Report tài liệu
Chia sẻ tài liệu
Công thức Đạo Hàm và Ứng Dụng Thực Tế - Tài Liệu Học Tập
Công thức Đạo Hàm và Ứng Dụng Thực Tế - Tài Liệu Học Tập
Môn: Phân tích định lượng (PTDL2022) 5 tài liệu
Trường: Học viện Hàng Không Việt Nam 639 tài liệu
Tác giả:



Tài liệu khác của Học viện Hàng Không Việt Nam
Preview text:
Công thức đạo hàm u
1. Quy tắc đạo hàm: (u+v)’=u’+v’ (u-v)’= u’-v’ (uv)’ = u’v+uv’
2. Ứng dụng bài toán thực tế :
- Vận tốc của vật :v(t)
- Quãng đường vật đi trong khoản thời gian :Q(t)
- Gia tốc của vật tại thời điểm t: a(t)
=> v(t)= Q’(t) a(t)=v’(t)
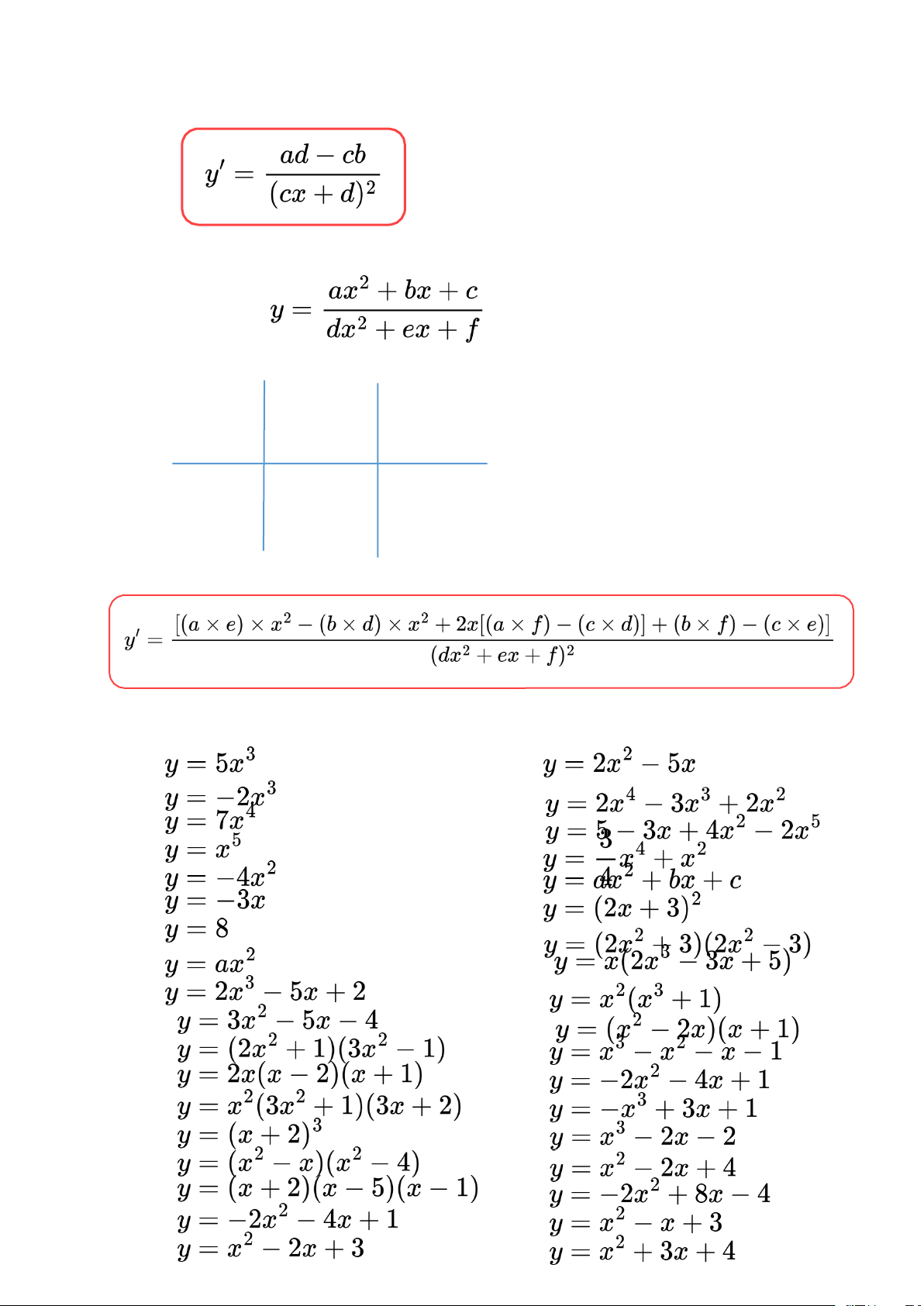
3. Công thức đạo hàm nhanh bậc 1 chia bậc 1, và bậc 2 chia bậc 2:
+ Bậc 1 chia bậc 1 có dạng : a b
Nhân chéo tính tử : a x d -c x b c d =>
+ Bậc 2 chia bậc 2 hoặc (bậc 2 chia bậc 1 hoặc bậc 1 chia bậc 2) có dạng: a b c d e f =>
I. Bài tập : Tìm đạo hàm của hàm số 1. 11. 2. 12. 3. 13. 4. 14. 5. 15. 6. 16. 7. 17. 8. 18. 9. 19. 10. 20. 21. 31. 22. 32. 23. 33. 24. 34. 25. 35. 26. 36. 27. 37. 28. 38. 29. 39. 30. 40. 1. 2. 3. 4. 5. 6. 7.
Document Outline
- Công thức đạo hàm
- 1.Quy tắc đạo hàm:
- 2.Ứng dụng bài toán thực tế :
- Nhân chéo tính tử : a x d -c x b
Tài liệu liên quan:
-
Tài liệu sưu tầm - Định lượng - BT LẦN 2
49 25 -
Bài nghiên cứu chất lượng dịch vụ & hài lòng khách hàng tại Vietnam Airlines môn Phân tích định lượng | Học viện Hàng Không Việt Nam
101 51 -
Tài liệu ôn tập - Phân tích định lượng | Học viện Hàng Không Việt Nam
475 238 -
Bộ câu hỏi trắc nghiệm 150 câu ôn tập thi kết thúc môn - Phân tích định lượng | Học viện Hàng Không Việt Nam
1.3 K 671