





Preview text:
By Teacher Assistant Calculus 2: Lê Thành Đạt
SUMMARY Second Order Different Equation
1. Homogeneous equation with constant coefficient ( phương trình
thuần nhất với các hệ số là hằng số ) 1.1.
Form : y' '+ p y'+ qy=0
Với p, q là các hằng số. • Solution:
• NOTE: trong các solution anh ghi, các biến x hay t thì bản
chất vẫn là biến vi phân đề cho, mấy đứa có thể chỉnh sửa
tùy vào đề cho đó là phương trình vi phân theo biến gì.
• Find Solution with IVP ( Initial value problem ) :
Như chương vi phân bậc 1, khi đề có điều kiện ban đầu thì ta
chỉ việc thay điều kiện đó vào solution ta tìm được để suy ra
các hằng số chưa biết.
2. Homogeneous equation with continuous function ( pt thuần
nhất với hệ số là các hàm liên tục )
• Form: y' '+ p (t ) y' +q (t ) y=0
Với p(t) và q(t) là các hàm liên tục • Solution : o
• Find y ( x ) v à y ( x) 1 2 ?
o Nếu đề cho sẵn y (x ) v à y ( x) thì đó sẽ là dạng toán check 1 2
xem y (x ) v à y (x ) 1 2
có phải là 1 solution thỏa mãn đề không.
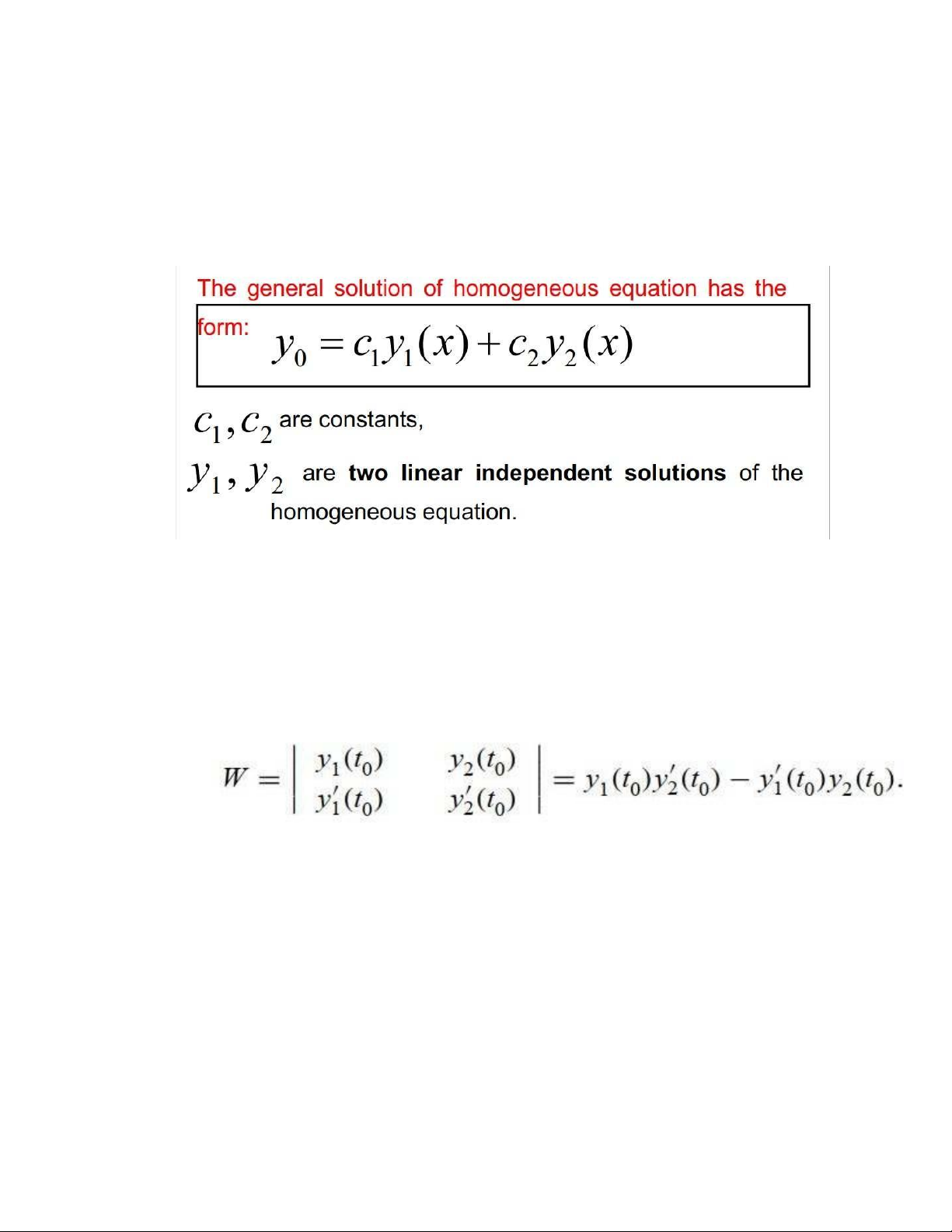
▪ Cách giải cho dạng này là dùng định thức Wronskian ( Wroskian determinant )
▪ Wroskian determinant Form:
▪ t 0 là điều kiện ban đầu ( IVP )
▪ Nếu Wroskian ta tính được là 1 hàm khác 0, thì y (t ) , y (t ) 1 2 là
fundamental solutions , và ta hình thành được general solution
như sau: y =c y (t )+c y ( t ) 0 1 1 2 2 với c1, c2 là hằng số. Example:
• Nếu Đề không cho sẵn y (t ) và y (t ) 1 2 thì ta phải đi tìm nó
• Cách tìm: Ta sẽ phải đoán 1 nghiệm y (t ) 1
của phương trình, cách để đoán
thì chỉ việc thay ngược y (t ) 1
lên đề nếu nó thỏa thì đúng, cái này dùng
kinh nghiệm giải bài nhiều mấy đứa sẽ quen, dạng này bên PFIEV anh
thấy trong sách k có bài tập nên cứ làm phòng hờ thôi.
• Sau đó tìm y (t ) 2 bằng cách
• Sau đó kết luận general solution y =c y (t )+c y ( t ) 0 1 1 2 2 Example:
3. Nonhomogeneous Equation ( phương trình không thuần nhất ) Solution: y = y + y general 0 r
• y0: là nghiệm của phương trình thuần nhất o
• yr : nghiệm riêng của pt không thuần nhất. Ta sẽ xét 2 trường hợp của f(x) o o TH1:
• NOTE: Mấy đứa sẽ check nếu α không trùng với nghiệm k1 k2 mấy đứa
giải ở trên y0 thì s = 0, và tương tự cho các case còn lại o TH2: Example:
Phần tìm nghiệm riêng này có thể hơi khó hiểu, nên nếu đọc không
hiểu thì có thể hỏi lại anh !