Report tài liệu
Chia sẻ tài liệu
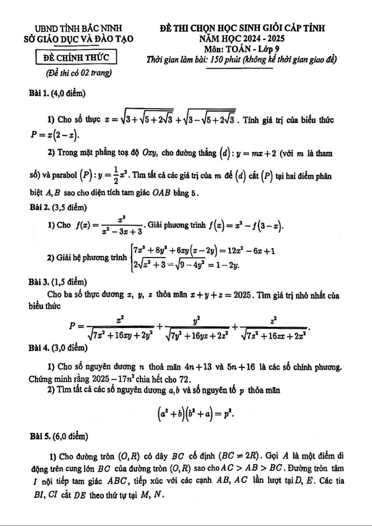
Đề chọn học sinh giỏi tỉnh Toán 9 năm 2024 – 2025 sở GD&ĐT Bắc Ninh
Giới thiệu đến quý thầy, cô giáo và các em học sinh lớp 9 đề thi chọn học sinh giỏi cấp tỉnh môn Toán 9 năm học 2024 – 2025 sở Giáo dục và Đào tạo UBND tỉnh Bắc Ninh. Đề thi gồm 02 trang, hình thức tự luận với 06 bài toán, thời gian làm bài 150 phút.
Chủ đề: Đề HSG Toán 9 563 tài liệu
Môn: Toán 9 3.6 K tài liệu
Tác giả:
Tài liệu liên quan:
-
Đề thi chọn HSG tỉnh năm học 2023-2024 môn Toán lớp 9
29 15 -
23 chuyên đề bồi dưỡng học sinh giỏi Toán lớp 9
36 18 -
Đề thi chọn học sinh giỏi tỉnh lớp 9 năm học 2025 – 2026 môn Toán
54 27 -
Bộ đề thi học sinh giỏi cấp tỉnh môn Toán lớp 9
48 24 -
Đề thi Học sinh giỏi toán lớp 9 năm 24-25 cấp thành phố Hồ Chí Minh
59 30

