










Preview text:
DẠNG n TOÀN PHƢƠNG TRÊN I. Định nghĩa:
Ví dụ 1: Cho dạng toàn phƣơng trên
3 có biểu thức tọa độ đối với cơ sở chính tắc của là:
(x) = 2x2 − 3x x + x x − 3x x + 5x2 + 7x x + x x + 7x x − 6x2 1 1 2 1 3 2 1 2 2 3 3 1 3 2 3
= 2x2 + 5x2 − 6x2 − 6x x + 2x x +14x x . 1 2 3 1 2 1 3 2 3 2 −3 1 A = −3 5 7 1 7 −6
r() = r( A) = ...
A là ma trận của dạng toàn phƣơng đối với cơ sở chính tắc của và A là
một ma trận đối xứng. Hạng của chính là hạng của ma trận A.
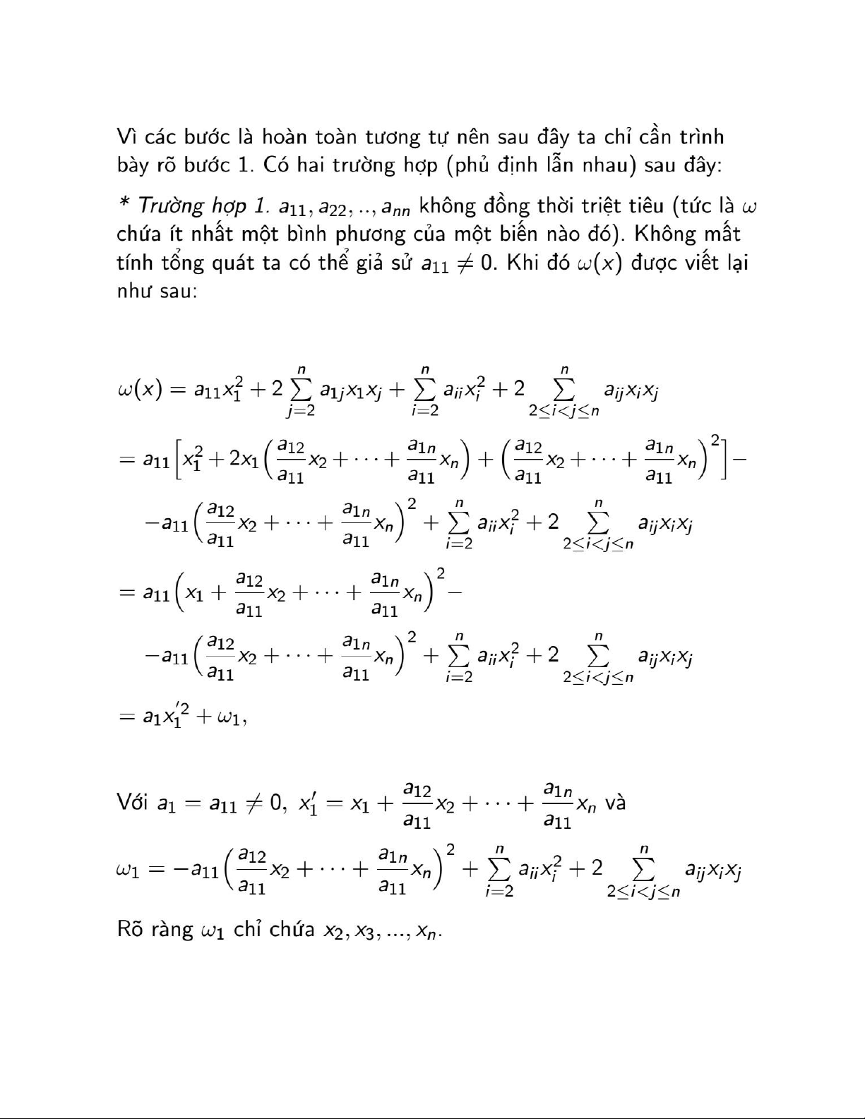
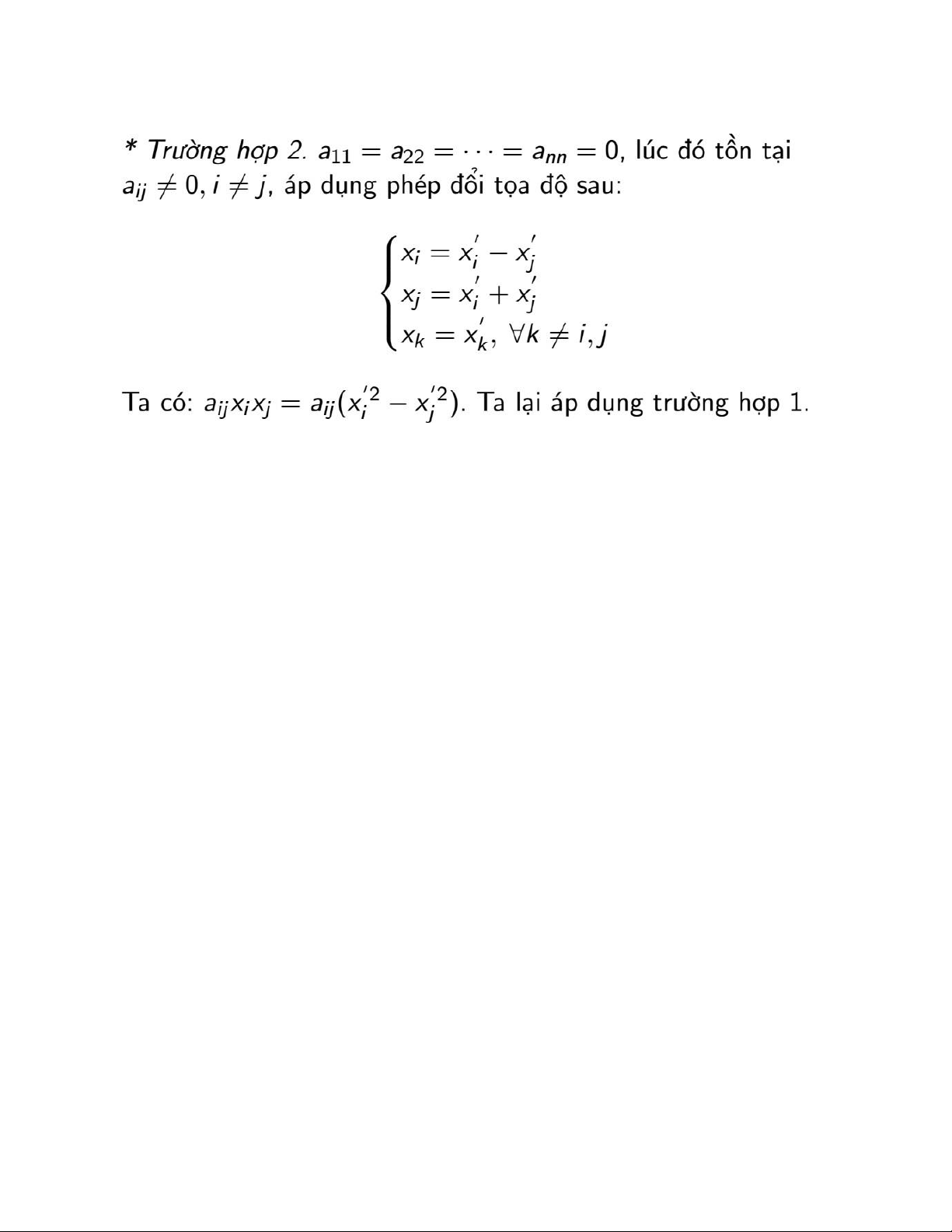
II. Đƣa dạng toàn phƣơng về dạng chính tắc:
III. Phương pháp Lagrange đưa dạng toàn phương về dạng chính tắc:
Ví dụ 2: Đưa dạng toàn phương có biểu thức tọa độ đối với cơ
sở chính tắc (e) của R3 như sau về dạng chính tắc và chỉ ra cơ
sở của R3 tương ứng với dạng chính tắc đó.
(x)= 2x2 + 5x2 − 6x2 − 6x x + 2x x +14x x 1 2 3 1 2 1 3 2 3
= (2x2 − 6x x + 2x x ) + 5x2 − 6x2 +14x x 1 1 2 1 3 2 3 2 3 3 1 3 1 2 3 1 2
= 2 x2 − 2x
x − x + x − x
− 2 x − x + 5x2 − 6x2 +14x x 1 1 2 2 2 3 2 2 2 3 2 2 2 3 2 3 2 3 3 1 − x 2 9 3 1 = 2 x − x 3 − 2 x +
+ 5x2 − 6x2 +14x x 1 2 2
x2 − 2 x2 3 x2 2 3 2 3 2 3 2 4 4 3 1 2 1 13
= 2 x − x + x + x2 − x2 +17x x 1 2 2 2 3 2 2 2 3 2 3 3 1 2 1 1 13
= 2 x − x + x +
(x2 + 2x (17x ) + (17x )2 )− (17x )2 − x2 1 2 2 2 3 2 2 2 3 3 2 3 2 3 3 1 2 1 2
= 2 x − x + x +
( x +17x ) −151x2. 1 2 2 2 3 2 2 3 3 Doi bien (Doi toa do): 3 1 3 1
x − x + x = y
x = y + ( y −17 y ) − y 1 2 2 2 3 1 1 1 2 2 3 2 3
x +17x = y
x = y −17 y 2 3 2 2 2 3 x = y x = y 3 3 3 3 3
x = y + y − 26 y 3 −26 1 1 1 x y 2 2 3 1 2 1
x = y −17 y
x = 0 1 − 2 2 3 2 17 y (1) 2 x = y
x 0 0 1 y 3 3 3 3
Ta co dang chinh tac cua dang toan phuong tren la: 1
(x) = 2 y2 + y2 −151y2 (*) 1 2 2 3
Gọi (f) ={f1, f2, f3} là cơ sở của R3 tương ứng với dạng chính tắc (*).
Khi đó ta có x/(e) = (x1, x2, x3) và x/(f) = (y1, y2, y3) mà x/(e) và x/(f)
lại có liên hệ theo hệ thức (1). Nên theo công thức đổi tọa độ
[x]/(e)=P.[x]/(f), ta có ma trận chuyển cơ sở từ (e) sang (f) là: 3 1 − 26 2 P = 0 1 −17 . 0 0 1
Mà (e) là cơ sở chính tắc của R3 nên ta có:
(f) = {f1=(1,0,0); f2 = (3/2,1,0); f3 = (-26,-17,1)}.
* Lưu ý: Nếu (e) = {e1, e2, e3} là một cơ sở nào đó của R3 thì từ ma
trận P như trên ta có (f) = {f1=e1; f2 =3/2e1+e2; f3 = -26e1-17e2+e3}.
Ví dụ 2’: Đƣa dạng toàn phƣơng có biểu thức tọa độ đối với cơ
sở chính tắc (e) của R3 nhƣ sau về dạng chính tắc và chỉ ra cơ
sở của R3 tƣơng ứng với dạng chính tắc đó:
(x)= x2 + 4x2 + 8x2 + 4x x − 2x x +10x x 1 2 3 1 2 1 3 2 3
= (x2 + 4x x − 2x x ) + 4x2 + 8x2 +10x x 1 1 2 1 3 2 3 2 3 =
− (2x − x )2 + 4x2 + 8x2 +10x x 1 1 2 3 2 3 2 3 2 3 2 3
x2 + 2x (2x − x ) + (2x − x )2
= ( x + 2x − x )2 + 7x2 +14x x 1 2 3 3 2 3
= ( x + 2x − x )2 + 7 (x2 + 2x x + x2 ) − 7x2 1 2 3 3 2 3 2 2
= ( x + 2x − x )2 − 7x2 + 7(x + x )2 1 2 3 2 2 3 Doi bien (Doi toa do):
x1 + 2x2 − x3 = y1
x1 = y1 − 3y2 + y3
x1 1 −3 1 y1 x = y x = y x = 0 1 0 y (1) 2 2 2 2 2 2
x + x = y
x = y − y
x 0 −1 1 y 2 3 3 3 3 2 3 3
Ta co dang chinh tac cua la:
(x) = y2 − 7 y2 + 7 y2 (*) 1 2 3
Gọi (f) ={f1, f2, f3} là cơ sở của R3 tương ứng với dạng chính tắc (*).
Khi đó ta có x/(e) = (x1, x2, x3) và x/(f) = (y1, y2, y3) mà x/(e) và x/(f)
lại có liên hệ theo hệ thức (1). Nên theo công thức đổi tọa độ
[x]/(e)=P.[x]/(f), ta có ma trận chuyển cơ sở từ (e) sang (f) là: 1 −3 1 P = 0 1 0 . 0 −1 1
Mà (e) là cơ sở chính tắc của R3 nên ta có:
(f) = {f1=(1,0,0); f2 = (-3,1,-1); f3 = (1,0,1)}.
* Nếu (e) = {e1, e2, e3} là một cơ sở nào đó của R3 thì từ ma trận P
như trên ta có (f) = {f1=e1; f2 =-3e1+e2-e3; f3 = e1+e3}.
Ví dụ 3: Đưa dạng toàn phương có biểu thức tọa độ đối với cơ
sở chính tắc của R3 như sau về dạng chính tắc và chỉ ra cơ sở
của R3 tương ứng với dạng chính tắc đó.
(x) = 6x x + 2x x +14x x 1 2 1 3 2 3
Doi bien de tao ra so hang chua binh phuong:
x1 = y1 − y2
x = y + y (1) 2 1 2 x = y 3 3
(x) = 6 ( y1 − y2 )( y1 + y2 ) + 2 ( y1 − y2 ) y3 +14 ( y1 + y2 ) y3
= 6y2 − 6y2 +16 y y +12 y y 1 2 1 3 2 3
4 4 2 4 2
= 6 y2 + 2 y y + y
− 6 y − 6y2 +12 y y 1 1 3 3 3 3 3 3 2 2 3 4 2 32 = 6 y + y 1 3 − 6y2 − 2 3 3 y2 +12 y y 3 2 3 4 32 2 = 6 y + y
− 6 y2 − 2 y y + y2 + 6 y2 − y2 1 3 3 2 2 3 3 3 3 3 4 2 2 14 = 6 y + y 1
3 − 6 ( y 2 − y3 ) − y 2 3 3 3
Doi bien de co dang chinh tac (Doi toa do): 4
y + y = z 1 3 3 1
y − y = z (2) 2 3 2 y = z 3 3 14
(x) = 6z2 − 6z2 − z2.(*) 1 2 3 3
Gọi (f) ={f1, f2, f3} là cơ sở của R3 tương ứng với dạng chính tắc (*).
Khi đó ta có x/(e) = (x1, x2, x3) và x/(f) = (z1, z2, z3) mà x/(e) và x/(f)
lại có liên hệ theo 2 hệ thức (1),(2): 4
y + y = z
x1 = y1 − y2 1 3 3 1
x = y + y (1) và
y − y = z (2) 2 1 2 2 3 2 x = y y = z 3 3 3 3 Từ (1) và (2) ta có: 4 7
x = z − z − (z + z ) = z − z − z 1 −1 3 − 7 1 1 z 3 3 2 3 1 2 3 3 x 1 1
x = z − 4 z + z + z = z + z − 1 z x = 1 1 − 1 z (3) 2 1 2 3 3 2 3 1 2 3 3 3 2 x z x = z 3 3 0 0 1 3 3
Nên theo công thức đổi tọa độ [x]/(e)=P.[x]/(f), từ (3) ta có ma trận
chuyển cơ sở từ (e) sang (f) là: 7 1 −1 − 3 1 P = 1 1 − . 3 0 0 1
Mà (e) là cơ sở chính tắc của R3 nên ta có:
(f) = {f1=(1,1,0); f2 = (-1,1,0); f3 = (-7/3,-1/3,1)}.
Bài tập về nhà: Đưa dạng toàn phương có biểu thức tọa độ đối
với cơ sở chính tắc (e) của R3 như sau về dạng chính tắc và chỉ
ra cơ sở của R3 tương ứng với dạng chính tắc đó.
a) (x) = 4x2 + 6x2 + 2x2 + 8x x − 6x x −12x x . 1 2 3 1 2 1 3 2 3
b) (x) = x2 − 7x2 + 6x2 +15x x − 6x x +12x x . 1 2 3 1 2 1 3 2 3
c) (x) = 8x x − 6x x −12x x . 1 2 1 3 2 3
d )(x) = 10x x + 8x x − 6x x . 1 2 1 3 2 3
• Luật quán tính: Số các số hạng mang dấu cộng (kí hiệu là
p) và số các số hạng mang dấu trừ (kí hiệu là q) trong biểu
thức chính tắc của một dạng toàn phương cho trước là bất
biến, không phụ thuộc vào phép biến đổi đã sử dụng để đưa
dạng toàn phương về dạng chính tắc, và ta luôn có
p+q=r(A) (Hạng của dạng toàn phương đó).
p, q được gọi là các chỉ số quán tính của dạng toàn phương.