














Preview text:
TÊN ĐỀ TÀI:
Kế hoạch quản trị và kỷ luật
A. VẬN DỤNG ĐƯỢC CÁC KỸ THUẬT GIẢI QUYẾT VẤN ĐỀ VÀ RA
QUYẾT ĐỊNH TÙY THEO BỐI CẢNH VÀ RA QUYẾT ĐỊNH DÙNG
KỸ THUẬT GQVD TRONG VIỆC HỌC CHUYÊN NGÀNH SAO CHO TỐT
Dàn ý vận dụng kỹ thuật giải quyết vấn đề và ra quyết định trong học tập chuyên ngành Bảo
I. Xác định vấn đề:
1. Mô tả cụ thể vấn đề bạn đang gặp phải trong học tập chuyên ngành.
2. Nêu rõ nguyên nhân dẫn đến vấn đề đó.
3. Phân tích tác động của vấn đề đối với việc học tập của bạn.
II. Phân tích vấn đề:
1. Thu thập thông tin liên quan đến vấn đề:
o Tài liệu học tập, giáo trình, bài giảng.
o Ý kiến của giảng viên, bạn bè.
o Tự đánh giá và rút kinh nghiệm từ quá trình học tập của bản thân. 2. Phân tích SWOT:
o Điểm mạnh: Khả năng học tập, kỹ năng tư duy, kiến thức nền tảng.
o Điểm yếu: Thiếu phương pháp học tập hiệu quả, chưa có động lực học tập.
o Cơ hội: Tham gia các hoạt động ngoại khóa, học bổng du học.
o Thách thức: Khối lượng kiến thức lớn, chương trình học nhanh.
III. Đề xuất giải pháp:
1. Đề xuất các giải pháp khả thi cho từng vấn đề.
2. Liệt kê ưu và nhược điểm của từng giải pháp.
3. Lựa chọn giải pháp phù hợp nhất với bản thân và hoàn cảnh.
IV. Lựa chọn giải pháp:
1. So sánh các giải pháp đã đề xuất và lựa chọn giải pháp tối ưu nhất.
2. Giải thích lý do lựa chọn giải pháp đó.
3. Xác định các nguồn lực cần thiết để thực hiện giải pháp. TÊN ĐỀ TÀI:
Kế hoạch quản trị và kỷ luật
V. Triển khai giải pháp:
1. Lập kế hoạch cụ thể để thực hiện giải pháp.
2. Chia nhỏ mục tiêu thành những bước nhỏ hơn để dễ dàng thực hiện.
3. Theo dõi tiến độ thực hiện và điều chỉnh kế hoạch khi cần thiết.
VI. Đánh giá kết quả:
1. So sánh kết quả đạt được với mục tiêu đề ra.
2. Rút ra bài học kinh nghiệm từ quá trình giải quyết vấn đề.
3. Áp dụng những bài học kinh nghiệm đó cho những vấn đề khác trong tương lai.
VII. Kỹ thuật giải quyết vấn đề và ra quyết định: 1. Brainstorming:
o Liệt kê tất cả các ý tưởng có thể liên quan đến vấn đề.
o Phát triển ý tưởng một cách tự do và sáng tạo.
o Lựa chọn những ý tưởng phù hợp nhất để triển khai. 2. PDCA:
o Plan (Lập kế hoạch): Xác định mục tiêu, lập kế hoạch hành động.
o Do (Thực hiện): Triển khai kế hoạch đã đề ra.
o Check (Kiểm tra): Đánh giá kết quả đạt được.
o Act (Hành động): Điều chỉnh kế hoạch nếu cần thiết. VIII. Kết luận:
• Vận dụng các kỹ thuật giải quyết vấn đề và ra quyết định một cách hiệu quả
sẽ giúp bạn học tập tốt hơn trong chuyên ngành.
• Hãy kiên trì và nỗ lực trong quá trình học tập, bạn sẽ đạt được mục tiêu của mình.
B. QUẢN LÝ THỜI GIAN: Tiến
Vận dụng các công cụ để QLTG 1 cách hiệu quả cho việc học tốt các môn trong
chuyên ngành với mục tiêu (đạt học bổng kì sau) TÊN ĐỀ TÀI:
Kế hoạch quản trị và kỷ luật
Các công cụ và phương pháp hỗ trợ quản lý thời gian hiệu quả:
1. Lên kế hoạch và theo dõi:
* Sổ tay: Ghi chép lịch trình, danh sách việc cần làm, ghi chú bài giảng, v.v.
* Lịch điện tử: Google Calendar, Outlook, v.v. để sắp xếp thời gian học tập, các cuộc hẹn, deadline.
* Ứng dụng quản lý thời gian: Todoist, TickTick, Forest, v.v. để theo dõi tiến độ,
đặt lời nhắc nhở, phân chia thời gian hợp lý.
2. Tập trung và tránh xao nhãng:
* Kỹ thuật Pomodoro: Chia nhỏ thời gian học tập thành các pomodoro 25 phút, xen
kẽ với 5 phút nghỉ giải lao.
* Tìm nơi học tập yên tĩnh: Thư viện, phòng học tập chung, góc yên tĩnh trong nhà.
* Cũng có thể chọn 1 bài hát nhẹ nhàng vừa nghe vừa học (không nên áp dụng cho
người không có thói quen này )
3. Ghi chép và học tập hiệu quả:
* Phương pháp ghi chép: Cornell, Mind Map, v.v. để ghi chép bài giảng một cách súc tích, dễ hiểu.
* Flashcard: Sử dụng flashcard để ghi nhớ từ vựng, công thức, định nghĩa.
* Bản đồ tư duy: MindNode, XMind v.v. để hệ thống hóa kiến thức, tóm tắt bài học.
4. Công cụ hỗ trợ khác:
* Máy tính: Sử dụng máy tính để soạn thảo bài viết, làm bài tập, tra cứu tài liệu.
* Máy tính bảng: Sử dụng máy tính bảng để ghi chép bài giảng, xem video bài
giảng, đọc sách điện tử.
* Điện thoại thông minh: Sử dụng điện thoại thông minh để tra cứu thông tin, ghi
chú nhanh, cài đặt ứng dụng học tập. TÊN ĐỀ TÀI:
Kế hoạch quản trị và kỷ luật TÊN ĐỀ TÀI:
Kế hoạch quản trị và kỷ luật TÊN ĐỀ TÀI:
Kế hoạch quản trị và kỷ luật Lưu ý:
* Lựa chọn công cụ phù hợp với bản thân và phương pháp học tập của bạn.
* Sử dụng công cụ một cách linh hoạt và điều chỉnh cho phù hợp với nhu cầu của bạn.
* Kết hợp sử dụng nhiều công cụ khác nhau để đạt hiệu quả tốt nhất.
Ngoài ra, cũng nên tham khảo một số cách quản lý thời gian hiệu quả sau:
* Thiết lập mục tiêu rõ ràng: Xác định mục tiêu học tập cụ thể và đặt ra deadline cho từng mục tiêu.
* Phân chia thời gian hợp lý: Chia nhỏ thời gian học tập thành các khoảng thời
gian ngắn và sắp xếp khoa học.
* Ưu tiên công việc: Xác định những công việc quan trọng cần hoàn thành trước và
tập trung vào những công việc đó.
* Học tập theo thói quen: Tạo thói quen học tập đều đặn mỗi ngày để tăng hiệu quả.
* Nghỉ ngơi đầy đủ: Ngủ đủ giấc và dành thời gian thư giãn để nạp lại năng lượng.
* Tránh trì hoãn: Bắt đầu học tập ngay khi có thể và không trì hoãn đến phút chót.
* Tìm kiếm sự hỗ trợ: Khi gặp khó khăn, hãy tìm kiếm sự giúp đỡ từ thầy cô, bạn bè hoặc gia đình. TÊN ĐỀ TÀI:
Kế hoạch quản trị và kỷ luật
C. 7 THÓI QUEN THÀNH CÔNG: Trọng
Áp dụng 7 thói quen làm việc hiệu quả cho việc học tốt các môn chuyên ngành
Thói quen 1: Luôn chủ động (Be Proactive) -
Chủ động: tìm tòi, không nên chờ đợi khi có nhiệm vụ hoặc hướng dẫn thì
mới làm. Nên xem trước các tài liệu liên quan đến các môn chuyên ngành. -
Lên lịch học, lập kế hoạch, thiết lập cho mình một không gian học tập hợp lí,
tránh bị phân tâm và tìm kiếm các thông tin cần thiết liên quan. -
Tìm kiếm sự trợ giúp: Chủ động liên hệ với các giảng viên bộ môn, hoặc là
tham gia các nhóm nghiên cứu về các môn học có liên quan đến chuyên ngành
Thói quen 2: Làm việc có mục đích xác định (Begin With The End In Mind) -
Đặt mục tiêu rõ ràng: Xác định mức độ mà mình mong muốn thành công
trong mỗi môn học (chẳng hạn GPA môn đó phải đạt 4.0) -
Lập kế hoạch học tập: phân chia mục tiêu thành các bước hợp lí và tạo lịch trình để hoàn thành -
Hình dung thành công: nên thường xuyên hình dung và suy nghĩ về việc đạt
mục tiêu để duy trì động lực và sự tập trung cần thiết.
Thói quen 3: Ưu tiên cho những điều quan trọng (Put First Things First) -
Ưu tiên các nhiệm vụ: xác định các nhiệm vụ quan trọng và cấp bách nhất.
Tập trung vào các bài tập có mức độ ưu tiên cao sẽ tác động nhiều đến sự hiểu biết và điểm số của ta. -
Quản lí thời gian hiệu quả: sử dụng các công cụ như danh sách các việc cần
làm, công cụ lập kế hoạch hoặc ứng dụng kĩ thuật số để sắp xếp thời gian học tập
của bản thân. Phân bố các thời gian cụ thể để học tập, ôn tập và nghỉ giải lao. -
Tránh trì hoãn: Đầu tiên, ta hãy giải quyết các chủ đề hoặc nhiệm vụ mang
tính thử thách khi mức năng lượng và sự tập trung của chúng ta cao nhất và tránh để lâu dài. TÊN ĐỀ TÀI:
Kế hoạch quản trị và kỷ luật
Thói quen 4: Tư duy cùng thắng (Think Win/Win) -
Cộng tác với bạn học: Thành lập các nhóm nghiên cứu nơi mọi người có thể
chia sẻ kiến thức và tài nguyên. Đảm bảo rằng mỗi thành viên đều đóng góp và hưởng lợi. -
Chia sẻ tài nguyên: Trao đổi ghi chú, tóm tắt và hiểu biết sâu sắc với các bạn
cùng lớp để nâng cao hiểu biết chung. -
Hỗ trợ lẫn nhau: Giúp các cộng sự của bạn thành công vì thành công của họ
cũng có thể đóng góp vào trải nghiệm học tập của chính bạn.
Thói quen 5: Biết lắng nghe để thấu hiểu và rồi được thấu hiểu (Seek First To
Understand, Then To Be Understood) -
Tích cực lắng nghe: Trong các bài giảng và buổi học, tập trung và cố gắng
hiểu được tài liệu được trình bày. Đặt câu hỏi và tìm kiếm sự làm rõ khi cần thiết. -
Thấu hiểu với giảng viên hơn: Hiểu mục tiêu và mong đợi của giảng viên
đối với môn học. Điều chỉnh phương pháp học tập của bạn để đáp ứng những mong đợi này. -
Giao tiếp hiệu quả: Khi thảo luận các chủ đề khó với bạn cùng lớp hoặc giáo
sư, hãy đảm bảo bạn hiểu quan điểm của họ trước khi trình bày quan điểm của mình.
Thói quen 6: Đồng tâm hiệp lực (Synergize) -
Tận dụng điểm mạnh: Nhận biết điểm mạnh và điểm yếu của các thành viên
trong nhóm học tập của bạn. Làm việc cùng nhau theo cách phát huy tối đa điểm mạnh của mỗi người. -
Quan điểm đa dạng: Nắm bắt các quan điểm và phương pháp giải quyết vấn
đề khác nhau. Các cách tiếp cận đa dạng có thể dẫn đến sự hiểu biết sâu sắc hơn về
các chủ đề phức tạp. -
Các dự án hợp tác: Khi thực hiện các bài tập nhóm, ta cần kết hợp các kỹ
năng của bản thân để tạo ra sản phẩm có chất lượng cao hơn so với khi ta làm riêng lẻ.
Thói quen 7: Rèn luyện bản thân (Sharpen The Saw) TÊN ĐỀ TÀI:
Kế hoạch quản trị và kỷ luật -
Cân bằng cuộc sống: Đảm bảo mình đang duy trì sự cân bằng lành mạnh
giữa học tập, nghỉ ngơi và giải trí. Làm việc quá sức có thể dẫn đến kiệt sức và giảm năng suất. -
Học tập liên tục: Thường xuyên ôn tập và cậ p nhật kiến thức. Sử dụng các
tài nguyên bổ sung như các khóa học trực tuyến, các bài hội thảo trên web và sách để hiểu sâu hơn… -
Tự chăm sóc bản thân: Chăm sóc sức khỏe thể chất và tinh thần của bản thân
thông qua tập thể dục thường xuyên, chế độ ăn uống lành mạnh…
D. NHẬN THỨC ĐƯỢC KHẢ NĂNG TỰ LÃNH ĐẠO BẢN THÂN
VÀ MÔ HÌNH LÃNH ĐẠO: Khoa I.
Nhận thức khả năng lãnh đạo của bản thân:
Khả năng tự lãnh đạo là tập hợp những kỹ năng và phẩm chất giúp một cá
nhân tự định hướng, quản lý và thúc đẩy bản thân để đạt được mục tiêu.
Nhận thức về khả năng tự lãnh đạo của bản thân là hiểu rõ những điểm
mạnh, điểm yếu, động lực và giá trị của bản thân, từ đó có thể đưa ra những
quyết định sáng suốt và hành động hiệu quả để phát triển bản thân và đạt được thành công.
Dưới đây là một số khía cạnh quan trọng trong nhận thức về khả năng tự lãnh đạo: -
Hiểu rõ điểm mạnh và điểm yếu. - Xác định mục tiêu. -
Kỹ năng quản lý thời gian. -
Kỹ năng ra quyết định. - Kỹ năng giao tiếp. -
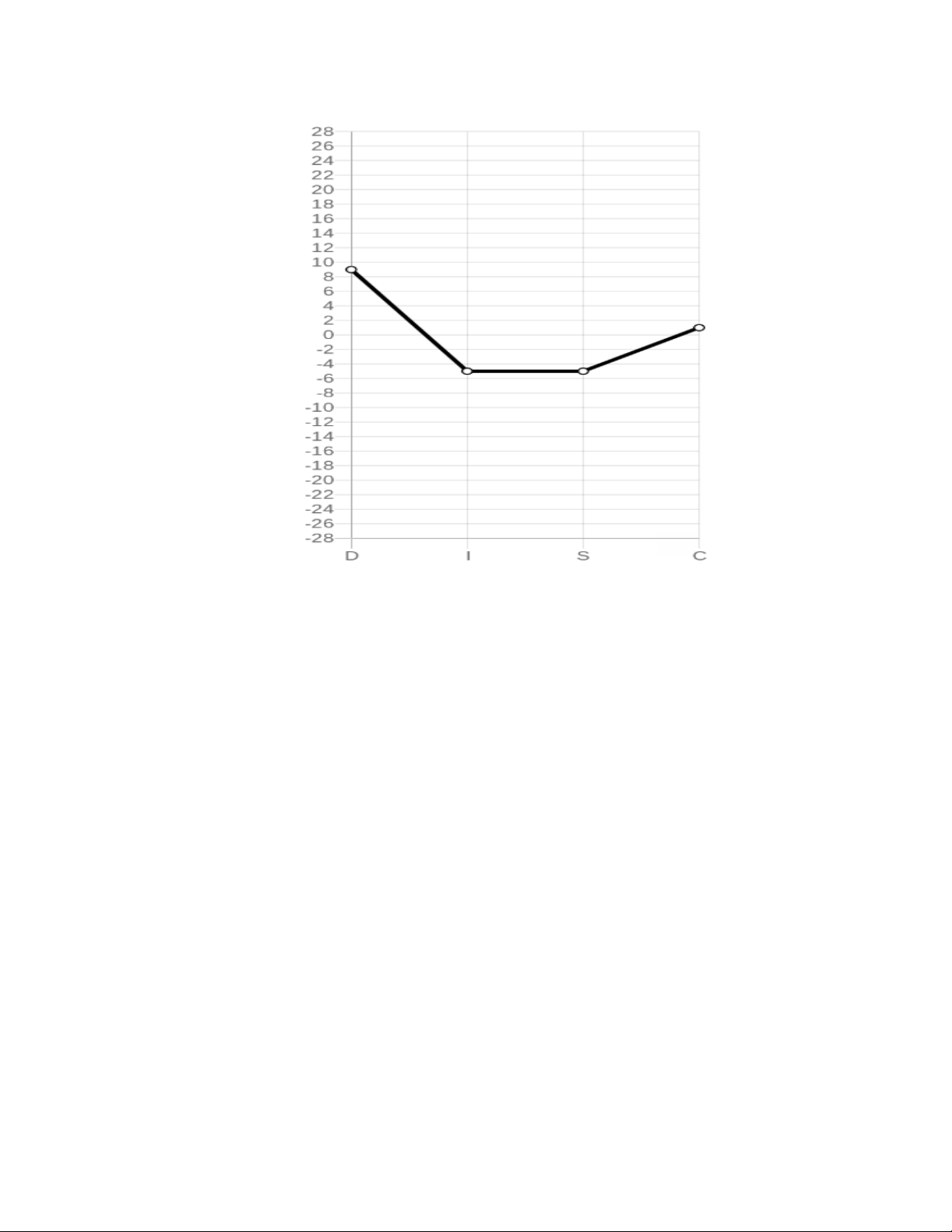
Kỹ năng giải quyết vấn đề. - Kỹ năng học tập. - Sự tự tin. Mô hình DISC: TÊN ĐỀ TÀI:
Kế hoạch quản trị và kỷ luật
Test DISC của người thuyết trình: TÊN ĐỀ TÀI:
Kế hoạch quản trị và kỷ luật Điểm mạnh: •
Có khả năng lãnh đạo: Bạn có khả năng tự tin, quyết đoán và có thể
truyền cảm hứng cho người khác. Bạn cũng có khả năng đưa ra quyết định
nhanh chóng và hiệu quả. •
Có khả năng tập trung: Bạn có khả năng tập trung cao độ và hoàn
thành công việc một cách hiệu quả. •
Có khả năng cạnh tranh: Bạn có tinh thần cạnh tranh cao và luôn nỗ
lực để đạt được mục tiêu của mình. •
Có khả năng thích nghi: Bạn có khả năng thích nghi với những thay
đổi nhanh chóng và có thể giải quyết vấn đề một cách hiệu quả. •
Có khả năng chịu áp lực: Bạn có khả năng chịu áp lực cao và có thể
hoàn thành tốt công việc trong những tình huống khó khăn. Điểm yếu: •
Có thể quá độc đoán và thiếu kiên nhẫn. •
Có thể gặp khó khăn trong việc hợp tác với người khác. •
Có thể quá tập trung vào kết quả và không chú ý đến quá trình.
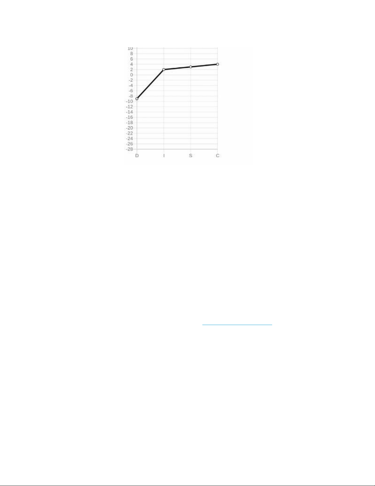
Test Disc của người thuyết trình: Sơn TÊN ĐỀ TÀI:
Kế hoạch quản trị và kỷ luật Phong cách cá tính C sẽ tránh xung đột hơn là tranh cãi, và rất khó để khiến họ nói ra cảm xúc của họ. Nhược điểm: ▪ Cần ranh giới rõ ràng để cảm thấy thoải mái khi làm việc, trong các mối quan hệ, hoặc hành động. ▪ Có thể bị ràng buộc bởi các nguyên tắc và phương pháp và
cảm thấy khó khăn khi đi lạc khỏi trật tự vốn có.
▪ Đôi khi họ bị lún sâu vào tiểu tiết, điều đó khiến cho toàn cảnh công việc trở nên khá khó khăn.
▪ Ít để ý cảm xúc người khác nên khó gần trong lần gặp đầu tiên. Ưu điểm:
▪ Tự tin vào khả năng phán đoán của mình
▪ Là người cầu toàn, thận trọng.
▪ Giữ cho mình các tiêu chuẩn cao, tập trung vào phân tích các nhiệm vụ
và chất lượng của sản phẩm.
▪ Tập trung rất nhiều vào chi tiết và dữ liệu. ▪ Ngoại giao khá tốt.
⇨ Kín đáo và dè dặt, phù hợp trong việc khai thác thông tin và phân tích dữ liệu. II.
Mô hình lãnh đạo tình huống: (3) Video | Facebook 4 phong cách lãnh đạo: Bảo TÊN ĐỀ TÀI:
Kế hoạch quản trị và kỷ luật •
Chỉ thị - Chỉ đạo: Directing style
Đặc trưng của phong cách này là chủ yếu chú trọng yếu tố Mệnh lệnh.
Người có phong cách Directive thường có năng lực cá nhân cao mang tính
chuyên gia trong nhiều lĩnh vực, vì vậy họ dễ có xu hướng tự hoàn thành
công việc và cảm thấy phiền phức khi phải giao việc cho người khác. Vì vậy,
họ không muốn mất thời gian vào việc phân công nhiệm vụ đội nhóm và
quản lý phối hợp tiến độ công việc.
Người quản lý sẽ đưa ra nhiệm vụ rõ ràng và giám sát một cách nghiêm
ngặt. Đây là cách tiếp cận ngắn hạn thường được áp dụng với những nhân sự
mới hoặc còn hạn chế về trình độ. Lãnh đạo có thể thông qua cách họ trả lời
để thấy được mức độ phát triển của họ. •
Huấn luyện – đào tạo: Coaching – Mentoring style
Phong cách lãnh đạo này chú trọng vào cả hai yếu tố Chỉ thị và Quan hệ.
Người lãnh đạo vẫn duy trì quyền quyết định về những gì cấp dưới phải làm,
phương pháp và thời hạn hoàn thành công việc – tuy nhiên, đôi bên sẽ dành
thời gian thảo luận về tầm quan trọng của công việc và vai trò của cấp dưới
đối với lợi ích chung. Bên cạnh đó, cấp lãnh đạo cũng chủ động ghi nhận sự
nhiệt tình, quan tâm, sẵn sàng học hỏi và tích lũy kinh nghiệm của nhân viên.
Phong cách lãnh đạo theo tình huống trên đây góp phần nuôi dưỡng hiểu biết
và sự tận tụy với công việc của nhân viên. Hướng tiếp cận này sẽ là lựa chọn
phù hợp khi nhân viên có kinh nghiệm hạn chế – nhưng cho thấy sự tự tin và TÊN ĐỀ TÀI:
Kế hoạch quản trị và kỷ luật
động lực phát triển kỹ năng theo định hướng của cấp trên. Giống như phong
cách Hướng dẫn, hiệu quả thực tế sẽ phụ thuộc nhiều vào quan sát trực tiếp
của người lãnh đạo, tần suất các thảo luận Sơn •
Hỗ trợ - Bảo trợ: Supporting – Sponsoring
Người quản lý sẽ không phải chỉ đạo nhiều mà sẽ trên tinh thần là giúp đỡ,
hỗ trợ nhân viên để họ hoàn thành công việc của mình.
Tạo nên một không khí làm việc vô cùng thoải mái, mọi người cùng bàn
luận, chia sẻ, góp ý thẳng thắn với nhau về một vấn đề nào đó và đi đến một
quyết định thống nhất.
⇨ Phong cách này thích hợp khi nhân viên là người đã có chút
kinh nghiệm, nhưng họ vẫn chưa tự tin về khả năng của mình
khi giải quyết một công việc nào đó. •
Giao phó – Ủy quyền: Delegating
Nhà lãnh đạo ủy quyền đặt sự tín nhiệm của mình vào những thành viên
tiềm năng, tạo cho họ không gian tự do phát triển ý tưởng, đồng thời, trợ
giúp những nguồn lực và lời khuyên cần thiết. Tuy không tham gia đưa ra
quyết định cuối cùng cùng nhóm, người lãnh đạo vẫn phải chịu trách nhiệm
về các quyết định đó.
Về ưu điểm: Người lãnh đạo không ôm xuể mọi công việc và phải đặt ưu
tiên cũng như ủy thác một số nhiệm vụ nhất định; tăng năng lực phân tích
tình huống và xác định phương hướng giải quyết của các thành viên; tăng
gắn kết sự tin tưởng, đồng lòng giữa cấp trên và cấp dưới.
Về nhược điểm: Nhóm bị thiếu định hướng, các thành viên có xu hướng đổ
lỗi cho nhau và từ chối trách nhiệm cá nhân; công việc kém hiệu quả nếu các
thành viên trong nhóm không quản lý tốt thời gian hoặc không có kỹ năng chuyên môn; lạm quyền.
⇨ Đối với những nhân viên có kiến thức chuyên môn sâu rộng TÊN ĐỀ TÀI:
Kế hoạch quản trị và kỷ luật