Report tài liệu
Chia sẻ tài liệu
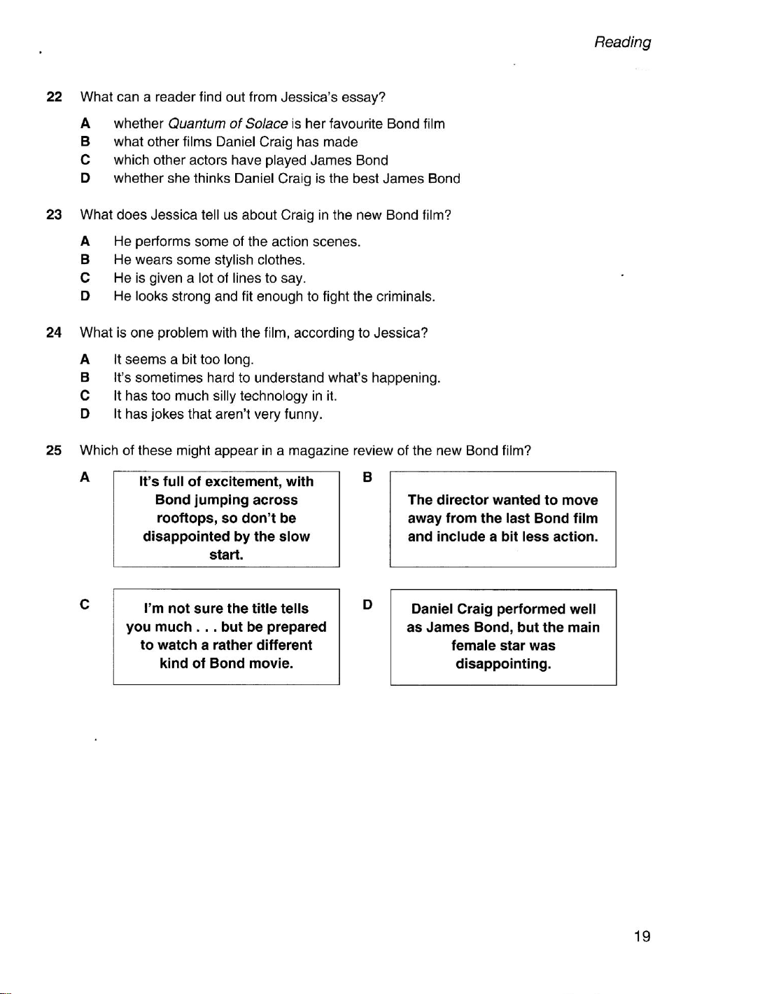
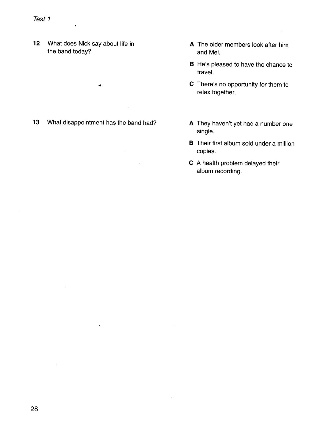
Đề cương môn Tiếng anh chuyên ngành- Trường Đại học bách khoa - Đại học đà nẵng.
which sport will the boy do soon at the centre .Đề cương môn Tiếng anh chuyên ngành- Trường Đại học bách khoa - Đại học đà nẵng.
Tài liệu gồm 18 trang , giúp bạn tham khảo, ôn tập và đạt kết quả cao
Môn: Tiếng anh chuyên ngành (BKDN) 19 tài liệu
Trường: Trường Đại học Bách khoa, Đại học Đà Nẵng 1.7 K tài liệu
Tác giả:
Tài liệu liên quan:
-
Đề cương môn Tiếng anh chuyên ngành- Trường Đại học bách khoa - Đại học đà nẵng.
76 38 -
Đề cương môn Tiếng anh chuyên ngành- Trường Đại học bách khoa - Đại học đà nẵng.
74 37 -
Đề cương môn Tiếng anh chuyên ngành- Trường Đại học bách khoa - Đại học đà nẵng.
74 37 -
Đề cương môn Tiếng anh chuyên ngành- Trường Đại học bách khoa - Đại học đà nẵng.
66 33

















