





Preview text:
4. Phân tích số của mô hình mở rộng
Trong phần này, chúng tôi mô tả cách chúng tôi tạo ra tập hợp các vấn đề được sử
dụng trong các thí nghiệm số và phân tích dựa trên kết quả của các thí nghiệm số.
Là một phần mềm giải, chúng tôi đã sử dụng IBM ILOG CPLEX Studio IDE
v.12.7.1 trên máy có bộ xử lý Intel® Core ™ i5-6200U CPU @ 2,30 GHz và RAM 12 GB.
4.1 Tạo ra các vấn đề ngẫu nhiên
Sử dụng mô hình mở rộng, chúng tôi đã thực hiện một số phân tích số. Chúng tôi
đã tạo ra 5 vấn đề ngẫu nhiên với 3 loại hàng tồn kho có thể luân chuyển khác
nhau làm tập hợp các vấn đề cơ bản. Về số lượng trao đổi, nói cách khác là nhu
cầu luân phiên, chúng tôi đã sử dụng số lượng trao đổi tương tự như trường hợp
được đưa ra trong Erkoc và Ertogral (2016). Trong trường hợp này, có 80 trao đổi
với khách hàng đã xác định ngày đến hạn trong khoảng thời gian 5 năm. Mô-đun
này là thiết bị hạ cánh của một loại máy bay phản lực cụ thể trong khu vực. Trong
các vấn đề của chúng tôi, có 36 cuộc trao đổi với ngày đến hạn do khách hàng chỉ
định trải đều và ngẫu nhiên trong khoảng thời gian lập kế hoạch 2 năm (từ ngày 1
đến ngày thứ 720) cho mỗi loại có thể quay vòng. Giá trị của 36 cho các sàn giao
dịch được cố định dựa trên tỷ lệ tương ứng của 2 năm đến 5 năm để chúng tôi ít
nhiều đại diện cho mật độ trao đổi trong trường hợp thực, trong các vấn đề của
chúng tôi. Hơn nữa, chúng tôi giả định rằng mỗi năm có 360 ngày và do đó 90
ngày mỗi quý. Chúng tôi đã giải quyết năm vấn đề này theo 3 kịch bản tỷ lệ chi
phí giữ hàng tồn kho khác nhau và 11 mức thu nhập tối đa khác nhau. Chi phí
giữ hàng tồn kho hàng năm được sử dụng là 7%, 14% và 20% vì nó được đưa
ra trong Hiệp hội Vận tải Hàng không Quốc tế (2015) rằng hầu hết các hãng hàng
không có tỷ lệ chi phí giữ hàng tồn kho cao hơn đạt, thậm chí vượt quá. 20%. 11
mức độ tai nghe tối đa khác nhau được sử dụng là 0, 1, 2, 3, 4,5, 6, 8, 10, 12 và
14 ngày và sau 14 ngày, kết quả sẽ không thay đổi vì ràng buộc này đủ lỏng. Như
vậy, tổng cộng, chúng ta đã giải được 165 (= 5x3x11) bài toán khác nhau.
Chúng tôi đã giải quyết những vấn đề này với giới hạn nửa giờ về thời gian tính
toán và khoảng cách tối ưu trung bình trên tất cả các vấn đề là 1,85%. Phần còn lại
của dữ liệu chi phí là giống nhau trong tất cả 165 vấn đề.
Chi phí cho mỗi công nhân mỗi ngày, như mức lương thông thường hàng
ngày, được thiết lập dựa trên một nghiên cứu lao động dịch vụ của MRO kết
luận rằng tiền lương theo giờ cho mỗi công nhân là khoảng 56 đô la (Derber
(2017)). Chi phí cho mỗi giờ làm thêm, được tính bằng 1,5 lần tiền lương theo
giờ thông thường theo quy định thường gặp của luật lao động và thực tiễn. Hệ số
giới hạn giờ làm thêm được cố định ở mức 0,25. Ở Wesselbaum (2014), người ta
ước tính rằng chi phí sa thải bằng 30% tiền lương hàng quý ở Hoa Kỳ. Dựa trên
điều kiện thực tế, chúng tôi xác định chi phí sa thải một công nhân, C, vì C. Chi
phí thuê một công nhân, C, được đặt thành một phần nhỏ của chi phí sa thải. Một
công nhân được giả định dành tối đa 8 giờ làm việc trong một ngày làm việc bình
thường và số lượng công nhân ban đầu được cố định ở 20. Chế độ cấp tốc và
(35,25,30) đối với chế độ thông thường. Khi chúng tôi sửa các thông số thời gian
đại tu này, chúng tôi đã xem xét thời gian đại tu 30 ngày cho một loại thiết bị hạ
cánh, là một mô-đun quay điển hình, từ đó là casegivenin Erkoc và Ertogral
(2016). Giả sử một phân xưởng gồm 5 công nhân lành nghề, chúng tôi có thể quy
đổi thời gian đại tu theo ngày theo giờ công. Ví dụ: hãy xem xét trường hợp thời
gian đại tu thông thường là 30 ngày và thời gian đại tu nhanh là 10 ngày đối với
mô-đun có thể quay. Thời gian đại tu thông thường là 30 ngày sẽ tương đương với
30x8x5 = 1200 giờ công và a = 8x5 = 40 giờ mỗi ngày . Bây giờ, ở chế độ nhanh
nếu thời gian đại tu giảm xuống 10 ngày, điều đó có nghĩa là a = 1200/10 = 120 giờ
mỗi ngày. Theo cách này, chúng tôi xác định và áp dụng cho tất cả các loại mô-đun
có thể quay. Do đó, chúng tôi đã giải quyết được một vấn đề mà không bị ràng
buộc ngân sách là 0 và tỷ lệ chi phí nắm giữ hàng tồn kho là 20%, thể hiện vấn đề
với nhu cầu hàng tồn kho tương đối cao. Chúng tôi đã sử dụng giá trị của hàng tồn
kho trong giải pháp của vấn đề này như là giới hạn ngân sách trong tất cả các vấn
đề. Kết quả là, sử dụng giá mua của các loại hàng tồn kho, D được đặt là 24 triệu
đô la. Đối với các vấn đề đã được giải quyết, mỗi trường hợp bao gồm 89.407 biến
quyết định với 77.868 là biến nhị phân và mỗi trường hợp có 863.607 ràng buộc.
4.2 Phân tích kết quả
Kết quả chúng tôi thu được trong phân tích số được tóm tắt trong các hình sau.
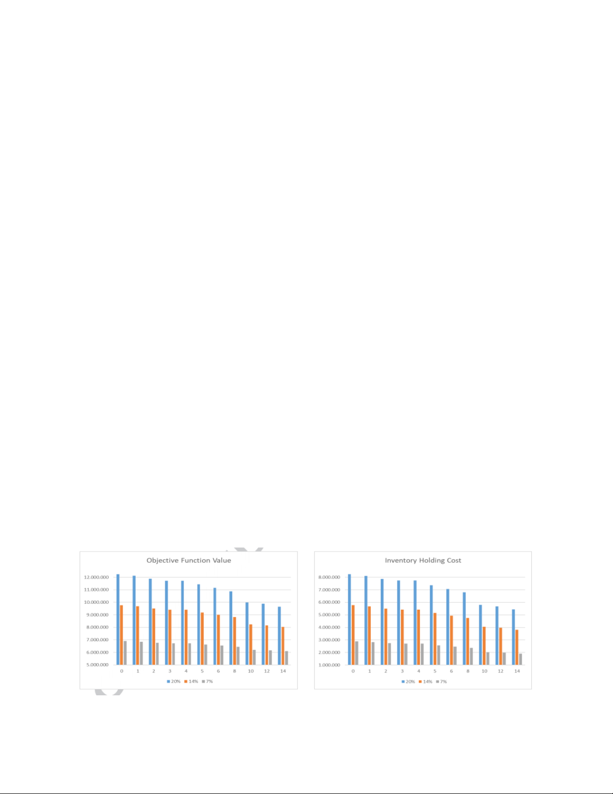
Hình 2: Độ nhạy của hàm mục tiêu và chi phí nắm giữ hàng tồn kho đối với
tham số mức độ tai hại tối đa là trung bình trong năm vấn đề
Hình 3: Độ nhạy của hàm mục tiêu và chi phí nắm giữ hàng tồn kho đối với
tham số mức lương tối đa cho vấn đề 1.
Hình 2 cho thấy các giá trị mục tiêu và chi phí nắm giữ hàng tồn kho đối với từng
mức thu nhập tối đa và cho ba mức khác nhau của tỷ lệ chi phí nắm giữ hàng tồn
kho. Mỗi thanh đại diện cho mức trung bình của 5 vấn đề chúng tôi đã giải quyết.
Hình 3 hiển thị các giá trị tương tự cho vấn đề 1 làm ví dụ. Từ những âm mưu này,
rõ ràng rằng việc nới lỏng độ trễ tối đa dẫn đến giảm mục tiêu, như người ta có thể
mong đợi vì vấn đề sẽ ít bị hạn chế hơn khi chúng ta tăng độ trễ tối đa. Biểu đồ
trong Hình 2 cho thấy rằng sự giảm giá trị mục tiêu trung bình như một hàm của
mức thu nhập tối đa có thể là đáng kể, đặc biệt đối với các trường hợp tỷ lệ chi phí
nắm giữ hàng tồn kho cao. Mục tiêu trung bình giảm xuống theo tỷ lệ phần trăm
lần lượt là 21,1%, 17,4% và 11,1% cho các kịch bản tỷ lệ chi phí nắm giữ hàng tồn
kho 20%, 14% và 7% khi chúng ta đi từ mức độ tích lũy tối đa 0 ngày lên 14 ngày.
Những sụt giảm trong mục tiêu này chỉ đến từ việc giảm chi phí giữ hàng tồn kho
và các thành phần chi phí khác, như chúng ta có thể thấy trong các bảng bên dưới,
thực sự tăng lên khi chúng tôi tăng tham số độ trễ tối đa. Hàm mục tiêu có tương
quan chặt chẽ với chi phí giữ hàng tồn kho như chúng ta có thể thấy trong Hình 2
và 3. Chúng tôi nhận thấy rằng mục tiêu tổng không thay đổi đáng kể khi chúng tôi
tăng mức thu nhập tối đa lên các giá trị lớn hơn 14 ngày.
Nếu chúng ta nhìn vào các khe giá trị mục tiêu trong cả Hình 2 và Hình 3, chúng ta
có thể thấy, ít nhiều, một loại hàm bước giảm trong tổng chi phí mà chúng ta tăng
độ tai tối đa. Ví dụ, nếu chúng ta xem xét giá trị mục tiêu của Hình 2, chúng ta có
thể nói rằng có những mức giảm đáng kể khi chúng ta đi từ 1 đến 2, 4 xuống 5 và 8
đến 10 ở mức độ tai hại tối đa, và lần giảm cuối cùng là mức đáng kể nhất. Chúng
ta có thể thấy một hiện tượng tương tự khi chúng ta kiểm tra biểu đồ giá trị mục
tiêu cho vấn đề 1 trong Hình 3. Một nhà quản lý chúng tôi rút ra từ mô hình này
Nếu một MROfirm là để thương lượng thông số về độ tai tối đa với các công ty
hàng không, thì nó phải biết các giá trị ngưỡng mà ở đó có sự sụt giảm đáng kể
trong chi phí sản xuất của nó và công ty nên xem xét rằng nó sẽ là chi phí khôn
ngoan khác nhau giữa các giá trị ngưỡng này. Hình 2 và Hình 3 cho thấy nếu chi
phí giữ hàng tồn kho tăng cao, thì mức thu nhập tối đa sẽ trở thành một thông số
quan trọng hơn để thương lượng với các hãng hàng không khách hàng.
Hình 4: Mức độ nhạy cảm của thời gian thường xuyên và tiền lương làm thêm giờ
đối với mức lương tối đa
Nhìn chung, nếu chúng ta xem xét các chi phí thường xuyên và chi phí tối ưu cho
trong Hình 4, chúng ta có thể nói rằng, khi chúng ta tăng mức tiêu thụ tối đa cho
chúng, chúng ta giảm mức tồn kho để tiết kiệm tổng chi phí nhưng chúng ta có xu
hướng sử dụng nhiều lao động hơn để bắt kịp nhu cầu . Bởi vì giảm hàng tồn kho
có nghĩa là chúng ta phải đại tu nhiều hơn mỗi khoảng không quảng cáo có thể
luân chuyển và bằng cách tăng lao động, chúng ta sẽ giảm thiểu tác động của các
hạn chế chặt chẽ hơn về hàng tồn kho. mô-đun 30/5 = 6 lần, nhưng nếu chúng tôi
có 3 đơn vị trong kho, chúng tôi sẽ đại tu mỗi đơn vị 30/3 = 10 lần. Những vấn đề
của chúng tôi là 8 ngày. Nếu không, công ty không thể giảm hàng tồn kho để
hưởng lợi từ việc tăng khả năng kiếm tiền tối đa.
Hình 5: Phân bổ chi phí
Hình 5 cho thấy sự phân bổ của các thành phần chi phí. Như chúng ta có thể thấy
hai thành phần chi phí chính trong tất cả các vấn đề được giải quyết là chi phí giữ
hàng tồn kho và tiền lương thường xuyên. Khi tham số mức lương tối đa tăng,
phần trăm chi phí hàng tồn kho tăng và phần trăm tiền lương thông thường giảm do
chúng tôi giảm hàng tồn kho để tiết kiệm chi phí trong khi chúng tôi nâng cao năng
lực của lực lượng lao động để giảm thiểu tác động của các hạn chế chặt chẽ hơn về
hàng tồn kho như chúng tôi đã chỉ ra trước đó. Nói cách khác, 10% tổng chi phí
dịch chuyển từ hàng tồn kho sang mức lương không thường xuyên từ mức lương
tối đa 0 đến mức lương tối đa 14 ngày. Khi chúng tôi tính toán chi phí hàng tồn
kho trung bình theo tỷ lệ phần trăm của tổng mục tiêu, chúng tôi nhận thấy rằng
các giá trị phần trăm này là 63,1%, 54,7%, 37,7% cho ba trường hợp chi phí hàng
tồn kho tương ứng. Các giá trị tỷ lệ phần trăm tương tự đối với tiền lương thông
thường lần lượt là 33,4%, 41,1% và 56,6%.
Hình 6: Mức độ nhạy cảm của chi phí tuyển dụng và sa thải đối với mức lương tối đa
Từ tổng số kịch bản tuyển dụng và sa thải trong Hình 6 ở trên, chúng ta có thể thấy
rằng nếu chúng ta tăng mức thu nhập tối đa lên một giá trị vượt quá 8 ngày, chúng
ta bắt đầu thấy sự gia tăng đặc biệt là chi phí thuê và sa thải. Điều này được mong
đợi vì chúng ta có xu hướng tăng năng lực lực lượng lao động ở các giá trị cao của
mức lương tối đa vì lý do đã được giải thích ở các đoạn trước.