Report tài liệu
Chia sẻ tài liệu
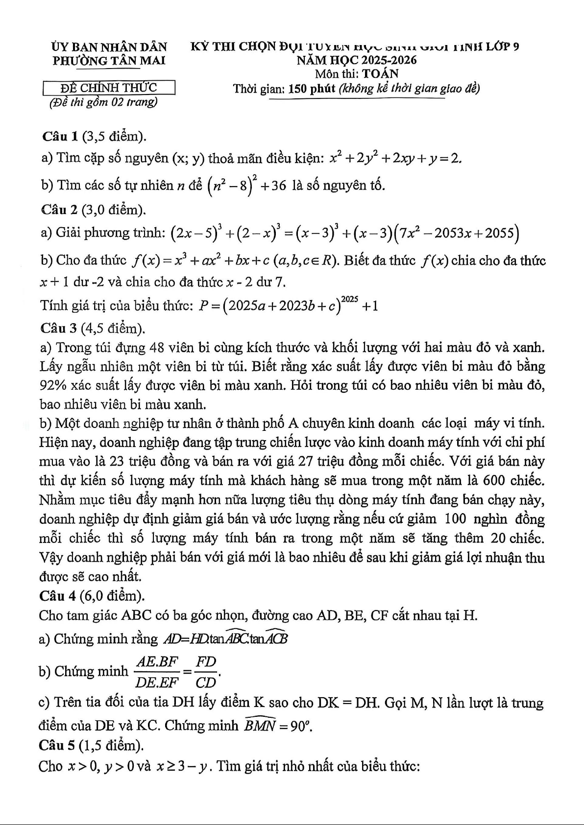
Đề chọn đội tuyển HSG Toán 9 năm 2025 – 2026 phường Tân Mai – Nghệ An
Giới thiệu đến quý thầy, cô giáo và các em học sinh đề chính thức kỳ thi chọn đội tuyển học sinh giỏi tỉnh môn Toán 9 năm học 2025 – 2026 phường Tân Mai, tỉnh Nghệ An.
Chủ đề: Đề HSG Toán 9 556 tài liệu
Môn: Toán 9 3.5 K tài liệu
Tác giả:
Tài liệu liên quan:
-
Đề thi Học sinh giỏi toán lớp 9 năm 24-25 cấp thành phố Hồ Chí Minh
12 6 -
Đề thi hsg cấp tỉnh toán 9. Năm 2022-2023 tỉnh Phú Thọ
28 14 -
Đề Thi Chọn HSG Toán 9 Xã Tam Nông 2025-2026 Có Đáp Án
64 32 -
Đề thi học sinh giỏi Toán 9 năm 2025 – 2026 xã Nghĩa Khánh – Nghệ An
134 67 -
Đề chọn học sinh giỏi Toán 9 năm 2025 – 2026 xã Phúc Thọ – Hà Nội
151 76

