn thất nghiệp thì gọi là tỷ lệ thất nghiệp thực (Ut) Yt Yp Ut Un Yt Yp Ut Un Yt Yp Ut Un
Khi một nền kinh tế có tỷ lệ tăng trưởng cao thì một trong những nguyên nhân quan trọng là đã
sử dụng tốt hơn các lực lượng lao động. Như vậy tăng trưởng nhanh thì thất nghiệp có xu hướng giảm đi.
Mối quan hệ giữa tỷ lệ tăng trưởng thực và tỷ lệ thất nghiệp được lượng hóa dưới tên gọi quy luật Okun
Phát biểu 1: Khi sản lượng thực tế thấp hơn sản lượng tiềm năng 2% thì thất nghiệp sẽ tăng lên 1% Công thức: Yp Yt Ut Un Yp .50
Phát biểu 2: Khi tốc độ tăng sản lượng thực tế tăng nhanh hơn tốc độ tăng sản lượng tiềm năng 2,5%
thì thất nghiệp sẽ giảm bớt 1% Công th Utức U: g00,4 p( ) Y Y Y Y V ới 0 0 g p .100; .100 pt p t 0 Y Y 0 p
Ví dụ: Năm 2010 quốc gia B có sản lượng tiềm năng là 1500 tỷ USD. Sản lượng thực là 1200 tỷ
USD, tỷ lệ thất nghiệp là 5%. Năm 2011 có SLTN là1650 tỷ USD, sản lượng thực tế là 1400 tỷ
USD. Hỏi tỷ lệ thất nghiệp năm 2011 là bao nhiêu?
Quy luật này mang tính chất gần đúng và chỉ là một nhận định khái quát về mối quan hệ giữa
tăng trưởng và thất nghiệp, ở những nước có thị trường phát triển.
3. Tăng trưởng và làm phát.
4. Lạm phát và thất nghiệp. Trang : 3