Report tài liệu
Chia sẻ tài liệu
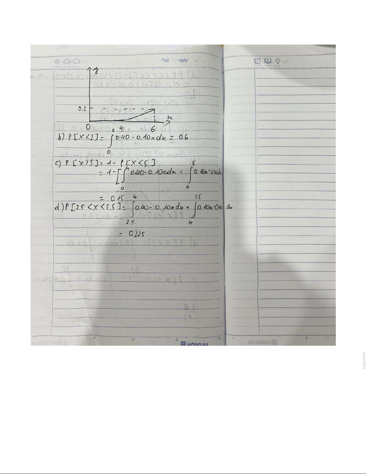
Continuous Probability Distribution Exercises - btvn môn Xác suất thống kê| Đại học Duy Tân
Continuous Probability Distribution Exercises - btvn môn Xácsuất thống kê| Đại học Duy Tân. Tài liệu giúp bạn tham khảo, ôn tập và đạt kết quả cao. Mời đọc đón xem!
Môn: Xác xuất thống kê (STA 151) 144 tài liệu
Trường: Đại học Duy Tân 2 K tài liệu
Tác giả:










Tài liệu khác của Đại học Duy Tân
Preview text:
14:06, 11/01/2026
Continuous Probability Distribution Exercises - btvn của thầy Minh - Studocu 14:06, 11/01/2026
Continuous Probability Distribution Exercises - btvn của thầy Minh - Studocu 14:06, 11/01/2026
Continuous Probability Distribution Exercises - btvn của thầy Minh - Studocu 14:06, 11/01/2026
Continuous Probability Distribution Exercises - btvn của thầy Minh - Studocu 14:06, 11/01/2026
Continuous Probability Distribution Exercises - btvn của thầy Minh - Studocu 14:06, 11/01/2026
Continuous Probability Distribution Exercises - btvn của thầy Minh - Studocu 14:06, 11/01/2026
Continuous Probability Distribution Exercises - btvn của thầy Minh - Studocu 14:06, 11/01/2026
Continuous Probability Distribution Exercises - btvn của thầy Minh - Studocu 14:06, 11/01/2026
Continuous Probability Distribution Exercises - btvn của thầy Minh - Studocu 14:06, 11/01/2026
Continuous Probability Distribution Exercises - btvn của thầy Minh - Studocu
Tài liệu liên quan:
-
Bài giảng Chương 6: Kiểm định giả thuyết thống kê môn Xác suất thống kê | Đại học Duy Tân
27 14 -
Bài giảng Chương 5. Ước lượng tham số môn Xác suất thống kê | Đại học Duy Tân
28 14 -
Bài giảng Chương 4: Thống kê mô tả môn Xác suất thống kê | Đại học Duy Tân
25 13 -
Bài giảng Chương 3. Vectơ ngẫu nhiên môn Xác suất thống kê | Đại học Duy Tân
25 13 -
Bài giảng Chương 1: Xác suất môn Xác suất thống kê | Đại học Duy Tân
26 13