


















Preview text:
BÀI TẬP GIẢI TÍCH 2
CHƯƠNG I. HÀM NHIỀU BIẾN SỐ
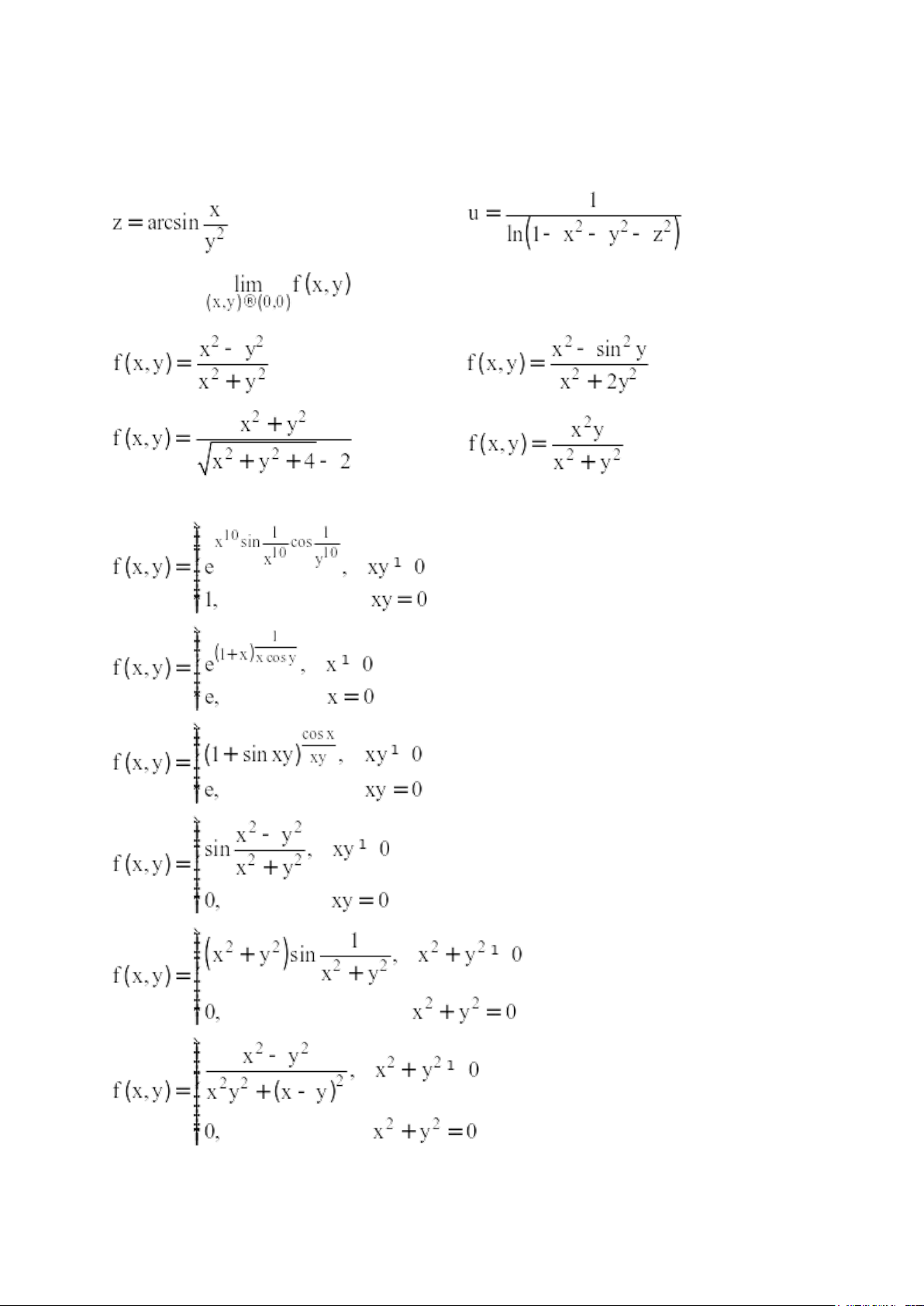
Bài 1. Tìm miền xác định của các hàm số sau: a) b) Bài 2. Tìm giới hạn trong các trường hợp: a) c) b) d)
Bài 3. Xét tính liên tục của các hàm số sau tại các điểm đã cho: a) tại điểm (0,0) b) tại điểm (0,0) c) tại điểm (0,0) d) tại điểm (0,0) e) tại điểm (0,0). f) tại điểm (0,0) 1 g) tại điểm (0,0)
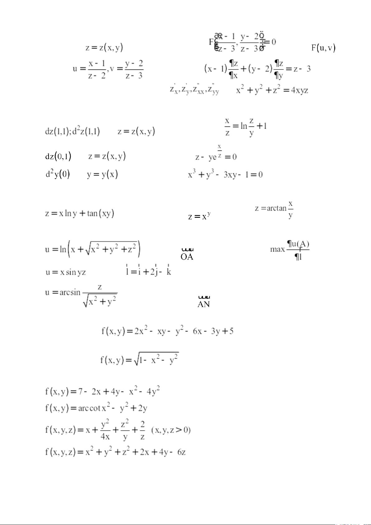
Bài 4. Tìm các đạo hàm riêng của hàm số a) b) Bài 5. Cho hàm số . Tính
bằng định nghĩa. Hàm số có khả vi tại điểm O(0,0) hay không?
Bài 6. Chứng minh rằng hàm số
liên tục taị điểm O(0,0), có cả hai đạo hàm riêng
, nhưng không khả vi tại điểm này.
Bài 7. Khảo sát tính khả vi của hàm số tại điểm (0,0). Bài 8. Cho hàm số . Tính .
Bài 9. Ứng dụng công thức số gia và vi phân toàn phần để tính gần đúng a) c) b) d) Bài 10. Cho
là hàm số xác định bởi hệ thức
trong đó a, b là hằng số,
F là hàm khả vi. Tìm biểu thức . Bài 11. Giả sử
là các hàm khả vi. Đặt và . Chứng minh rằng a) b) . 2 Bài 12. Cho hàm số
xác định từ phương trình (trong đó là hàm khả vi theo . Chứng minh rằng .
Bài 13. Sử dụng quy tắc đạo hàm hàm ẩn để tính biết .
Bài 14. Sử dụng quy tắc đạo hàm hàm ẩn để tìm a) biết
là hàm ẩn xác định từ ; b) biết
là hàm ẩn xác định từ ; c) biết
là hàm ẩn xác định từ
Bài 15. Tìm các đạo hàm riêng cấp hai của các hàm số a) b) c)
Bài 16. Tìm đạo hàm của u tại điểm A trong đó a) theo hướng và điểm A(1,2,-2). Tìm . b) theo hướng tại điểm A(1,3,0). c)
với A (1,1,1) theo hướng , trong đó N(3,2,3). Bài 17. a) Khai triển hàm số
thành công thức Taylor trong lân cận điểm (1,-2). b) Khai triển hàm số
thành công thức Macloranh đến các số hạng cấp bốn.
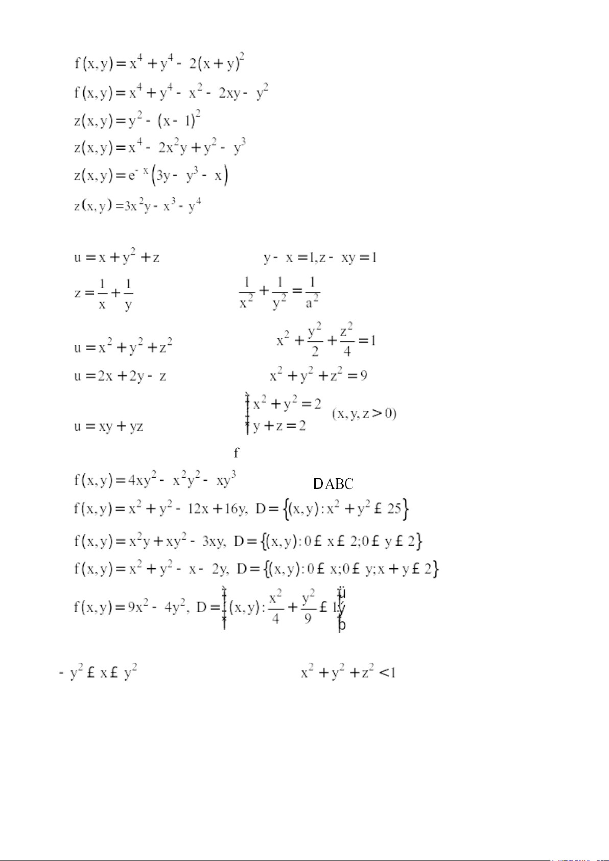
Bài 18. Tìm cực trị của hàm số sau a) b) c) d) 3 e) f) g) h) i) j)
Bài 19. Tìm cực trị có điều kiện a) thỏa mãn điều kiện b) thỏa mãn điều kiện c) thỏa mãn điều kiện d) thỏa mãn điều kiện e) thỏa mãn điều kiện .
Bài 20. Tìm GTLN, GTNN của hàm số trên miền đóng D. a) , trong đó D là với A(0,0), B(0,6), C(6,0) b) c) d) e) Đáp án chương I. 1.a)
trừ những điểm trên Ox; b) trừ gốc tọa độ O 2.a) Không tồn tại; b) 4; c) Không tồn tại; d) 0
3.a) Liên tục; b) Không liên tục; c) liên tục; d) không liên tục; e) Liên tục; f) không liên tục. g) không liên tục. 4 4. a) b) 5.
. Hàm số không khả vi tại (0,0).
7. Hàm số khả vi tại điểm (0,0). 8. . 9. a) 2,95 b) 1,0129 c) 2,0327 d) 1,08 10. 1 13. 14. a) b) c) 16. a) b) c) . 17. a) b) 18. a) Cực đại b) Cực đại c) Cực tiểu d) Cực tiểu e) Cực tiểu
; (0,0) không là cực trị
f) Cực tiểu (1;1), (-1;-1); (0,0) không là cực trị
g) (1;0) không là cực trị. h) Cực đại
; (0, 0) không là cực trị. i)
là cực tiểu; (3;1) không là cực trị. 19. a) Cực tiểu (-1;0;1) b) cực tiểu , cực đại c) cực tiểu , cực đại
d) cực đại (2;2;-1), cực tiểu (-2;-2;1). e) Cực đại (1;1;1) 20. a) b) 5 c) d) e) . 6
CHƯƠNG II. TÍCH PHÂN BỘI
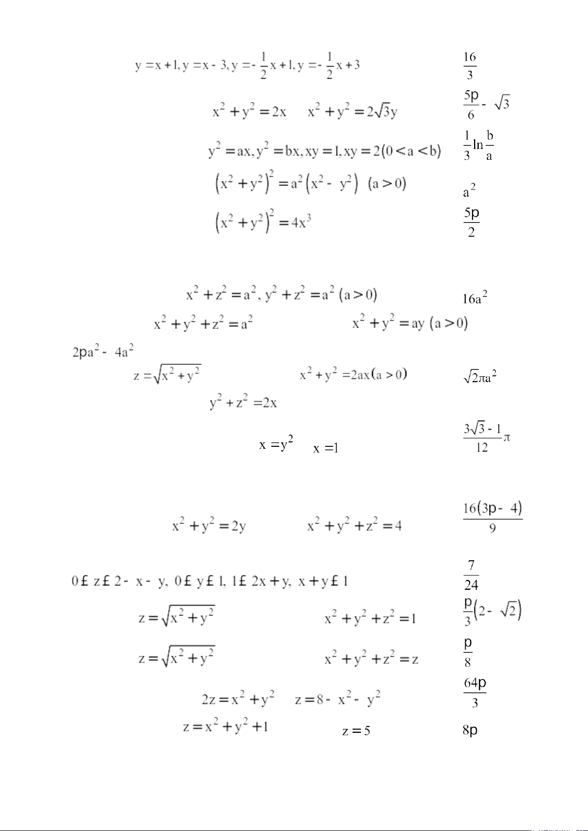
Bài 1. Tính tích phân kép sau trên miền D được chỉ ra a)
với D được giới hạn bởi b)
với D được giới hạn bởi . c) d) e)
với D được giới hạn bởi f)
với D được giới hạn bởi
Bài 2. Đổi thứ tự lấy tích phân rồi tính các tích phân sau a) b)
Bài 3. Dùng phép đổi biến thích hợp, tính các tích phân sau a)
trong đó D là hình giới hạn bời các đường thẳng . b)
trong đó D là miền nằm trong góc phần tư thứ nhất giới hạn bởi các đường thẳng
y=x, y=3x và các hypebol xy=1, xy=3. 7 c)
Bài 4. Dùng công thức đổi biến chứng minh rằng a) b)
Bài 5 Dùng đổi biến tọa độ cực tính các tích phân sau a) b) c) d)
trong đó D là miền nằm trong góc phần tư thứ nhất bị chặn bởi 2 đường tròn . e) ; f) ; g)
Bài 6. Dùng tích phân hai lớp tính diện tích của các hình phẳng 8 a) Giới hạn bởi
b) Nằm trong cả hai đường tròn và
c) Bị chặn bởi các đường cong
d) Giới hạn bởi đường cong (L):
e) Giới hạn bởi đường cong (L):
Bài 7. Tính diện tích của mặt cong
a) Là giao của các mặt trụ b) Là phần mặt cầu nằm trong hình trụ c) Là phần mặt nằm trong hình trụ
d) Là phần mặt paraboloid
nằm trên miền trong góc phần tư thứ nhất (của
mặt Oxy) giới hạn bởi các đường và .
Bài 8. Tính thể tích V của vật thể
a) Giới hạn bởi mặt trụ và mặt cầu
b) Xác định bởi các bất đẳng thức c) Trên mặt nón
và nằm dưới mặt cầu d) Trên mặt nón
và nằm dưới mặt cầu
e) Bị chặn bởi các paraboloid và
f) Bị chặn bởi paraboloid và mặt phẳng 9
g) Giới hạn bởi các mặt cong và
h) Giới hạn bởi các mặt có phương trình
i) Bị chặn bởi hai hình trụ và
Bài 9. Tính thể tích của vật thể giới hạn bởi mặt đóng a) b) .
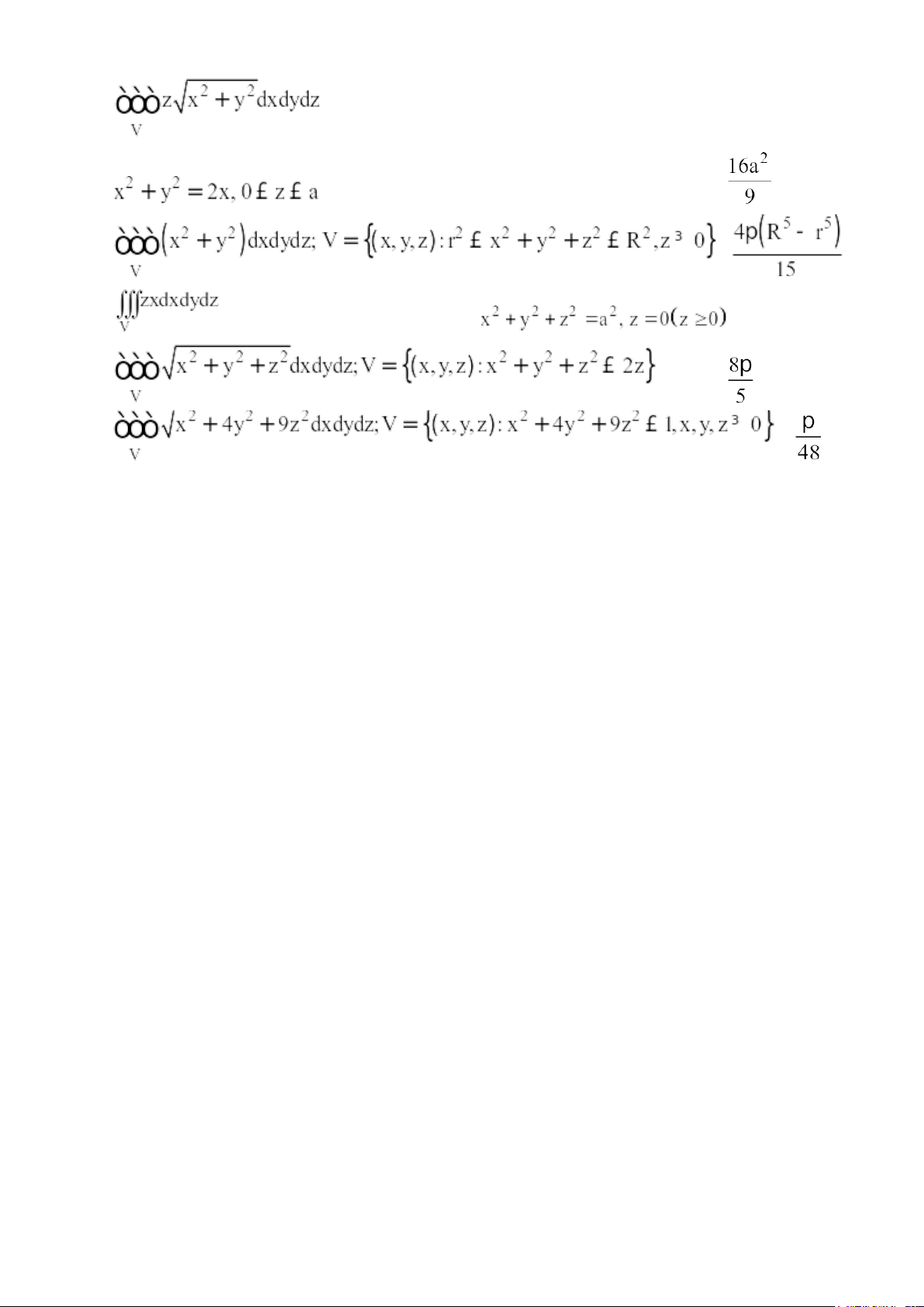
Bài 10. Tính các tích phân bội ba sau a)
trong đó V là miền được giới hạn bởi mặt phẳng b)
trong đó V là miền được giới hạn bởi c) 0 d)
trong đó V giới hạn bởi (Oxy) và hai nửa mặt cầu và e)
trong đó V là vật thể bị chặn bởi (Oxy) và mặt nón f)
trong đó V là vật thể nằm trong mặt cầu và trên mặt nón 10 g)
trong đó V là vật thể giới hạn bới mặt trụ h) ; i)
trong đó V là vật thể giới hạn bới 0 j) k) ; 11
CHƯƠNG III. TÍCH PHÂN ĐƯỜNG VÀ TÍCH PHÂN MẶT
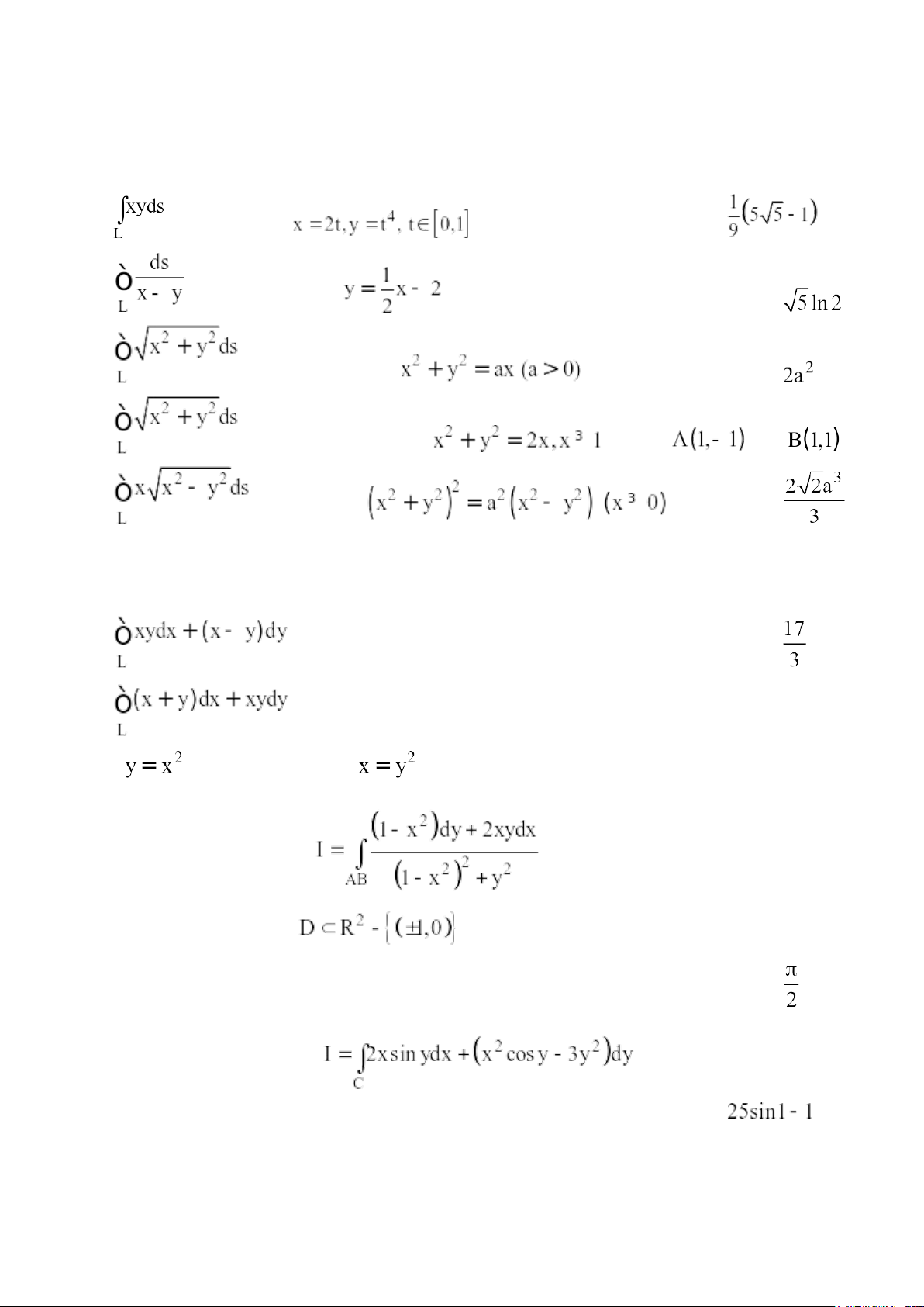
Bài 1. Tính tích phân đường loại một sau a) với L là đường b) với L là đoạn thẳng
nằm giữa hai điểm A(0;-2) và B(4;0) c) với L là đường tròn d)
với L là nửa đường tròn chạy từ đến e) với L là đường
Bài 2. Tính các tích phân đường loại hai sau: a)
trong đó L là đường gấp khúc OAB với O(0,0); A(2,0); B(3,2). b)
trong đó L là cung nối O(0,0) với A(1,1) theo đường i) ii)
iii) gấp khúc OBA với B(0,1)
Bài 3. Chứng minh rằng tích phân
không phụ thuộc vào đường lấy tích phân
trong miền đơn liên, liên thông
. Tính I nếu AB là đường bất kỳ không cắt Ox đi từ A(0,0) tới B(1,1).
Bài 4. Chứng minh rằng tích phân
không phụ thuộc vào đường
lấy tích phân. Tính I nếu C là đường bất kỳ nối A(-1,0) tới (5,1).
Bài 5. Tính tích phân sau theo hai cách: trực tiếp và dùng công thức Green: 12 a)
với L là hình chữ nhật OABC với O(0,0), A(2,0), B(2,3), C(0,3) b) với L là cung
nối A(0,-a) đến B(0,a) trong đó a>0.
Bài 6. Dùng công thức Green tính các tích phân sau a)
trong đó C là đường tròn
lấy theo chiều ngược kim đồng hồ. b) với L là cung tròn
lấy theo chiều tăng của t: . c)
với L là nửa đường tròn đi từ O(0,0) đến A(0,2). d)
trong đó L là đường tròn lấy theo chiều dương. e) với L là đường cong chạy từ đến O(0,0).
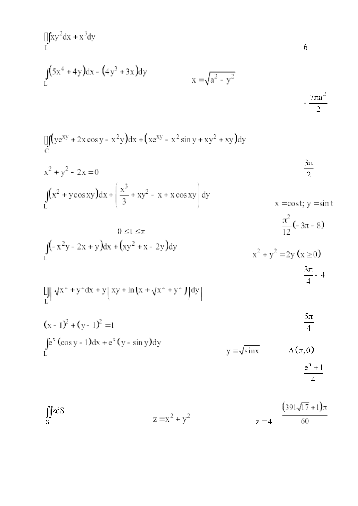
Bài 7. Tính các tích phân mặt loại một sau: a)
với S là phần mặt paraboloid nằm dưới mặt phẳng 13 b)
trong đó S là phần mặt cầu c)
với S là phần mặt trụ
nằm giữa hai mặt phẳng và mặt phẳng . d) Tính tích phân mặt:
trong đó S là phần mặt nón tròn xoay bị chắn giữa hai mặt trụ và .
Bài 8. Tính các tích phân mặt loại hai sau: a)
trong đó S là phía ngoài của mặt nón (không kể đáy) b)
trong đó S là phần mặt cầu
nằm ở góc phần tám thứ
nhất và hướng ra ngoài. c)
trong đó S là mặt xung quanh của tứ diện giới hạn bới các mặt phẳng và mặt
và hướng ra phía ngoài. d)
trong đó S là phía ngoài của mặt cầu .
Bài 9. Dùng định lý Stokes tính các tích phân sau: a)
trong đó L là elip giao bởi mặt trụ và mặt phẳng
(a>0) có hướng ngược chiều kim đồng hồ nếu nhìn từ phía dương của trục Oz nhìn xuống. b)
trong đó L là đường tròn
lấy theo chiều ngược chiều
kim đồng hồ khi nhìn từ bên trên. 14 c)
trong đó L là đường cong có hướng ngược
chiều kim đồng hồ khi nhìn từ bên trên.
Bài 10. Dùng công thức Ostrogradski – Gauss đề tính các tích phân sau: a)
với S là phía ngoài của nửa mặt cầu
(không kể phần hình tròn nằm trong mặt phẳng Oxy). b)
có S là mặt xung quanh của khối trụ
(không kể hai đáy) hướng ra ngoài. c)
có S là mặt xung quanh của khối trụ
(không kể hai đáy) hướng ra ngoài. d) với S là mặt nón không
kể đáy và hướng ra ngoài. e) có S là mặt cầu hướng ra ngoài. f) có S là mặt cầu hướng ra ngoài. 0 g)
trong đó S là mặt ngoài của vật thể V giới hạn bởi: ; h)
có S là phía ngoài của mặt nằm trong góc phần tám thứ nhất tạo nên bởi mặt
và các mặt phẳng tọa độ x=0,y=0,z=0. 15
CHƯƠNG IV: PHƯƠNG TRÌNH VI PHÂN
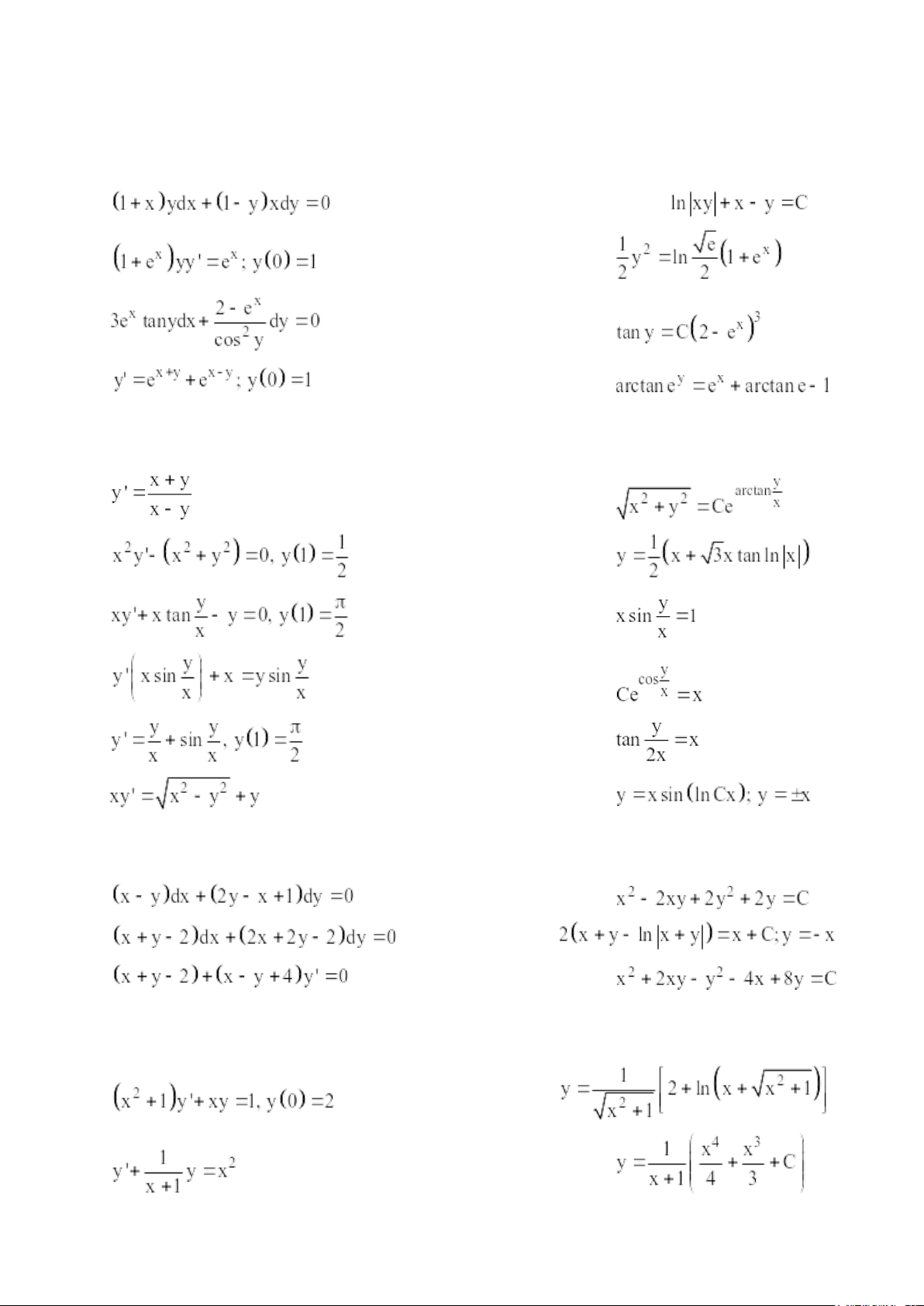
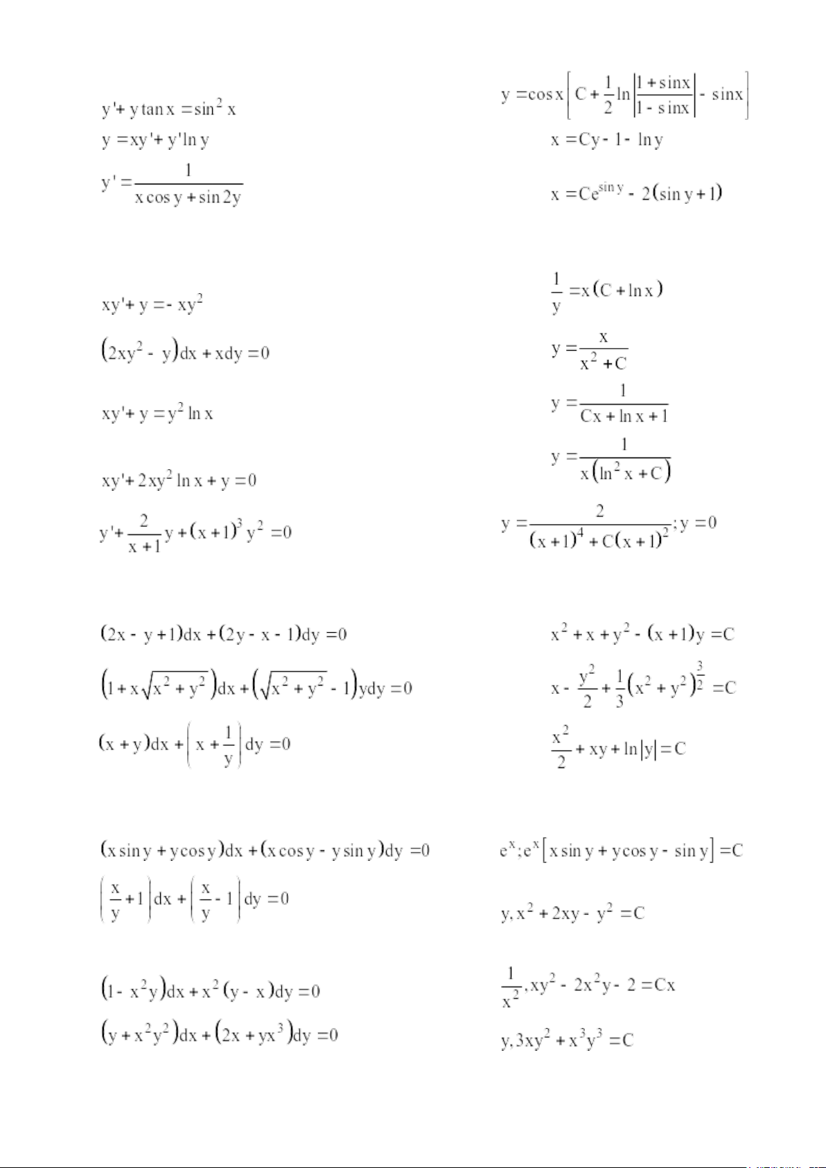
Bài 1. Giải các phương trình tách biến sau: a) b) c) d)
Bài 2. Giải các phương trình vi phân đẳng cấp (thuần nhất) sau: a) b) c) d) e) f)
Bài 3. Giải các phương trình đưa được về phương trình thuần nhất sau: a) b) c)
Bài 4. Giải các phương trình vi phân tuyến tính sau: a) b) 16 c) d) e)
Bài 5. Giải các phương trình vi phân Bernoulli: a) b) c) d) e)
Bài 6. Giải các PTVP toàn phần sau: a) b) c)
Bài 7. Giải các PTVP dùng thừa số tích phân sau: a) b) c) d) 17 e) f)
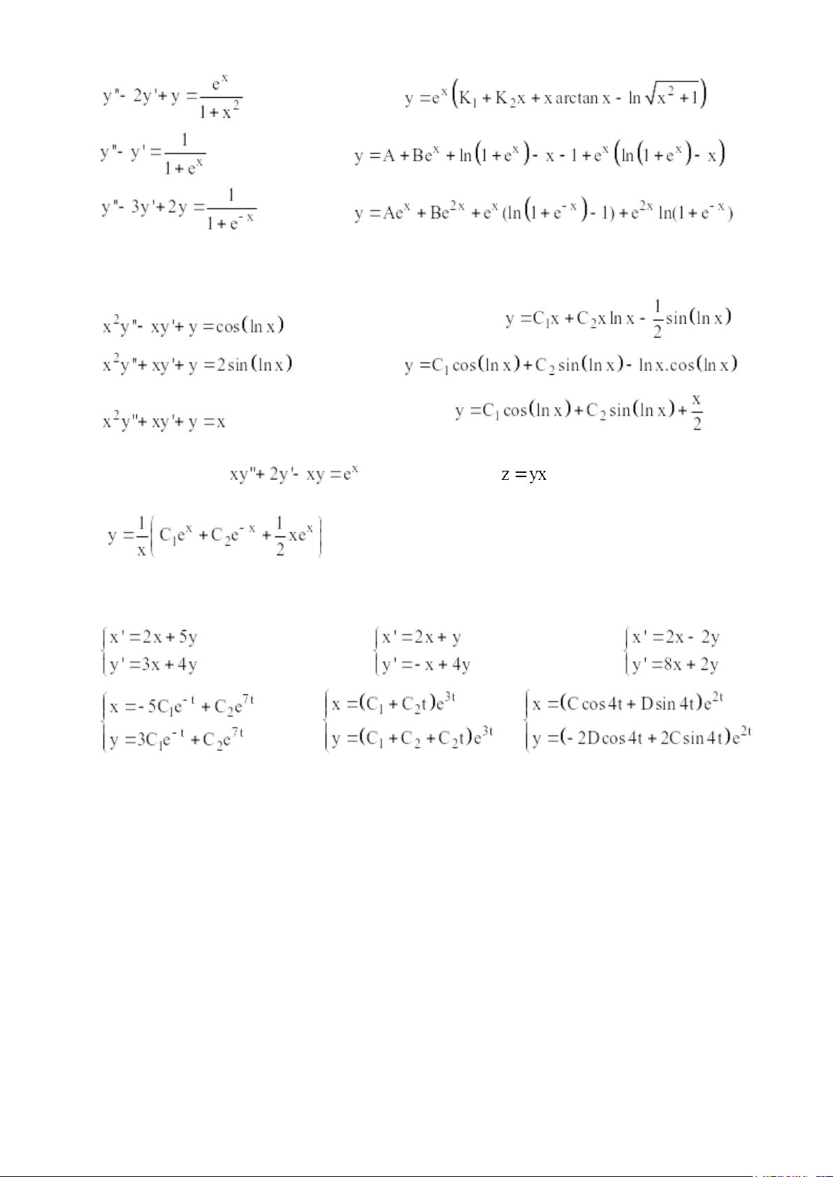
Bài 8. Tìm nghiệm riêng của PTVP sau thỏa mãn điều kiện đã cho: a) b) c)
Bài 9. Giải các PTVP sau bằng phương pháp hệ số bất định: a) b) c) d) e) f) g) h) i) j)
Bài 10. Giải các PTVP sau bằng phương pháp biến thiên hằng số Lagrange: a) 18 b) c) d)
Bài 11. Giải các phương trình Euler sau: a) b) c)
Bài 12. Giải phương trình bằng phép đổi hàm Đáp số.
Bài 13. Giải các hệ PTVP sau: a) b) c) a) b) c) 19