Report tài liệu
Chia sẻ tài liệu
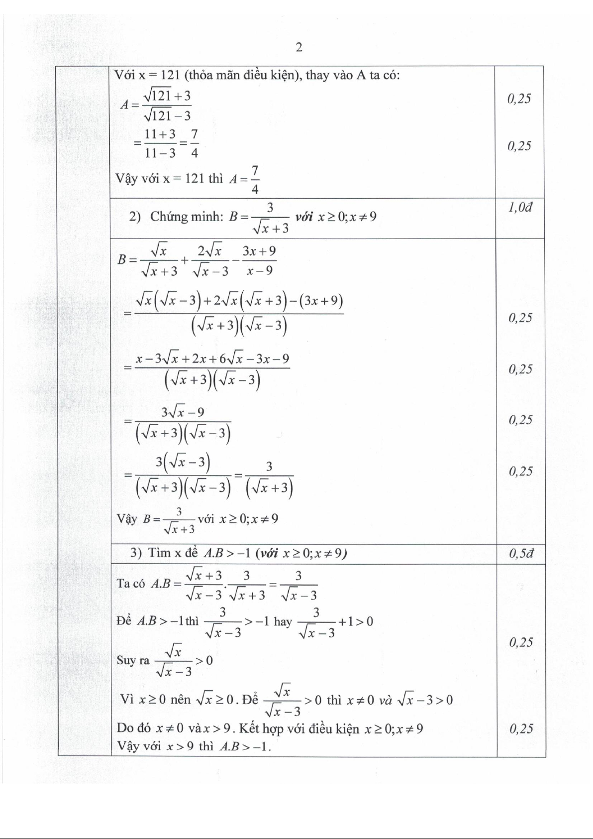
Đề cuối kì 1 Toán 9 năm 2024 – 2025 phòng GD&ĐT Hà Đông – Hà Nội
Giới thiệu đến quý thầy, cô giáo và các em học sinh lớp 9 đề kiểm tra cuối học kì 1 môn Toán 9 năm học 2024 – 2025 phòng Giáo dục và Đào tạo quận Hà Đông, thành phố Hà Nội. Đề thi có đáp án chi tiết và hướng dẫn chấm điểm.
Chủ đề: Đề HK1 Toán 9 523 tài liệu
Môn: Toán 9 3.5 K tài liệu
Tác giả:
Tài liệu liên quan:
-
Đề tham khảo cuối kỳ 1 Toán 9 năm 2024 – 2025 phòng GD&ĐT Thủ Đức – TP HCM
55 28 -
Đề tham khảo cuối kỳ 1 Toán 9 năm 2024 – 2025 phòng GD&ĐT Quận 3 – TP HCM
53 27 -
Đề tham khảo cuối kì 1 Toán 9 năm 2024 – 2025 phòng GD&ĐT Hóc Môn – TP HCM
48 24 -
Bộ đề ôn tập học kì 1 Toán 9 năm 2024 – 2025 trường THCS Nghĩa Tân – Hà Nội
80 40 -
Đề tham khảo học kì 1 Toán 9 năm 2024 – 2025 trường THCS Yên Phong – Nam Định
44 22







