Report tài liệu
Chia sẻ tài liệu
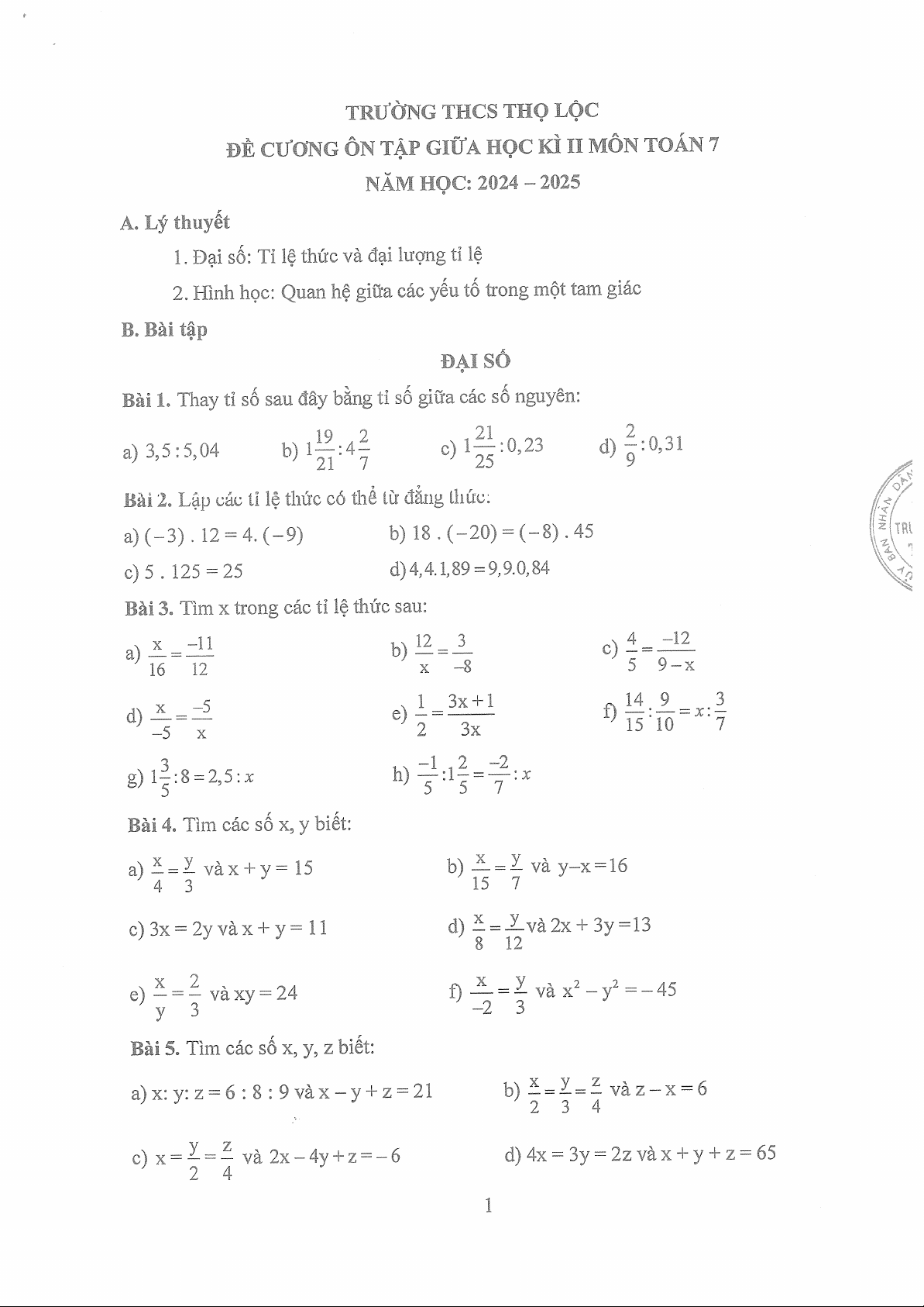
Đề cương giữa kì 2 Toán 7 năm 2024 – 2025 trường THCS Thọ Lộc – Hà Nội
Giới thiệu đến quý thầy, cô giáo và các em học sinh lớp 7 đề cương ôn tập giữa học kì 2 môn Toán 7 năm học 2024 – 2025 trường THCS Thọ Lộc, huyện Phúc Thọ, thành phố Hà Nội.
Chủ đề: Đề giữa HK2 Toán 7 172 tài liệu
Môn: Toán 7 2.7 K tài liệu
Tác giả:
Tài liệu liên quan:
-
Đề thi giữa học kì II - Đề số 2 môn Toán lớp 7
26 13 -
Đề thi giữa học kì II - Đề số 1 môn Toán lớp 7
30 15 -
Ôn tập giữa học kỳ 2 Toán 7 năm 2024 – 2025 trường THCS Thành Công – Hà Nội
88 44 -
Đề cương giữa học kì 2 Toán 7 năm 2024 – 2025 trường THCS Long Toàn – BR VT
87 44 -
Ôn tập giữa kì 2 Toán 7 năm 2024 – 2025 trường THCS Ngọc Thụy – Hà Nội
117 59




