Report tài liệu
Chia sẻ tài liệu
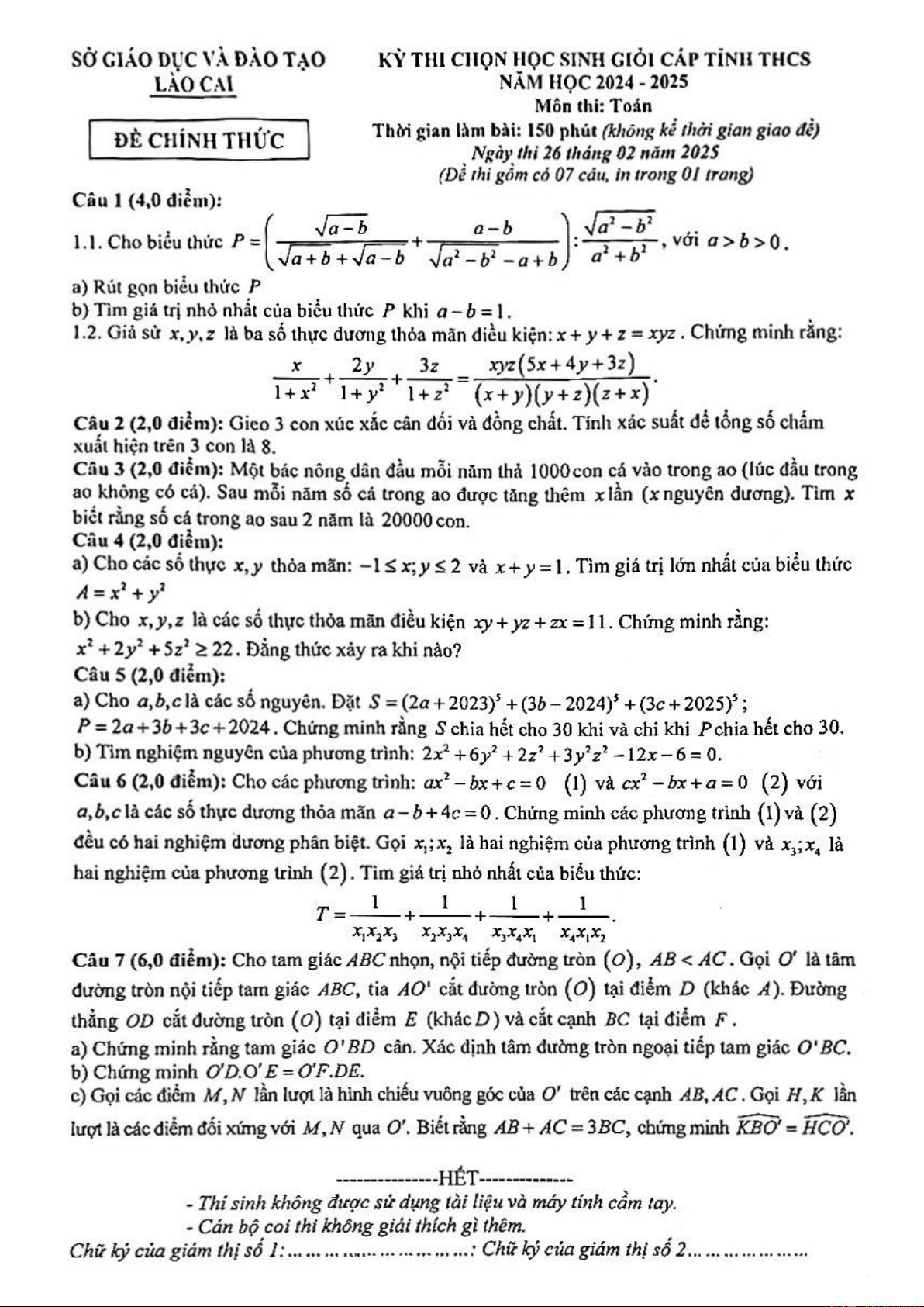
Đề chọn học sinh giỏi tỉnh Toán THCS năm 2024 – 2025 sở GD&ĐT Lào Cai
Giới thiệu đến quý thầy, cô giáo và các em học sinh lớp 9 đề thi chọn học sinh giỏi cấp tỉnh môn Toán bậc THCS năm học 2024 – 2025 sở Giáo dục và Đào tạo tỉnh Lào Cai. Kỳ thi được diễn ra vào ngày 26 tháng 02 năm 2025.
Chủ đề: Đề HSG Toán 9 563 tài liệu
Môn: Toán 9 3.6 K tài liệu
Tác giả:
Tài liệu liên quan:
-
Đề thi chọn HSG tỉnh năm học 2023-2024 môn Toán lớp 9
29 15 -
23 chuyên đề bồi dưỡng học sinh giỏi Toán lớp 9
36 18 -
Đề thi chọn học sinh giỏi tỉnh lớp 9 năm học 2025 – 2026 môn Toán
54 27 -
Bộ đề thi học sinh giỏi cấp tỉnh môn Toán lớp 9
48 24 -
Đề thi Học sinh giỏi toán lớp 9 năm 24-25 cấp thành phố Hồ Chí Minh
59 30
