












Preview text:
BÀI TẬP ĐẠI SỐ TUYẾN TÍNH
CHƯƠNG 3. KHÔNG GIAN VECTO Bài 1. CMR tập
là một kgvt con của R3 .
Giải: Rõ ràng (0, 0, 0) ∈ W, suy ra W ≠ ∅. . .
Vậy W là một kgvt con của R3.
Bài 2. CMR tập các ma trận chéo cấp n > 1, là một kgvt con của kgvt thực Mn(R)
gồm các ma trận vuông cấp n trên trường số thực.
Giải: Ký hiệu W là tập các ma trận chéo cấp n > 1.
Rõ ràng: - ma trận không O ∈ W.
- ∀ A, B ∈ W, thì A + B ∈ W.
- ∀ α ∈ R, ∀ A ∈ W, αA ∈ W.
Vậy W là một kgvt con của kg Mn(R).
Bài 3. Trong Kgvt R3 cho các vecto x1 = (2, 4, 2), x2 = (4, 9, 6), x3 = (3, 7, 5) và
x = (9, 12, a). Tìm a (nếu có) để vecto x biểu thị tuyến tính được qua 3 vecto x1, x2, x3.
Giải: Để vecto x biểu thị tuyến tính được qua 3 vecto x1, x2, x3 thì phải tồn tại 3 số thực
α1, α2, α3 sao cho: x = α1x1 + α2x2 + α3x3
(9, 12, a) = α1(2, 4, 2) + α2 (4, 9, 6) + α3(3, 7, 5)
= (2α1, 4α1, 2α1) + (4α2, 9α2, 6α2) + (3α3, 7α3, 5α3)
= (2α1 + 4α2 + 3α3, 4α1 + 9α2 + 7α3, 2α1 + 6α2, 5α3)
Các giá trị của a để hpt trên có nghiệm chính là các giá trị của a thỏa yêu cầu bài toán.
Gọi ma trận hệ số và ma trận hệ số mở rộng của hệ phương trình lần lượt là A và
Hệ phương trình có nghiệm r(A) = a + 3 = 0 a = -3 .
Vậy để vecto x biểu thị tuyến tính được qua 3 vecto x1, x2, x3 thì a = -3.
Bài 4. Trong Kgvt R3 cho các vecto x1 = (2, 4, 6), x2 = (3, 2, 5), x3 = (2, 6, a) và
x = (1, 3, 5). Tìm a (nếu có) để vecto x biểu thị tuyến tính được qua 3 vecto x1, x2, x3.
Giải: Để vecto x biểu thị tuyến tính được qua 3 vecto x1, x2, x3 thì phải tồn tại 3 số thực
α1, α2, α3 sao cho: x = α1x1 + α2x2 + α3x3
(1, 3, 5) = α1(2, 4, 6) + α2 (3, 2, 5) + α3(2, 6, a)
= (2α1, 4α1, 6α1) + (3α2, 2α2, 5α2) + (2α3, 6α3, aα3)
= (2α1 + 3α2 + 2α3, 4α1 + 2α2 + 6α3, 6α1 + 5α2, aα3)
Các giá trị của a để hpt trên có nghiệm chính là các giá trị của a thỏa yêu cầu bài toán.
Gọi ma trận hệ số và ma trận hệ số mở rộng của hệ phương trình lần lượt là A và
Hệ phương trình có nghiệm r(A) = a - 8 ≠ 0 a ≠ 8 .
Vậy để vecto x biểu thị tuyến tính được qua 3 vecto x1, x2, x3 thì a ≠ 8.
Bài 5. Trong Kgvt R3 cho họ vecto (u) =
. Hỏi họ vecto (u) độc lập tuyến
tính hay phụ thuộc tuyến tính, với họ (u) được cho như sau:
a) u1 = (1, 2, 3), u2 = (0, 1, 1), u3 = (1, 1, -1).
b) u1 = (2, 0, 3), u2 = (1, 1, 4), u3 = (1, -1, -1). Giải: a)
Cách 1: (Dùng định nghĩa)
Giả sử θ = α1u1 + α2u2 + α3u3
= α1(1, 2, 3) + α2(0, 1, 1) + α3(1, 1, -1)
(0, 0, 0) = (α1 + 0 + α3, 2α1 + α2 + α3, 3α1 + α2 – α3)
Gọi ma trận hệ số của hệ phương trình là A det(A) =
Hệ phương trình trên là hệ Cramer và là hệ thuần nhất
α1 = α2 = α3 = 0. Vậy họ vecto (u) độc lập tuyến tính.
Cách 2: (Dùng ma trận tọa độ)
Gọi A là ma trận tọa độ của họ vecto (u) theo cơ sở chính tắc của Kgvt R3, ta có det(A) =
r(A) = 3. Vậy họ vecto (u) độc lập tuyến tính.
b) (Dùng ma trận tọa độ)
Gọi A là ma trận tọa độ của họ vecto (u) theo cơ sở chính tắc của Kgvt R3, ta có det(A) =
r(A) < 3. Vậy họ vecto (u) phụ thuộc tuyến tính.
Bài 6. Trong Kgvt P2[x] cho 3 vecto p1(x) = x2 - 1, p2(x) = x2 + x + 1 và
p3(x) = x2 - ax - 3. Hãy tìm các giá trị của a để họ vecto (P) = độc lập tuyến tính. Giải:
Cách 1: (Dùng định nghĩa)
Giả sử θ = α1p1(x) + α2p2(x) + α3p3(x)
Hệ phương trình trên là hệ thuần nhất, nó là hệ Cramer khi và chỉ khi a ≠ 1. Vậy họ
vecto (P) độc lập tuyến tính khi và chỉ khi a ≠ 1.
Cách 2: (Dùng ma trận tọa độ)
Kgvt P2[x] có cơ sở chính tắc là:
, với ei(x) = xi, i = 0, 1, 2.
∀ f(x) ∈ P2[x], f(x) = a0 + a1x + a2x2
f(x)/(e) = ( a0, a1, a2 )
Ta có định thức của ma trận tọa độ Q của họ vecto (P) theo cơ sở chính tắc của kgvt P2[x] như sau
Hệ vecto ( P ) độc lập tuyến tính khi và chỉ khi a ≠ 1.
Bài 7. Trong Kgvt M2(R) cho họ vecto (U) = với A =
Chứng minh họ vecto (U) là 1 cơ sở của Kgvt M2(R).
Giải: Ta biết dim[M2(R)] = 4, do đó để chứng minh vecto (U) là 1 cơ sở của kgvt
M2(R) ta chỉ cần chứng minh vecto (U) độc lập tuyến tính (vì số vecto của (U) bằng số chiều của kgvt M2(R) )
Cách 1: (Dùng định nghĩa)
Giả sử θ = α1A + α2B + α3C + α4D
Hệ phương trình trên là hệ Cramer và là hệ thuần nhất. α1 = α2 = α3 = α4 = 0.
Vậy họ vecto (U) độc lập tuyến tính, và do đó là một cơ sở của Kgvt M2(R).
Cách 2: (Dùng ma trận tọa độ)
Kgvt M2(R) có cơ sở chính tắc là: với
∀ A ∈ M2(R), A =
= a1E1 + a2E2 + a3E3 + a4E4
A/E = ( a1, a2, a3, a4 ).
Ta có định thức của ma trận tọa độ P của họ vecto (U) theo cơ sở chính tắc của kgvt M2(R) như sau
r(P) = 4. Vậy họ vecto (U) độc lập tuyến tính, và do đó là một cơ sở của Kgvt M2(R).
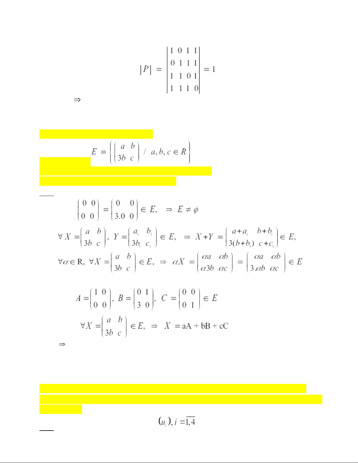
Bài 8. Trong kgvt M2(R) cho tập
a) Chứng minh E là một kgvt con của kgvt M2(R).
b) Tính dim(E) và chỉ ra một cơ sở của E. Giải: a)
Suy ra E là một kgvt con của kgvt M2(R). b) Đặt , ta có
họ vecto ( A, B, C ) là một hệ sinh kgvt con E. Đồng thời cũng dễ kiểm tra
được họ vecto ( A, B, C ) độc lập tuyến tính, vậy họ vecto ( A, B, C ) là một cơ sở của
kgvt con E, và do đó dim(E) = 3.
Bài 9. Trong Kgvt R3 cho các vecto: u1 = (1, 1, 2), u2 = (2, 4, 0), u3 = (3, 5, 2),
u4 = (2, 5, -2) và W = span{ u1, u2, u3, u4 }. Hãy tìm một cơ sở của W và cho biết số chiều của W.
Giải: Ma trận tọa độ của họ vecto
, đối với cơ sở chính tắc của R3 là
. Đặt v1 = (1, 1, 2), v2 = (0, 2, -4).
(v) = (vi), i = 1, 2, là một cơ sở của kgvt W = span{ u1, u2, u3, u4 }, và do đó dim(W) = 2.
Bài 10. Trong Kgvt R4 cho kgvt con W được sinh bởi họ véctơ S = {v1, v2, v3, v4, v5}
với v1 = (1, 1, 2, -1), v2 = (1, 2, 1, 1), v3 = (1, 4, -1, 5), v4 = (1, 0, 4, -1), v5 = (2, 5, 0, 2).
Hãy tìm 1 tập con T (nếu có) của S sao cho T là một cơ sở của W.
Giải: HD: Tương tự như ví dụ ở trang 24 của phần lý thuyết, ta sẽ CM được:
- Hạng của S bằng 3, suy ra dim(W) = 3.
- v3 = -2v1 + 3v2 , v5 = v1 + 2v2 – v4 .
Suy ra T = { v1 , v2 , v4 } là một cơ sở của W.
Bài 11. Giả sử U, W là 2 kgvt con khác nhau của một K-kgvt V. Hãy tìm dim(U∩W),
biết rằng dim(U) = dim(W) = 2, dim(V) = 3.
Giải: Vì U ≠ W, nên
. Từ công thức số chiều của kgvt tổng ta có
dim(U∩W) = dim(U) + dim(W) - dim(U + W) = 2 + 2 - 3 = 1 Vậy dim(U∩W) = 1.
Bài 12. Trong Kgvt R3 cho một họ véctơ (u) = (u1, u2, u3), với u1 = (1, 1, 1), u2 = (1, 2, 3), u3 = (1, 1, 2).
a) CM họ véctơ (u) là một cơ sở của R3.
b) Tìm tọa độ của vectơ x = (6, 9, 14) đối với cơ sở (u).
Giải: a) Ta biết dim(R3) = 3 = số vectơ của họ vectơ (u), do đó để CM họ vectơ (u)
là một cơ sở ta chỉ cần CM họ vectơ (u) độc lập tuyến tính hoặc là một hệ sinh của R3.
Gọi A là ma trận tọa độ của họ vectơ (u) đối với cơ sở chính tắc của R3 , ta có. r(A) = 3,
họ vectơ (u) độc lập tuyến tính và do đó là một cơ sở của R3. b) x /(u) = (1, 3, 2).
Bài 13. Trong kgvt P2[x] cho một cơ sở (P) = với
p1(x) = x2 - 1, p2(x) = x2 + x + 1 và p3(x) = x2 - 2x - 3. Hãy tìm tọa độ của
vecto p(x) = 3x2 + x + 1 đối với cơ sở (P). Giải: Giả sử
p(x) = α1p1(x) + α2p2(x) + α3p3(x)
gọi ma trận hệ số mở rộng của hệ phương trình là , ta có
Lập hệ phương trình tương ứng với ma trận bậc thang ở trên, ta tìm được nghiệm của hpt
là: α1 = -1, α2 = 3, α3 = 1. Vậy .
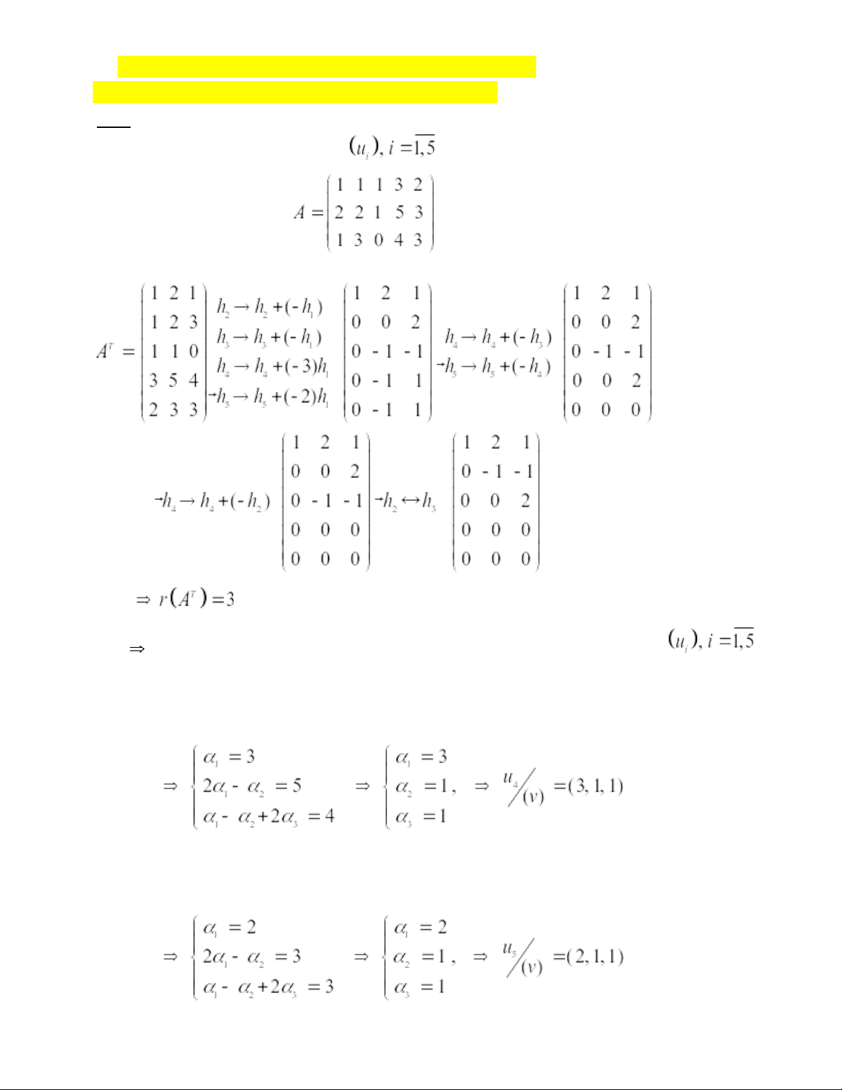
Bài 14. Trong Kgvt R3 cho họ các vecto: u1 = (1, 2, 1), u2 = (1, 2, 3), u3 = (1, 1, 0),
u4 = (3, 5, 4), u5 = (2, 3, 3).
a) Tìm một cơ sở của kgvt con sinh bởi họ các vecto này.
b) Tìm tọa độ của vecto u4 và u5 đối với cơ sở đó. Giải:
a) Ma trận tọa độ của họ vecto
đối với cơ sở chính tắc của R3 là
. Đặt v1 = (1, 2, 1), v2 = (0, -1, -1), v3 = (0, 0, 2).
(v) = (vi), i = 1, 2, 3, là một cơ sở của kgvt sinh bởi họ các vecto . b)
u4 = α1v1 + α2v2 + α3v3
(3, 5, 4) = α1(1, 2, 1) + α2(0, -1, -1) + α3(0, 0, 2)
= ( α1, 2α1 – α2, α1 – α2 + 2α3 )
Tương tự, u5 = α1v1 + α2v2 + α3v3
(2, 3, 3) = α1(1, 2, 1) + α2(0, -1, -1) + α3(0, 0, 2)
= ( α1, 2α1 – α2, α1 – α2 + 2α3 )
Bài 15. Trong Kgvt R3 cho cơ sở chính tắc (e) = (ei) i = 1,2,3 , và cơ sở (u) = (uj) j = 1,2,3 ,
với u1 = (1, 1, 0), u2 = (0, 1, 1), u3 = (1, 0, 1).
a) Tìm ma trận chuyển cơ sở từ cơ sở (e) sang cơ sở (u).
b) Tìm ma trận chuyển cơ sở từ cơ sở (u) sang cơ sở (e).
c) Tìm tọa độ của vectơ x = (-5, 0, 1) đối với cơ sở (u).
Giải: a) Vì (e) là cơ sở chính tắc nên uj /(e) = uj, j = 1,2,3. Vậy ma trận chuyển cơ sở từ
cơ sở (e) sang cơ sở (u) là b)
e1 = α1u1 + α2u2 + α3u3
(1, 0, 0) = α1(1, 1, 0) + α2(0, 1, 1) + α3(1, 0, 1)
= (α1, α1, 0) + (0, α2, α2) + (α3, 0, α3)
= (α1 + α3, α1 + α2, α2 + α3) .
Tương tự ta cũng tính được: .
Vậy ma trận chuyển cơ sở từ cơ sở (u) sang cơ sở (e) là ( Q = P-1 ) c)
Cách 1. (dùng định nghĩa)
x = α1u1 + α2u2 + α3u3
(-5, 0, 1) = α1(1, 1, 0) + α2(0, 1, 1) + α3(1, 0, 1)
= (α1, α1, 0) + (0, α2, α2) + (α3, 0, α3)
= (α1 + α3, α1 + α2, α2 + α3) . Cách 2. (dùng công thức)
Lưu ý: P-1 là ma trận chuyển cơ sở từ cơ sở (u) sang cơ sở (e) ở câu b).
Bài 16. Trong Kgvt P3[x] cho họ vectơ (P) gồm các vectơ p1(x) = 1, p2(x) = x – 1,
p3(x) = (x – 1)2, p4(x) = (x – 1)3.
a) CM (P) là một cơ sở của P3[x].
b) Tìm ma trận chuyển cơ sở từ cơ sở chính tắc (e) = (ei(x))i = 0,1,2,3 của P3[x] sang cơ sở (P).
c) Tìm tọa độ của vectơ f(x) = 2x3 – x + 5 đối với cơ sở (P).
Giải: a) Ta biết dim(P3[x]) = 4 = số vectơ của họ (P) nên để CM (P) là một cơ sở
ta chỉ cần CM họ (P) độc lập tuyến tính.
Giả sử α1 p1(x) + α2 p2(x) + α3 p3(x) + α4 p4(x) = 0, khai triển vế trái của
đẳng thức này ta có được: α1 = α2 = α3 = α4 = 0. Vậy họ vectơ (P) độc lập tuyến
tính, và do đó là một cơ sở của P3[x].
b) Ta có p1(x) = 1, p2(x) = x – 1, p3(x) = x2 – 2x + 1, p4(x) = x3 – 3x2 + 3x - 1
Các vectơ trong cơ sở chính tắc (e) của P3[x] là: ei(x) = xi , i = 0,1,2,3 .
Nhắc lại: ∀ f(x) ∈ P3[x], f(x) = a0 + a1x + a2x2 + a3x3
f(x)/(e) = ( a0, a1, a2, a3 )
Gọi Q là ma trận chuyển cơ sở từ cơ sở chính tắc (e) = (ei(x))i = 0,1,2,3 của P3[x]
sang cơ sở (P), ta có c)
Cách 1. (Dùng định nghĩa)
f(x) = α1 p1(x) + α2 p2(x) + α3 p3(x) + α4 p4(x)
2x3 - x + 5 = α4x3 + (α3 - 3α4)x2 + (α2 -2α3 + 3α4)x + α1 - α2 + α3 – α4
Suy ra: α1 = 6, α2 = 5, α3 = 6, α4 = 2.
f(x)/(P) = ( 6, 5, 6, 2 ). Cách 2. (Dùng công thức)
Ta có Q-1 là ma trận chuyển cơ sở từ cơ sở (P) sang cơ sở (e), khi đó
Bài 17. Trong Kgvt R4 cho họ véctơ S = {x1, x2, x3}, với x1 = (1, 1, 1, 1),
x2 = (1, 2, 3, 4), x3 = (2, 3, 2, 3). Tìm hạng của họ véctơ S.
Giải: Ma trận tọa độ của họ vecto S đối với cơ sở chính tắc của R4 là
. Vậy hạng của họ vecto S bằng 3.
Bài 18. Trong Kgvt R4 cho kgvt con W được sinh bởi họ véctơ S = {v1, v2, v3, v4, v5}
với v1 = (1, 1, 2, -1), v2 = (1, 2, 1, 1), v3 = (1, 4, -1, 5), v4 = (1, 0, 4, -1), v5 = (2, 5, 0, 2).
Hãy tìm một cơ sở của W.
Giải: Ma trận tọa độ của họ vecto S đối với cơ sở chính tắc của R4 là
. Vậy hạng của họ vecto S bằng 3, và kgvt con W có
một cơ sở là: { u1, u2, u3 } trong đó u1 = v1, u2 = v2 – v1, u3 = v1 – 3v2 + v5 .
Bài 19. Trong Kgvt M2(R) cho hai vecto . Tìm tọa độ
của hai vectơ A + B và 2A đối với cơ sở chính tắc của M 2(R). Giải:
Nhắc lại: Kgvt M2(R) có cơ sở chính tắc là: với
∀ X ∈ M2(R), X =
= a1E1 + a2E2 + a3E3 + a4E4
X/(E) = ( a1, a2, a3, a4 ). Ta có A + B = , 2A =
(A + B)/(E) = (-1, 0, -1, 9) = (2, -1, -3, 4) + (-3, 1, 2, 5) = (A)/(E) + (B)/(E) .
(2A)/(E) = (4, -2, -6, 8) = 2(2, -1, -3, 4) = 2.(A)/(E) .