








Preview text:
CHƯƠNG 3: THỊ TRƯỜNG SẢN PHẨM VÀ CẤU TRÚC NGÀNH
1. Thị trường, cầu và cung
Thị trường (Market): Thị trường bao gồm một tập hợp những người mua và
người bán sản phẩm hoặc dịch vụ cụ thể
- Người mua xác định cầu thị trường
- Người bán xác định cung thị trường
Cạnh tranh hoàn toàn (cạnh tranh hoàn hảo) - Sản phẩm đồng nhất
- Người mua và người bán là người chấp nhận giá thị trường
Độc quyền hoàn toàn (độc quyền thuần túy) - Một người bán
- Người bán kiểm soát giá (Price market) Độc quyền nhóm
- Một số ít người bán với quy mô lớn
- Mức độ cạnh tranh thấp
Cạnh tranh mang tính độc quyền - Nhiều người bán - Sản phẩm khác biệt
Cầu thị trường (Market demand): Diễn đạt thái độ và khả năng sẵn sàng mua
của người tiêu dùng về một hàng hóa, dịch vụ
Số lượng cầu (Qd): Số lượng hàng hóa dịch vụ người tiêu dùng sẵn lòng mua
trong một đơn vị thời gian
Hàm số cầu tổng quát: Qd= f(P,I,Ta,Py,Pe,N) Trong đó: P: Giá của hàng hóa
I: Thu nhập của người tiêu dùng
Ta: Sở thích, thị hiếu người mua
Py: Giá của hàng hóa liên quan Pe: Kỳ vọng giá N: Quy mô thị trường
Dạng hàm cầu tuyến tính
Di chuyển và dịch chuyển của đường cầu theo giá
Di chuyển trên đường cầu:
- Giá sản phẩm thay đổi, các nhân tố khác không đổi
- Khi giá sản phẩm tăng lên, số lượng cầu sản phẩm người mua giảm
Dịch chuyển của đường cầu:
- Khi một trong các nhân tố khác ngoài giá sản phẩm thay đổi
- > Số lượng cầu tăng (hoặc giảm) ở mỗi mức giá
- > Đường cầu sản phẩm dịch chuyển sang phải (hoặc sang trái) -
Cung thị trường (Market supply): Diễn đạt thái độ và khả năng sẵn sàng bán
của người sản xuất/ kinh doanh về một hàng hóa
Số lượng cung (Qs): Số lượng hàng hóa mà người sản xuất/ kinh doanh sẵn
lòng bán trong một đơn vị thời gian Trong đó: P: giá cả của hàng hóa
PI: Giá cả đầu vào sản xuất Te: công nghệ sản xuất
G: Chính sách của chính phủ Pe: Kỳ vọng giá W: Thời tiết, khí hậu
Di chuyển và dịch chuyển đường cung
Di chuyển trên đường cung:
- Khi giá sản phẩm thay đổi, các nhân tố khác không đổi
-> Khi giá tăng lên, số lượng cung sản phẩm tăng
Dịch chuyển của đường cung
- Khi một trong các nhân tố khác ngoài giá sản phẩm thay đổi, số lượng
cung tăng (hoặc giảm) ở mỗi mức giá -> Đường cung sản phẩm dịch
chuyển sang phải (hoặc sang trái)
Xác định giá thị trường
- Giá cân bằng thi trường đạt được khi số lượng cầu bằng số lượng cung
- Tại các mức giá khác mức giá cân bằng
Thị trường bất cân bằng Dư thừa Thiếu hụt
-> Cơ chế tự điều chỉnh về trạng thái cân bằng
2. Lý thuyết định giá
Để tối đa hóa phúc lợi của cổ đông, nhà quản trị đề xuất chiến lược định giá và
quyết định sản lượng đầu ra với mục tiêu tối đa hóa giá trị hiện tại dòng lợi nhuận
trong tương lai của doanh nghiệp Nhận thức: - Khách hàng - Đối thủ cạnh tranh
- Các điều kiện thi trường
- Khả năng huy động vốn
- Các nguồn lực sẵn có
- Các rào cản chính trị, xã hội
Các thành phần của mô hình kinh doanh - Thị trường mục tiêu - Định vị giá trị
- Vị trí trong chuỗi giá trị - Nguồn doanh thu
- Xác định các giới hạn (biên) - Giá trị mạng lưới - Nhu cầu đầu tư
- Chiến lược cạnh tranh Các quyết định - Sản lượng sản xuất - Định giá sản phẩm - Marketing - Chuỗi cung cấp - Hệ thống phân phối
- Dòng tiền mặt cho chủ nợ và chủ sở hữu
2.1. Tổng quan về định giá
Quyết định về định giá bán sản phẩm phải xuất phát từ những quy luật khách
quan của nền kinh tế thị trường (ql Cung - cầu, ql cạnh tranh, ql giá trị)
Quyết định về định giá bán phải dựa trên các chính sách kinh tế của mỗi quốc
gia (thuế suất, ngoại tệ, lạm phát)
Quyết định về định giá bán phải dựa trên mục tiêu, chi phí DN
Ý nghĩa của định giá bán:
- Giá bán tác động tới doanh thu và lợi nhuận của DN
- Giá bán thể hiện trình độ tổ chức và quản lý các yếu tố sản xuất của DN
- Giá bán là thước đo thể hiện giá trị của sản phẩm
- Với mỗi loại thị trường khác nhau, các định giá có thể khác nhau
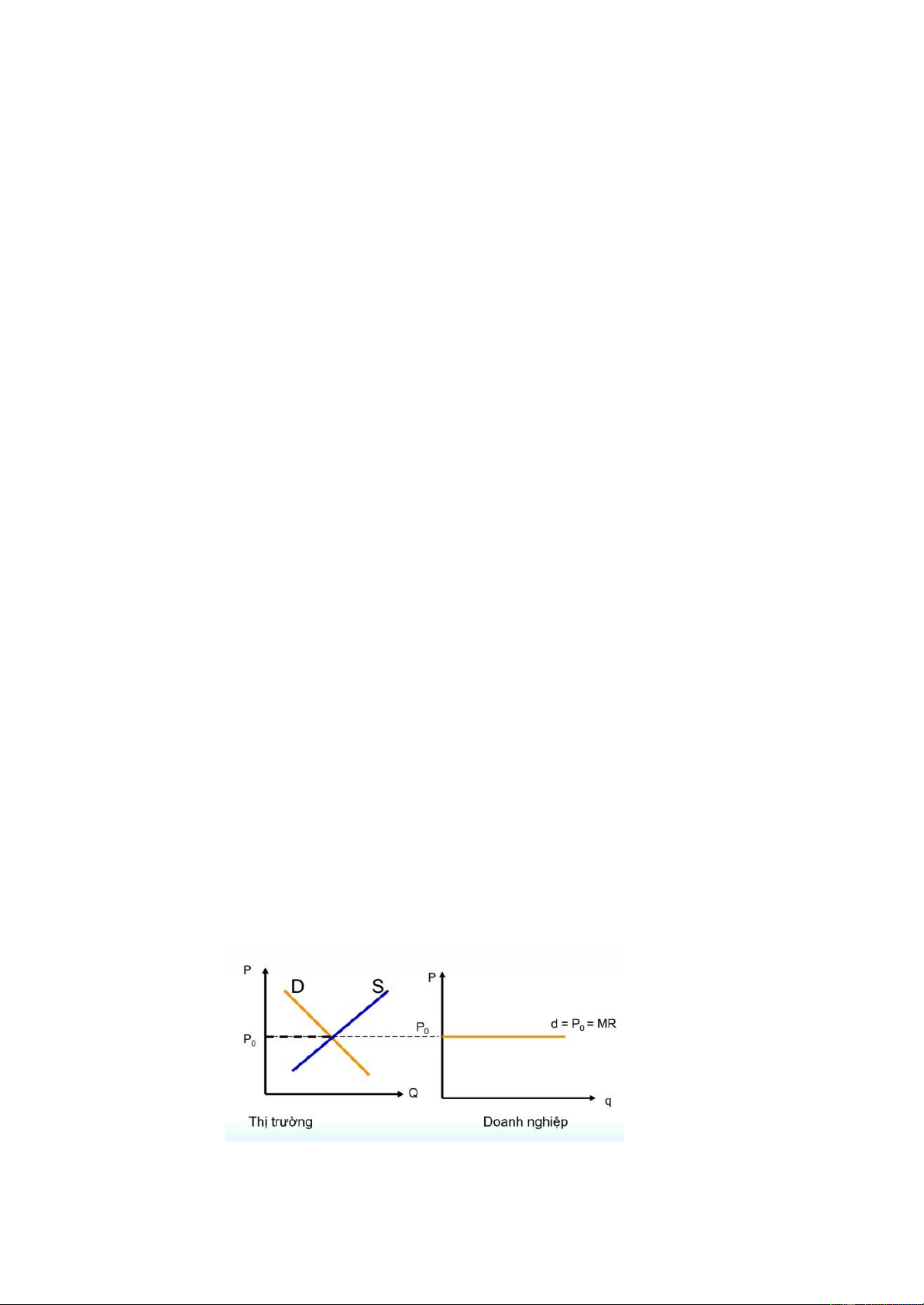
2.2. Định giá trên thị trường cạnh tranh hoàn hảo Đặc trưng:
- Có rất nhiều người bán và rất nhiều người mua
- Sản phẩm được bán trên thị trường là thống nhất
- Thông tin được cung cấp cho thị trường rất đầy đủ
- Các DN tự do gia nhập ngành hoặc xuất ngành
Doanh nghiệp trong ngành cạnh tranh hoàn hảo
- Doanh nghiệp chấp nhận giá thị trường
- Đường cầu của DN là một đường cầu nằm ngang
- Doanh thu biên của DN (MR)= giá bán (P) -
Kinh nghiệm hoạt động trong thị trường cạnh tranh
- DN tham dự thị trường càng sớm, càng có cơ hội nhận được lợi nhuận trong thời kỳ đầu
- Khi có nhiều DN mới gia nhập ngành, các DN phải tìm cách giảm chi
phí sản xuất đến mức có thể, hoặc thấp hơn đối thủ
- Các DN nhận thấy khó khăn khi cạnh tranh bằng giá sẽ chuyển sang
cạnh tranh dựa trên yếu tố phi giá
Định giá bán của doanh nghiệp cạnh tranh độc quyền Trong ngắn hạn:
- Mỗi DN giống như nhà độc quyền, là người đặt giá cho sản phẩm của mình
- Mức giá tương ứng với mức sản lượng tối đa hóa lợi nhuận
Trong dài hạn: Mức giá bằng với chi phí bình quân dài hạn ở tiếp điểm giữa
đường cầu và đường LAC
2.3. Các phương pháp định giá phổ biến Định giá phân biệt
Định giá bán sản phẩm khác nhau theo số lượng sản phẩm mua một lần khác
nhau, theo thời gian mua khác nhau, theo nhóm khách hàng khác nhau trong điều kiện
chi phí sản xuất sản phẩm giống nhau Điều kiện thực hiện:
- Năng lực của DN đáp ứng được lượng cầu thị trường
- DN có khả năng kiểm soát thị trường
- Người tiêu dùng có mức độ nhạy cảm với giá khác nhau Thỏa thuận ràng buộc
DN sử dụng sức mạnh thị trường hiện tại của mình đối với sản phẩm thứ nhất
(buộc) để hỗ trợ lợi thế cạnh tranh để bán sản phẩm thứ hai (bị ràng buộc)
DN sử dụng các thỏa thuận ràng buộc là một kiểu định giá phân biệt Giải thích khác:
- Kiểm soát chất lượng
- Tăng cường hiệu quả phân phối sản phẩm
- Trốn tránh kiểm soát giá
Định giá hớt váng: DN tiên phong giới thiệu sản phẩm mới sẽ có vị thế độc
quyền tạm thời nên định giá bán cao và thu được lợi nhuận cao cho đến khi cạnh tranh bắt đầu
Định giá thâm nhập: Bán với giá thấp để giành thị phần
Định giá giới hạn : DN độc quyền sẽ đặt giá dưới mức MR=MC để ngăn các
đối thủ tiềm năng xâm nhập thị trường