
















Preview text:
23:04, 08/01/2026
Đề Cương Hóa Dược: Tác Dụng Thuốc Trên Hệ TKTW - Studocu
ĐỀ CƯƠNG HÓA DƯỢC
CHƯƠNG I : THUỐC TÁC SỬ DỤNG TRÊN HỆ THẦN KINH TRUNG ƯƠNG
1. Đại kim cương về hệ TKTW và hoạt động của nó
- Đặc điểm của các loài động vật bậc cao: có hệ thần kinh phát triển.
+ Hệ thần kinh điều chỉnh mọi hoạt động, đảm bảo sự cân bằng cho môi trường.
+ Hệ thần kinh kinh nghiệm phản xạ, điều hành mọi hoạt động của cơ sở.
+ Vị trí trí của Anh ta hơn kinh trung ường: nằm ở không ( không, hành không, tiểu không và công c sống).
+ Sự phân vùng theo nhiệm vụ của hệ thần kinh trung ương.
- Chu kỳ hoạt động của thần kinh:
+ Tiếp nhận kích thích (hơn kinh ngoại biên).
+ Chuyển tín hiệu về trung tâm kinh tế.
+ Xử lý thông tin, phát xạ phản xạ mới phù hợp, phản xạ có thể có ý thức và vô thức (vô thức thức).
Hướng dẫn xung quanh kinh kinh trong sợi/dây tk
Truyền dẫn thần kinh TW
2. Các loại thuốc ức chế TKTW
- Thuốc ức chế thần kinh trung làm tê danh →mê.
Mê là tê liệt có thể phục hồi.
- Liệt kê các biểu thức: Đại não, trung hành não, tiểu não, mẫu sống, hành não.
+ Tê liệt đại não → mất tri giác.
+ Tê kiếm trung hành não và tiểu não → làm đình chỉ cân bằng và điều hòa nhiệt.
+ Tê liệt cuộc sống → Quá trình phản xạ.
+ Tê danh sách hành không → liên bang hoạt sự của họ tổ chức năng sự sống như hô hấp dẫn, liên ba
thời gian, tăng cường mao mạch.
Các loại thuốc ức chế thần kinh trung ương gồm 8 nhóm sau : Thuốc gây tê.
Các loại thuốc giảm đau. Thuốc gây mê.
Các loại thuốc an thần. Thuốc gây ngủ.
Các loại thuốc xông cơ học
Thuốc chữa bệnh kinh.
Thuốc chữa bệnh Parkinson 23:04, 08/01/2026
Đề Cương Hóa Dược: Tác Dụng Thuốc Trên Hệ TKTW - Studocu
BÀI 1: THUỐC GÂY TÊ
1. Định nghĩa:Làcókhả năngphong(Đ)xekhách sạn kinh tếngoại vivề
trung quốc, làm mất cảm giác tạm thời ở một phần cơ thể, ko mất ý thức
2. Các cách gây tê : gây tê mặt và gây tê đường tiêm
3. PP gây tê: Gay tê vùng/cục, gây tê tại chỗ
- Gây tê vùng: gây tê cảm sống, gây tê ngoài cứng và phong bê thần kinh - tê tại chỗ
4. TácỨng dụng :Phonglàcon đườnghọhơnkinh ngoạivi, làmmấtcảmcảm giác tạm thời ở một phần cơ thể.
Cơ chế hoạt động: kênh truyền tk, kênh ion
5. Chỉ định: Hoànhdịch vụ cho họ ca bằng tùynhỏ, kngườitrú. VD: Tôi răng, bằng tùy chi,
trích nhọt, đau do chấn thương,…
6. Phân loại : theo 2 cách . Ứng dụng định vị: - tê - tê bề mặt
b. Theo cấu trúc hóa học:
- Giữa (- CONH): Cinchocain, Lindocain,Gravocaine, Bupivacaine - Este (–COO)....
- Khác: Dyclonine, Propiocain, Pramocain 23:04, 08/01/2026
Đề Cương Hóa Dược: Tác Dụng Thuốc Trên Hệ TKTW - Studocu MỘT. PROCAINE.HCL 1. Định tính:
P/ứu đặc biệt của nhóm amin thơm bậc I:
- Tạo muối diazoni với HNO2 rồi thổi tụ với 1 phenol tạo sản phẩm màu nito (màu đỏ):
Ar-NH 2 + NaNO 2 + 2HCl → [Ar-N+ ≡N]Cl- + NaCl + 2H 2 O
[Ar-N+ ≡N]Cl- + β-Naphtol/NaOH → màu đỏ
- Tính khử: dd/nước làm mất màu tím của KMnO4
Vớihọ nhiềuthử chung củaancaloit tạotủa: vàngvới tiếngpicric, saovới nhiều thử Bouchardat Cl- : với AgNO 3 Đo phổ IR, SKLM
Đo độ hấp thụ riêng A o hc quét phổ UV 2. Định
- Phép đo nitrit (DĐVN): dd chuẩn NaNOChỉ có màu 2 0,1N/hc - PP và axit trong m/t khan
- PP trung hòa: axit HCl kết hợp - Đo quang
Công cụ: tiêm tê, thời gian sử dụng 1 giờ 3. Tổng hợp 23:04, 08/01/2026
Đề Cương Hóa Dược: Tác Dụng Thuốc Trên Hệ TKTW - Studocu
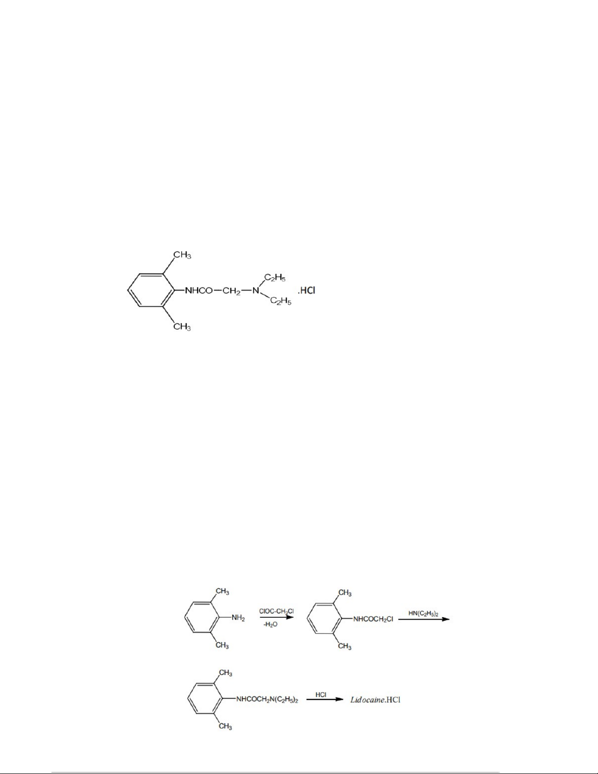
B. LIDOCAINE.HCL – xylocaine – xylotox 1. Định tính
- P/ư tạo hỗn hợp xanh với CoNO3
- P/ư tạo tủ picrat với picric axit
- Dd nước cho phản ứng của ion Cl- - Phổ IR, SKLM
- Đo độ hấp thụ riêng Ao hc quét phổ UV
2. Định lượng : Bằng pp acid-base
o Trong dm axit axetic khan; HClO4 0,1M; chỉ thị điện thế
o Hợp chất HCl, đ/lg bằng NaOH 0,1M; dm etanol 96%; chỉ định điện thế 3. Công cụ
- Tiêm tê + bề mặt : td nhanh, 65-70 phút (+ adrenaline( 120 phút) -Xáo trộn tim 4. Tổng hợp 23:04, 08/01/2026
Đề Cương Hóa Dược: Tác Dụng Thuốc Trên Hệ TKTW - Studocu
BÀI 2: THUỐC GÂY MÊ
1. Định nghĩa: Là họ chất có t/d người cAnh ta TKTW, làm mất cảm cảm giác đau, mất phản xạ trị, giãn
phần mềmcơ. Vớitrang đ/trị,nhiều koa/htới Anh tahô hấp dẫn, tuầnhoàn vàcó thểphục hồisau khi dùng thuốc
2. Chỉ định: Sử dụng thuật toán cực đoan
3. Tác dụng + cơ hội:
+ Thuốc mê tác dụng toàn cơ thể→mất hết ý thức cảm nhận; bất lực, hoàn toàn vô thức
+ Thứ tự tác dụng: vỏ não→dưới vỏ não→tủy sống
+ Trạng thái tháikhi gây phiền toái Tôi: MỘT →suynângý thức→ nâng tuần hoàn lại,hôhấp dẫn→giãnc
vận động→ mất tăng dần pxa→ vô cảm 4. Thuốc gây mê lý
- Khởi mê nhanh, nhẹ nhàng; recovery nhanh.
- Điều chỉnh lượng lớn
- Có t/d gây phiền toái Tôi đủ mạnh, giãn cơ Vận động, nâng đau; đủ dùng cho bằng thuật.
Khônga/h đến tuần hoàn, hô hấp.
- Ít độc và ít gây t/d không mong muốn
- Không có nguy cơ gây cháy, nổ; giá thành thấp
5. Phân loại gây ra mê
Thuốc gây mê đường hô hấp: Những chất giảm dễ bay hơi hc khí hóa lỏng
: ether, chloroform, enflurane, methoxyflurane, halothane, isoflurane,…
Khí hóa lỏng: Dinitrogen monoxyd
Thuốc gây Tôi Họ tiêm (TM & họ đg khác): S/d đơnđơn giản,tín nướcTôi nhưng t/dgây phiền toái mê ngắn (15')
Nhóm barbiturat: thiopental natri, thiamylat natri, methohexital natri,…
Nhóm kobarbiturat: ketamine, etomidat, propofol,… 23:04, 08/01/2026
Đề Cương Hóa Dược: Tác Dụng Thuốc Trên Hệ TKTW - Studocu
MỘT. Thiopental natri – pentothal – trapanal 1. T/c lý, Tiền:
+ Bột kt trắng, tan/EtOH, nc + IR, UV; SKLM
+ P/Ưu cụ thể của ion Na +
+ Các p/ư đ/trưng của barbiturat 2. Định hướng:
+ Hàm lượng Na + : HCl 0,1N, c/thị methyl đỏ
+ Tủa dạng axit, đ/lg = pp đo Kiềm/mt khan
3. Lưu ý: dd thiopental Na dễ dàng kết thúc tủ trở lại
4. Công dụng: Gay mê tiêm, t/d nhanh, duy trì mê ngắn 5. Tổng hợp 23:04, 08/01/2026
Đề Cương Hóa Dược: Tác Dụng Thuốc Trên Hệ TKTW - Studocu
BẢN 3: THUỐC AN THẦN GÂY NGỦ 1. Định nghĩa
Là thuốc ức chế TKTW dùng để giải quyết triệu chứng mất ngủ hoặc lo lắng bồn chồn
Căng thẳng do tâm lý mất thăng bằng nhẹ nhàng TKTW→ tạo ra giấc ngủ
An thần ⇄ Ngủ ⇄ Mê Chết → 2. Thuốc N lý
⚫ Khởi phát giấc ngủ, không gây mộng mơ sau khi ngủ
⚫ Không có tác dụng phụ suy giảm hô hấp ( cả khi dùng chung cao)
⚫ Không gây nghiện, quen thuốc ⚫ Phạm vi an toàn rộng
⚫ Không gây tương tác với các loại thuốc khác 3. Phân loại Một. chất axit barbituric b. chất benzodiazepin
c. Thuốc có cấu trúc khác
C1. Các loại thuốc nhóm ancol C2. Nhóm thuốc andehit
C3. Các nhóm thuốc dx uretan, ureit (dx axyl hóa của cacbamit) C4. Nhóm thuốc dx amit
C5. Nhóm thuốc dioxopiperidine C6. Các loại thuốc khác 23:04, 08/01/2026
Đề Cương Hóa Dược: Tác Dụng Thuốc Trên Hệ TKTW - Studocu
BẢN 4: THUỐC CHỐNG ĐỘNG KINH 1. Một số KN
- Đ óng kinh: Động kinh làhiện biểu tượng rối loạnkhoản vay tổ chức năng khônggây phiền toái ra họcTR triệu chứng thần kinh.
— Thuốc tôi đãĐK: lànhững nhiều cók/năng loạitrừ hclàm nângTần số Vì thế,mngườiđộcủa họ
nguồn động kinh hc triệu chứng tâm thần kèm theo bệnh kinh.
Cơ mode t/d củacác nhiều cmún đk còn chưa đc giải Thích đầy đủ. Nói chung họ nhiều
điều nàylàmtăngngưỡngktiện íchThíchcủahọ tếbàot/kinhởxung quanh vùnggây phiền toáirahọcTRÊNsự
kinh, decan Có thể sự lan truyền tải họ xung quanh tác bệnh lý gây phiền toái ra công ty giật lấy hc làm
điện của tế bào ở vùng tổn thương.
2. sd kinh động và thuốc
+ Thể lớn:công tygiật lấy toàn hơn,kèm theo mTại ý vậthoàntoàn, thường kéo bảo vàiphút.
Các nhiều đc dùng: barbiturat (phenobarbital), dx hydantoin, dx dibenzoazepin, axitd
valproic (hc muối natri của nó).
+ Thể nhỏ: gây phiền toái mất trí thoáng mát qua, thường khoảng cách ở trẻ em với những cơn Mở
thường dùng: dx oxazol như trimethadion, dx succinimid, natri valproat,…
+ Thể tâm thần vận động hay đk thái dương: là cơn rối loạn tâm thần, tác phong, xúc
cảm, có những tác động không điều hòa đc. Các thuốc dùng: carbamazepin, phenytoin, phenacemid
3. Yêu cầu một thuốc chữa động kinh tốt:
+ Ít tác dụng phụ và đừng gây quen thuốc hoặc gây nghiện.
+ Thuốc có tác dụng đặc hiệu là chống co giật, đừng làm mất tri giác.
+Thuốc phải hấp thu theo đường uống, có thời gian tác dụng dài.
4. Một số nguyên tắc dùng thuốc chống động kinh
‐Sd đúng loại thuốc cho từng thể bệnh, phù hợp cho từng bệnh nhân ‐Xđ liều thích hợp
‐Đtrị lâu dài, liên tục nhiều năm
‐Muốn thay đổi thuốc, không nên thay đổi đột ngột mà phải thêm dần thuốc mới cùng với giảm dần thuốc cũ
5. Các nhóm thuốc chữa đk ‐ Dxbarbituric ‐ Dxbenzodiazepin ‐ Dxhydantoin ‐ Dxoxalidon ‐ Dxsuccinimid 23:04, 08/01/2026
Đề Cương Hóa Dược: Tác Dụng Thuốc Trên Hệ TKTW - Studocu ‐ Dxacyl‐carbamid ‐ Cácdxkhác
BÀI 5: THUỐC GIẢM ĐAU VÀ THUỐC GIẢM ĐAU, HẠ SỐT, CHỐNG VIÊM 1. Đại cương -Các tác dụng gây đau.
-Chu kì xử lý của hệ thần kinh trung ương khi cơ thể bị kích thích.
-Các phương thức làm giảm đau của thuốc:
+ Làm tê liệt cảm giác của các chi (tại chỗ)
+ Làm giảm khả năng dẫn truyền của thần kinh trung ương.
+ Làm giảm độ nhạy cảm của thần kinh trung ương nâng cao mức (ngưỡng) chịu đau.
-Các nguyên nhân gây đau của cơ thể:
+ Đau do co hẹp mạch máu (thiếu oxi) (chất giãn mạch).
+ Đau do co cơ hệ thống tiêu hóa (thuốc giãn mạch)
+ Đau do cơ thể giải phóng ra oligopeptit lạ hoặc prostaglatin E1,E2.
2. Các thuốc giảm đau
Phân loại các nhóm thuốc giảm đau:
+ Giảm đau mạnh (gây nghiện) (thuốc giảm đau nhóm opioid) + Giảm đau hạ nhiệt. + Gỉam đau chống viêm.
BÀI 6: THUỐC ĐIỀU TRỊ HO VÀ THUỐC LONG ĐỜM 1. Kn chung
‐ Ho là một phản xạ bảo vệ của cơ thể cho phép đẩy ra ngoài những chất tiết của phế
quản khi hệ thống tiêu mao làm sạch chất nhầy bị biến đổi hay quá tải.
‐ Ho còn là một trong những triệu chứng của một số bệnh viêm nhiễm đường hô hấp:
viêm họng, viêm phế quản, viêm phổi 2. Cơ chế t/d:
Ức chế trung tâm ho ở hành tủy, giảm kích thích dây thần kinh và các vùng có liên quan
3. Thuốc điều trị ho, long đờm
‐ Thuốc ho: chế phẩm của thuốc phiện như codein, codethilin, narcotin và một số chất tổng hợp khác. 23:04, 08/01/2026
Đề Cương Hóa Dược: Tác Dụng Thuốc Trên Hệ TKTW - Studocu
‐ Thuốc long đờm: Natri benzoat, N‐acetylstein
BÀI 7: THUỐC ĐIỀU TRỊ RỐI LOẠN TÂM THẦN
1. Sức khỏe tâm thần
- Sức khỏe tâm thần: “là một trạng thái hoàn toàn thoải mái mà ở đó mỗi cá nhân nhận
ra khả năng của họ, có thể đối mặt với các stress thông thường của cuộc sống, làm việc
hiệuquả và năng suất và có thể cống hiến cho cộng đồng của họ”(WHO).
- Sức khoẻ tâm thần không chỉ là một trạng thái không có rối loạn hay dị tật về tâm thần,
mà còn là một trạng thái tâmthần hoàn toàn thoải mái, muốn có một trạng thái tâm
thầnhoàn toàn thoải mái thì cần phải có chất lượng nuôi sống tốt, có được sự cân bằng
và hoà hợp giữa các cá nhân, môi trường xung quanh và môi trường xã hội (Nguyễn Việt –1999).
- Thực chất sức khoẻ tâm thần ở cộng đồng là:
1. Một cuộc sống thật sự thoải mái.
2. Đạt được niềm tin vào giá trị bản thân, vào phẩm chất và giá trị của người khác.
3. Có khả năng ứng xử bằng cảm xúc, hành vi hợp lý trước mọi tình huống.
4. Có khả năng tạo dựng, duy trì và phát triển thoả đáng các mối quan hệ.
5. Có khả năng tự hàn gắn để duy trì cân bằng khi có các sự cố gây mất thăng bằng, căng thẳng (stress).
2. Định nghĩa bệnh tâm thần
Là bệnh gây ra do rối loạn hệ thần kinh tâm thần → trạng thái tâm thần mất bình thường:
- Tâm thần phấn chấn quá mức cần thiết: bị kích thích (tâm thần hưng cảm)
- Trạng thái tâm thần trầm cảm
→ cáctrạng tháitháiđiều nàypathđếnđiều khiển chỉnh lạimộtVì thếđếnvềhànhvi,vềtâmtrạng thái,
tính tình, thứ tư duy, suy nghĩ, hành sự chiếc xe xử lý Ảnh Tôi yêu đến cuộc gọi sống, nếu trạng thái t
điều nàykéo bảođược đồng xunhư mộtlohbệnh.Bệnh điều này đcchúng tôi làbệnh tâm hơnphân listLÀ
cần phải dùng thuốc để có thể khởi động lại sự cân bằng cho cơ thể.
3. Phân loại bệnh và thuốc tâm thần
Nhóm1:Thuốcngười modecỏ khôMỘTtâmhơn hcnhiềuđtrịtâm hơnHoan cảm(thuốc chống loạn thần,
thuốc trầm cảm). Loại thuốc này có tác dụng làm giảm hoạt động thần kinh.
Nhóm 2: Thuốc chống trầm cảm hc nhiều đtrị bệnh tâm hơn trầm cảm
(thuốc chống trầm cảm). Loại thuốc này có tác dụng kích thích tâm thần hoạt động tăng lên.
Nhóm 3:Thuốcđiềuhòa hoạt sựtâmhơn (chất điều hòa tuyến ức) là cơ có t/d MỘThơn
trong trạng thái kích thích hc dự phòng các rối loạn khí chất trong hưng trầm cảm.
Nhóm 4: Các chất gây phiền toái khoản vay tâm hơn (Những người mắc chứng rối loạn giấc ngủ tâm th
hoạt độngtâmhơnvàgây phiền toáiảoGiác.cđầu nàylà“ma"nóng".Bao gồmcác hợpchấtlà
dx của axit lysergic, haschisch, psilocybin, vv…. 23:04, 08/01/2026
Đề Cương Hóa Dược: Tác Dụng Thuốc Trên Hệ TKTW - Studocu
Như vậy trong đtrị, thuốc đtrị tâm thần theo trạng thái bệnh có thể chia làm 3 nhóm:
- Đtrị rối loạn tâm thần hưng cảm ( thuốc an thần, thuốc list thần)
- Đtrị tâm thần trầm cảm ( thuốc chống trầm cảm, thuốc kích thần)
- Điều hòa hoạt động tâm thần
BẢNG 8: THUỐC ĐIỀU TRỊ BỆNH PARKINSON
1. Giới thiệu về bệnh Parkinson
- Hội chứng bệnh Parkinson đc James bệnh Parkinson mô mô tả năm 1817, công chứng điều này còn
bệnhlistrung, mÓcloạibệnhhơnkinhthườngkhoảng cáchngười ởcaotuổi(nhấtlàsauđộtuổi 55).
- Chứng minh biểu tượng: + Chạy
+ Cứng đờ (tăng trường cơ gây cứng nhắc) + Giảm tác động
Làmhậu kỳquảthươngtổng quátbỏ đibạnmộtVì thếnhânxámkiểmtrahọhoạtsựhọtựsự
và tựsự ở không cũngnhưTiến hóa cứng Công máu không → ẢnhTôi yêu tới Anh ta Vận sự gây phiền
nên họ triệu chứngnhư làm mấthọ sựtác Có thể sự họ gia của ý muốn, tạo ra họ
sựtáctựđộng,gây phiền toáichạytăngtài khoảnlựccơgây phiền toáinênthứ tư thếcứngnhắc, Nguyênnhân
làm giảm dần hàm lượng dopamine.
2. Nguyên nhân gây bệnh và thuốc trị bệnh Parkinson
- hàng trăm Hồng dopamine – một nhảy lò cò chất trung khổng lồ bạn học hc LÀM di chứang viêm khô
nhiễm độc hóa chất Đ/trị: bổ sung dopamin (thuốc cường dopaminergic).
- Chống lại tăng tiết cholin quá Level (cường Anh ta cholinergic) bạn sử dụng nhiều ánh sáng cholinergic 3. Phân loại
Một. Thuốc cường dopaminergic: (bổ sung dopamin)
- Thuốc cung cấp dopamin: levodopa (L-dopa)
- Thuốc ức chế dopadecarboxylase: benserazide, carbidopa
- Thuốc t/d giải phóng dopamine từ bên cạnh ngày hơn kinh: amantadine, memantine, tolperison
b. Thuốc kháng cholin: (giảm sự tạo thành cholin)
- Alcaloid: atropine, hyoscyamine, scopolamine (nay ít dùng)
- Các dx tổng hợp: Benztropine, biperidene, trihexyphenidyl
c. Thuốc khác: dithazine (dx phenothiazine) 23:04, 08/01/2026
Đề Cương Hóa Dược: Tác Dụng Thuốc Trên Hệ TKTW - Studocu
Bài 9: THUỐC TÁC SỬ DỤNG TRÊN HỆ THẦN KINH THỰC VẬT
1. Giới thiệu về hệ thần kinh thực vật
o TKTV (tự trị)mic lo lắnghệ thống)(hơn kinh tựtiềnhcthầnkinh dinh bảo quản) chuyên
điều khiểncác hoạthoạt động ngoàiý muốn,có vai tròchihầu hếthọhoạt độngsự sống. o TKTV bao gồm:
- Hệ trực giao cảm (còn gọi là giao cảm haySympathetic)
- Hệ đối giao cảm (còn gọi là phó giao cảm hay ParaSympathetic) o Sự bảo TKTV:
Vậttrungkhổng lồbạnhọcởnơiTiếp tụcnhảy lò còỨcngoạibiên dịchkểcảlinhvàđốigiaocảmlà acetylcholin (Ach).
Chất trung gian hóa học ở tận cùng sợi hậu giao cảm là noradrenalin (NorAd).
Chất trung gian hóa học ở tận cùng sợi hậu môn giao cảm là acetylcholin (Ach)
Các chất t/d đc lên họ cơ lượng qua Anh ta TKTV là nhờ họ tiền lương thể của họ chất path Hơ TKTV.
2. Phân loại thuốc tác dụng trên hệ thần kinh thực vật
Giải trí & sinh lý theo phương hướng:
- Thuốc t/d kiểu giao cảm (cường giao cảmgiao cảm)
- Thuốc t/d hủy giao cảm (thuốc giảm đau giao cảm)
- Thuốc t/d loại phó giao cảm (cường phó giao cảm- phó giao cảm)
- Thuốc t/d hủy bỏ giao cảm (para giao cảm)
Theo phương pháp dược lý:
- Các loại thuốc t/d tới hệ cholinergic (hệ pư với acetylcholin)
- Các loại thuốc t/d tới hệ adrenergic (hệ pư với adrenaline) 23:04, 08/01/2026
Đề Cương Hóa Dược: Tác Dụng Thuốc Trên Hệ TKTW - Studocu
BÀI 10: CÁC THUỐC GIÃN CƠ
1. Đại cương - Vận động của cơ - Nơron vận động (α và γ) - Rối loạn co cứng cơ Thuốc giãn cơ là
thuốc có t/d ngăn cản sự p/xạ quácường của cơ, nhờ đó giảm đc sự co căng 2. Các thuốc 23:04, 08/01/2026
Đề Cương Hóa Dược: Tác Dụng Thuốc Trên Hệ TKTW - Studocu
Bài 11: THUỐC TIM MẠCH
1. Thuốc điều trị tăng huyết áp
- Khái niệm: Tăng huyết áp là bệnh trong đó Huyết áptâm thu từ 140 mmHg; Tâm áp lực
tài khoản từ 90 mmHg trở lên (một trong hai hoặc cả hai)
- Phân loại huyết áp dụng (HA) :Theo AIbệnh HA đượcợc phân loại trêncơ Sở giá tiền HAtâm
thu/HA tâmtrương (mmHg), theo đó bệnh HA được phân tích các nhóm như sau:
HA tối ưu: <120mmHg/80mmHg
HA bình thường: <130mmHg/<85mmHg
HA bình thường cao:130mmHg và/hoặc 85-89mmThủy ngân
HA cao độ I: :140-159 mmHg và/hoặc 90-99 mmHg
HA cao độ II: 160-179 mmHg và/hoặc 100-109 mmHg
HA cao độ III: >180 mmHg và/hoặc >110 mmHg
HA thấp: <110mmHg/<70mmHg - Thuốc điều trị:
Mục đích điều trị: làm hạ HA xuống Level bình thường để nâng tối thiểu nguy cơ biến
chứng ( ) hạ huyết áp dụng được 5-6 mmHg thì có thể hạ nguy cơ đột biến quỵ đến 40%,
bệnh tim mạch giảm 15-20%...)
Mỗi nhiều họ vào có thể làm nâng huyết áp dụng được 5-10 mmHg Có thể kết nhảy lò cò Nhiều loại thuốc.
Bắc tăng huyết áp dụng chủ yếu là vô cMỘT ( biết Nguyên nhân), vì vậy, việc phân
thuốc để điều trị dùng lâu dài, hngày.
Đối với từng bệnh tăng huyết áp dụng thứ cấp độ (đã biết Nguyên nhân), bên ngoài dùng nhiều
điều chỉnh tăng áp cần thiếtnguyên nhân gây bệnh
- Phân loại thuốc trên cơ sở hoạt độngđiều trị:
Thuốc TD trên hệ thống renin – angiotensin (RA) Thuốc chẹn kênh canxi
Thuốc ức chế beta-adrenergic
Thuốc giãn lịch trực tiếp
Thuốc chống tăng HA tác dụng trung bìnhừ Thuốc lợi tiểu
2. Điều trị kiếm tiền bằng thuốc Động mạch rung
- Khi cơ sở dữ liệu bị thiếu oxy sẽ bị hỏngt sinh ra cơn đau vũ khí - Nguyên nhân:
+ Xơ mộng động mạch vành dẫn đến làm hhay tắc lòng mạch
+ Giảm nồng độ oxy trong máu thiếumáu
Thuốc điều trị bệnh đau ngự trịc: Có TD làm tăng dòng máu đến cơ tim hoặc làm
giảm nhu cầu oxy của cơ sở dữ liệu. Vì vậy, chúng có chứng chỉ triệu chứng TD, thực tế là làm
giảm số lần, thời gian, mức độau; phòng hoặc làm chậm cơ tạo máu. Phân loại thuốc: 3 nhóm 23:04, 08/01/2026
Đề Cương Hóa Dược: Tác Dụng Thuốc Trên Hệ TKTW - Studocu
1. Các hợp chất nitrat hữu cơ 2. Các thuốc chẹn beta
3. Các thuốc chẹn kênh Canxi
3. Thuốc điều trị loạn nhịp tim
Nhịp tim và loạn nhịp tim: - Nhịp tim bình thường
- Loạn nhịp tim: nhịp quá nhanh hc quá chậm
+ Nhịp tim đều nhưng thỉnh thoảng có nhịp phụ gọi là ngoại tâm thu
+ Nhịp loạn xạ không theo nhịp điệu nào gọi là loạn nhịp hoàn toàn
Yếu tố chính gây loạn nhịp:
- Rối loạn tính tự động của nút xoang hc những cấu trúc dưới nút xoang gây loạn nhịp chậm, nhịp
xoang nhanh hay ngoại tâm thu. - Rối loạn dẫn truyền
Dựa vào tác dụng, các thuốc chống loạn nhịp được chia thành 4 nhóm chính:
1. Thuốc chẹn kênh Na+ : gọi là nhóm ổn định màng tế bào, có t/dtăng ngưỡng kích thích, giảm tính
tự động, giảm dẫn truyền.
2. Thuốc chẹn beta-adrenergic: các thuốc phong bế thụ thể β giảmdẫn truyền nút nhĩ thất, thường
dùng cho bệnh loạn nhĩ thất dorối loạn giao cảm (atenonol, timolol, propranonol,…)
3. Thuốc chẹn kênh K+ : có t/d kéo dài thời kỳ trơ, thời kỳ tái cực: aminodaron, bretylium.
4. Thuốc chẹn kênh Ca2+: t/d ức chế nút xoang nhĩ và nút nhĩ thất giảm dẫn truyền, tăng tính trơ nút nhĩ thất.
4. Thuốc điều trị suy tim
- Công suất bơm của tim và suy tim
- Đặc trưng của suy tim: tim không có khả năng duy trì đc sự tuần hoàn tương ứng cần thiết
để cung cấp dòng máu ổn định liên tục cho cơ thể do lực co bóp bị giảm. - Mức độ suy tim:
+ Độ I: còn chưa giảm công suất
+ Độ II: với sự chịu tải lớn mới giảm công suất
+ Độ III: với sự chịu tải nhỏ đã giảm công suất
+ Độ IV: trong trạng thái nghỉ đã bị giảm công suất
- Điều trị suy tim: làm tăng cường cung lượng tim bằng cách tácđộng vào các yếu tố ảnh
hưởng tới cung lượng tim
- Thuốc trợ tim (kích thích chức năng bơm của tim): là những thuốc có t/d làm tăng lực co
bóp của cơ tim, dùng trong các trường hợp suy tim:
Nhóm các glycozit tim: đc chỉ định trong suy tim mãn
Nhóm các thuốc không phải glycozit tim: dùng trong suy tim cấp 23:04, 08/01/2026
Đề Cương Hóa Dược: Tác Dụng Thuốc Trên Hệ TKTW - Studocu 23:04, 08/01/2026
Đề Cương Hóa Dược: Tác Dụng Thuốc Trên Hệ TKTW - Studocu