







Preview text:
14:24, 10/01/2026
Cơ sở lý thuyết I: Hướng dẫn sử dụng đồng hồ DT9205 - Studocu Cơ sở lý thuyết
I.Giới thiệu cách sử dụng đồng hồ đa năng hiện số kiểu DT9205:
Đồng hồ vạn năng hiện số là loại dụng cụ đo có độ chính xác cao và nhiều tính năng
ưu việt hơn hẳn loại đồng hồ chỉ thị kim trước đây, được dùng để đo hiệu thế và
cường độ dòng điện một chiều, xoay chiều, điện trở, điện dung của tụ điện…
Thông thường một đồng hồ vạn năng hiện số loại (3 + ½) digit có 2000 điểm đo (từ 0
đến 1999). Giả sử ta chọn thang đo hiệu thế một chiều DCV 20V, thì đại lượng :
được gọi là độ phân giải của thang đo.
Nếu hiệu thế ta đo được là U thì sai số tuyệt đối của phép đo trực tiếp đại lượng U này là: ΔU = δ(%) . U + n . a (2) Trong đó :
+U - giá trị đo được, chỉ thị trên đồng hồ
+δ (%) - cấp chính xác của thang đo
+a - độ phân giải của thang đo
+n = 1,2,3,4 .. (quy định theo từng thang đo bởi nhà sản xuất).Cách tính tương tự
đối với cáthang đo thế và dòng khác.
Các thang đo thế và dòng có độ nhạy cao nhất thường là 200mV và 200mA hoặc
2mA, được dùng để đo các hiệu thế và dòng điện một chiều rất nhỏ. Cần rất thận
trọng khi sử dụng các thang đo này. Nếu vô ý để hiệu thế hoặc dòng điện lớn gấp 5-
10 lần giá trị thang đo này, có thể gây ra hư hỏng trầm trọng cho đồng hồ. Vì vậy,
các quy tắc nhất thiết phải tuân thủ khi sử dụng đồng hồ vạn năng hiện số là:
1. Không bao giờ được phép chuyển đổi thang đo khi đang có điện ở đầu đo.
2. Không áp đặt điện áp, dòng điện vượt quá giá trị thang đo. Trường hợp đại lượng
đo chưa biết, thì hãy đo thăm dò bằng thang đo lớn nhất, rồi rút điện ra để chọn thang thích hợp.
3. Hãy rất thận trọng khi sử dụng các thang đo dòng, không để cháy cầu chì !
4. Chọn thang đo đúng, và không nhầm lẫn khi thao tác đo thế và dòng là hai yếu tố
quyết định bảo vệ an toàn cho đồng hồ. 14:24, 10/01/2026
Cơ sở lý thuyết I: Hướng dẫn sử dụng đồng hồ DT9205 - Studocu
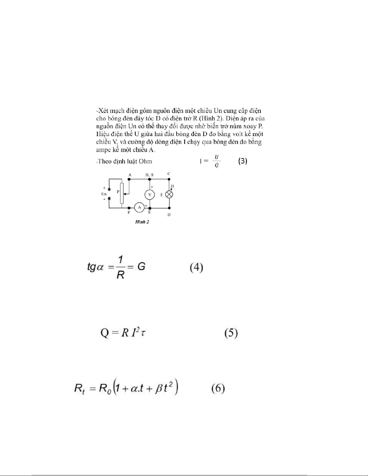
II. Khảo sát mạch điện một chiều:
-Nếu R không đổi thì I tỷ lệ bậc nhất với U. Đồ thị I =f (U) - gọi là đặc tuyến vôn-
ampe, có dạng đường thẳng qua gốc toạ độ với hệ số góc :
trong đó G là độ dẫn điện của đoạn mạch.
-Nhưng do hiệu ứng Jun-Lenxơ, lượng nhiệt Q toả ra trên điện trở R trong thời gian bằng :
-Lượng nhiệt này làm tăng nhiệt độ và do đó làm thay đổi điện trở của đoạn mạch.
Vì dây tóc bóng đèn Đ làm từ Vonfram, nên điện trở R của nó thay đổi theo nhiệt độ t :
với Rt là điện trở ở t C 0 và R 0 là điện trở ở 0 C, 0
còn α = 4,82.10-3 K-1 và β= 6,76 .10-7
K-2, là các hệ số nhiệt của điện trở của Vonfram. 14:24, 10/01/2026
Cơ sở lý thuyết I: Hướng dẫn sử dụng đồng hồ DT9205 - Studocu
-Giải phương trình (6) đối với t, cộng thêm 2730 K ta xác định được nhiệt độ tuyệt đối của dây tóc đèn: T=273+1 [√❑] 2β
III. Khảo sát mạch điện xoay chiều R-C: 14:24, 10/01/2026
Cơ sở lý thuyết I: Hướng dẫn sử dụng đồng hồ DT9205 - Studocu 14:24, 10/01/2026
Cơ sở lý thuyết I: Hướng dẫn sử dụng đồng hồ DT9205 - Studocu
IV. Khảo sát mạch điện xoay chiều R-L: 14:24, 10/01/2026
Cơ sở lý thuyết I: Hướng dẫn sử dụng đồng hồ DT9205 - Studocu 14:24, 10/01/2026
Cơ sở lý thuyết I: Hướng dẫn sử dụng đồng hồ DT9205 - Studocu 14:24, 10/01/2026
Cơ sở lý thuyết I: Hướng dẫn sử dụng đồng hồ DT9205 - Studocu