















Preview text:
Chương 1:
Câu 1: So sánh chi mua sắm hàng hóa, dịch vụ của chính phủ và chi thành toán chuyển nhượng
Chi mua sắm hàng hóa, dịch vụ của chính phủ tác động trực tiếp đến tổng cầu, bao gồm
-Chi thường xuyên : là các khoản chi cho duy trì hoạt động của bộ máy nhà nước bao gồm : chi cho quốc phòng, chi trả lương viên chức
-Chi đầu tư phát triển: Là khoản chi tiền cho xây dựng cơ sở - vật chất
Ví dụ : Xây công viên, trường học
-Chi thành toán chuyển nhượng (TR) là toàn bộ những khoản hỗ trợ, trợ cấp của chính phủ cho các cá nhân, tổ chức
hoặc doanh nghiệp nhưng không có hàng hóa đối ứng trở lại
Ví dụ: Chi hỗ trợ thất nghiệp, chi hỗ trợ thiên tai *So sánh:
- Giống: Đều là các khoản chi của ngân sách nhà nước
- Khác : + Chi mua sắm hàng hóa, dịch vụ của chính phủ (G) có hàng hóa đối ứng trở lại
+ Chi thanh toán chuyển nhượng (TR) không có hàng hóa đối ứng trở lại Chương 2 :
Câu 1: Mối quan hệ tăng trưởng kinh tế và lạm phát ?
Tăng trưởng kinh tế - lạm phát có mối quan hệ cùng chiều ( Y tăng , P tăng )
Tăng trưởng kte – Lp có mqh ngược chiều ( P tăng, Y giảm )
Tăng trưởng kte – Lp có mối quan hệ
Câu 2: Lạm phát và thất nghiệp có mối quan hệ đánh đổi. Đúng hay sai ?
-Chưa hoàn toàn chính xác
-Chỉ đúng với lạm phát cầu kéo: -Không đúng với lạm: + Lạm phát phí đẩy
+ Lạm phát dự kiến -> AD tang , AS giảm
+ Khi AD và AS cùng dịch sang phải 1 quy mô
Câu 3: Mối quan hệ giữa tăng trưởng kinh tế và thất nghiệp thông qua quy luật okun
-Định luật Okun là một khái niệm trong kinh tế vĩ mô mô tả mối quan hệ giữa tỷ lệ thất nghiệp và tốc độ tang trưởng
GDP thực tế của một nền kinh tế Công thức : Trong đó: Ý nghĩa
Khi GDP thực tế tang, tỷ lệ thất nghiệp sẽ giảm và ngược lại
Hệ số Okun (K) cho biết mức độ thay đổi của tỷ lệ thất nghiệp tương ứng với thay đổi của GDP thực tế. Giá trị k
cao cho thấy nền kinh tế nhạy cảm với thay đổi trong GDP thực tế, dẫn đến thay đổi lớn hơn trong tỷ lệ thất nghiệp Ví dụ:
Giả sử hệ số Okun là 2 và GDP thực tế giảm 2%. Theo định luật Okun, tỷ lệ thất nghiệp sẽ tang 4%
Ngược lại, nếu GDP thực tế tang 3% với hệ số Okun là 2, tỷ lệ thất nghiệp sẽ giảm 1,5% Hạn chế:
Định luật okun chỉ áp dụng cho các nền kinh tế phát triển và có thể thay đổi theo thời gian
Mối quan hệ giữa tỷ lệ thất nghiệp và GDP thực tế có thể bị ảnh hưởng bởi các yếu tố khác như sự tham gia của lực
lượng lao động, cấu trúc nền kinh tế và chính sách kinh tế Ứng dụng:
Định luật Okun được sử dụng để dự đoạn tỷ lệ thất nghiệp dựa trên dự báo GDP thực tế.
Giúp các nhà hoạch định chính sách đánh giá hiệu quả của các chính sách kinh tế đối với thị trường lao động
= >Định luật Okun là một công cụ hữu ích để hiểu mối quan hệ giữa tặng trưởng kinh tế và thất nghiệp. Tuy nhiên, cần lưu
ý những hạn chế của nó để áp dụng hiệu quả trong thực tế.
Chương 3: Hạch toán tổng sản phẩm quốc dân Câu 1: So sánh GDP và GNP
-Giống: + Tính theo giá thị trường + Thông qua thị trường
+ Hàng hóa và dịch vụ cuối cùng
+ Trong một thời kỳ nhất định thường là 1 năm hoặc 1 quý -Khác:
+ Khái niệm GDP: Là chỉ tiêu đo lường tổng giá trị thị trường của tất cả hàng hóa, dịch vụ cuối cùng được sản xuất ra
trong pvi lãnh thổ 1 quốc gia trong 1 thời kỳ nhất định ( thường là 1 năm)
+ Khái niệm GNP: Là chỉ tiêu đo lường tổng giá trị thị trường của tổng tất cả hàng hóa, dịch vụ cuối cùng được sản
xuất ra bằng yếu tố sản xuất của 1 quốc gia trong 1 thời kỳ nhất định ( thường là 1 năm)
+ Yếu tố sản xuất : GDP: giới hạn yếu tố sản xuất trong nước
GNP: không giới hạn yếu tố sản xuất trong nước và nước ngoài
+ Phạm vi lãnh thổ: GDP: không giới hạn
GNP: giới hạn trong phạm vi lãnh thổ 1 nước
+ Ý nghĩa: GDP: Quan tâm đến phạm vi lãnh thổ của 1 quốc gia
GNP: Quan tâm đến yếu tố sản xuất của 1 quốc gia
Câu 2: Lãnh thổ kinh tế của một quốc gia được quan niệm như thế nào ?
-Lãnh thổ kinh tế của 1 quốc gia bao gồm các đơn vị hoạt động sản xuất kinh doanh dưới hình thức một cá nhân, tổ
chức, hộ gia đình thường trú
-Các đơn vị hoạt động sản xuất kinh doanh dưới hình thức một cá nhân, tổ chức, hộ gia đình không thường trú,
không thuộc lãnh thổ kinh tế của quốc gia mà thuộc nước ngoài
Khi xác định mối quan hệ giao dịch kinh tế giữa quốc gia này với quốc gia khác, xét cho cùng là xác định mối quan
hệ giao dịch kinh tế giữa các đơn vị thường trú và không thường trú
Câu 3: Cho số liệu GDP của 1 quý nào đó, em hiểu con số đó như thế nào ?
Ta hiểu : GDP quý đó đã được quy chuẩn theo GDP 1 năm
-Nghĩa là: GDP được thông báo = x4 thu nhập quý đó
-Vì: + Người ta muốn đảm bảo sẵn sang được GDP 1 quý và 1 năm
Ví dụ : GDP quý I là a -> thực chất là a/4
Câu 4 : Tại sao cùng 1 chỉ tiêu GDP vừa có thể phản ánh thông qua phương pháp chi tiêu vừa có thể phản ánh thông
qua phương pháp thu nhập ?
-Công thức tính GDP : C + I + G + ( X – M)
-Trong đó: + C là tổng giá trị tiêu dùng cá nhân
+ I là tổng giá trị đầu tư
+ G là tổng giá trị chi tiêu chính phủ
+ ( X – M) là chênh lệch giữa giá trị xuất khẩu và nhập khẩu
-Đối với nền kinh tế với tư cách là một tổng thể, tổng thu nhập phải = tổng chi tiêu
-Sơ đồ luân chuyển cho thấy GDP cùng lúc 2 việc :
+ Tổng thu nhập của mọi người trong nền kinh tế
+ Tổng chi tiêu mua sắm hàng hóa, dịch vụ của nền kinh tế
-Mọi giao dịch đều có 2 bên : bên bán và bên mua cho nên chi tiêu của người này là thu nhập của người kia
Lý do GDP phản ánh được cùng lúc hai đại lượng : tổng thu nhập và tổng chi tiêu vì nó là 1
Câu 5 : Trong công thức tính GDP theo phương pháp chi tiêu ( phương pháp luồng sản phẩm ) GDP = C + I + G + NX
Đầu tư trong công thức tính GDP là khoản đầu tư cuối cùng không bao gồm đầu tư tài chính ( đầu tư vào các giấy tờ có
giá như cổ phiếu, trái phiếu, chứng chỉ quỹ,…)
Cách phân loại đầu tư tư nhân :
+ Dựa vào nội dung cấu thành
+ Dựa vào mục đích đầu tư
Theo nội dung kinh tế cấu thành :
Đầu tư mua sắm tư bản mới Đầu tư cố định Theo mục đích đầu tư:
+ Khấu hao TSCĐ ( DR) : Nhằm bù đắp cho HMTSCĐ
+ Đầu tư ròng ( In): được biểu thị bằng phần còn lại của tổng đầu tư sau khi trừ đi hao TSCĐ -Nhận xét :
+ Đầu tư tính trong tổng sản phẩm quốc nội là khoản tiền dùng để mua sắm tư liệu lao động như : máy móc, nhà xưởng
+ Đầu tư không bao gồm khoản tiền vốn để mua cổ phần, cổ phiếu hay gửi tiết kiệm hưởng lãi vì việc mua bán những
chứng từ có giá khác nhau chỉ là hành vi dịch chuyển tư bản đầu tư từ tác nhân kinh tế này sang tác nhân kinh tế khác,
không làm cho tổng tư bản cố định của quốc gia tăng thêm Chương 4 :
Câu 1 : Cơ chế thoái giảm đầu tư và thoái giảm xuất khẩu ròng ( phân tích tác động của thâm hụt ngân sách đến
thoái giảm đầu tư hoặc thoái giảm xuất khẩu ròng )
Cơ chế thoái giảm đầu tư
G tăng, T giảm -> AD tăng -> Y tăng -> MD tăng ( MS không đổi ) -> i tăng - > I giảm -> AD giảm -> Y giảm
-Khi Y < Y* -> ngân sách nhà nước thâm hụt
+ Nếu CP tăng G hoặc giảm T làm cho Y tăng theo mô hình số nhân
+ Đồng thời, nhu cầu về tiền tăng lên nhưng cung tiền không đổi làm cho lãi suất trên thị trường tăng lên ( i tăng ), dẫn
đến làm giảm đầu tư ( I giảm ) giảm tổng cầu ( AD giảm), giảm sản lượng ( y giảm)
+ Kết quả là 1 phần sản lượng tăng lên ( Y tăng ) của chính sách tài khóa mở rộng sẽ bị giảm đi do thâm hụt cao, kéo
theo hiện tượng thoái lui
Cơ chế thoái giảm xuất khẩu ròng
G tăng, T tăng => AD giảm => Y tăng => MD tăng ( MS không đổi) => I tang => Dnt(Dd) tăng => e tăng => tổng tăng =>
IM tăng, X giảm => NX giảm => AD giảm => Y giảm
Câu 2 : Trình bày các loại số nhân mà em đã học : trình bày công thức số nhân chi tiêu : m, m’,m’’, công thức số
nhân thuế mt,mt’ và mt’’, công thức tính số nhân tiền : số nhân tiền giản đơn, số nhân tiền thực tế 1. Số nhân chi tiêu 2. Số nhân thuế 3. Số nhân tiền
A, Số nhân tiền giản đơn Công thức: m=1/r Trong đó: r: lãi suất
B, Số nhân tiền thực tế: Công thức: m = 1/ (r – g)
Trong đó: r: Lãi suất danh nghĩa, g tỷ lệ lạm phát
Câu 3: Chính sách tài khóa cùng chiều ( B = 0 => G = T ) và chính sách tài khóa ngược chiều ( Y = Y*)
? Tại sao khi xem xét tác động của chính sách tài khóa cùng chiều với mục tiêu ổn định kinh tế vĩ mô thì cân bằng ngân
sách không phải lúc nào cũng tốt
Giả định CCNS đang cân bằng G =T
Δ AD = AG + ΔC = ΔG – MPC .ΔT
Đề theo đuổi chính sách tài khóa cùng chiều => ΔG = ΔT ΔAD = ΔG ( 1-MPC)
TH1: Y Cùng tăng G và T 1 lượng như nhau => ΔAD > 0 => AD tăng
=> AD dịch chuyển lên trên = > Y tăng => Tốt cho nền kinh tế =>
TH 2 : y > Y* => Chính phủ cần giảm G và T 1 lượng như nhau => ΔAD < 0 => AD giảm => AD dịch chuyển xuống dưới
=> Y giảm => tốt cho nền kinh tế =>
TH3: Y = Y* Khi Chính phủ tăng G và T 1 lượng như nhau hoặc giảm G và T 1 lượng như nhau thì đều hàm AD dịch
chuyển => Y lệch khỏi Y * => Không tốt cho nền kinh tế Chương 5:
Câu 1: Trình bày điểm lợi và điểm bất lợi của các công cụ chính sách tiền tệ/ chính sách điều tiết lượng của ngân hàng thương mại ?
Câu 2: Số nhân tiền ( mm)
Chương 6: Tổng cầu và tổng cung
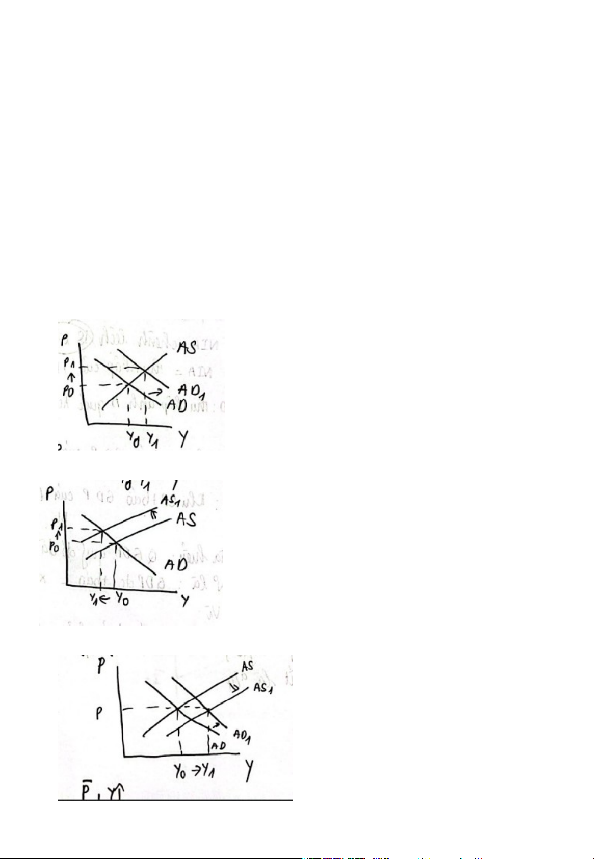
Câu 1: Trình bày nguyên nhân gây ra độ dốc của đường AD ? Ta có: Chứng minh:
-Giả định: chi tiêu chính phủ ( G) là biến ngoại sinh cho trước và không thay đổi: G = G ngang -Hiệu ứng của cải :
P giảm: ( giả sử thu nhập danh nghĩa không đổi) -> ntd cảm thấy mình giàu có lên -> ntd mạnh dạn chi tiêu nhiều
hơn -> C tăng -> AD tăng -Hiệu ứng lãi suất: -Hiệu ứng tư giá
+ P giảm => Giá hàng hóa trong nước rẻ hơn giá hàng hóa nước ngoài => dân cứ có xu hướng tiêu dùng hàng trong
nước => IM giảm => NX tăng => AD tăng
Câu 2: Các hình dạng đường tổng cung và chỉ rõ công cụ để xây dựng hình dạng đó?
Đường tổng cung thẳng đứng ( AS LR)
+ Thi trường lao động hoạt động hoàn hảo
+ Giá cả điều chỉnh linh hoạt sao cho số lượng hàng hóa sản xuất ra đúng bằng số lượng hàng hóa mà mọi người mong muốn mua vào
+ Tiền công điều chỉnh linh hoạt cho đến khi nào mọi người mong muốn đạt được mức tiền công đó đều có việc làm và
các hang kinh doanh sản xuất số lượng hàng hóa, dịch vụ mà mọi người mong muốn
Đường tổng cung nằm ngang ( Keynes)
+ Giá cả và tiền công rất ít thay đổi do tính cứng nhắc của hoạt động kinh tế
+ Thị trường lao động không phải lúc nào cũng cân bằng vì nền kinh tế thường có những nguồn lực chưa sử dụng hết
nên thường có thất nghiệp
Doanh nghiệp thuê them lao động mà không cần tăng giá: Người lao động sẵn
sang cung ứng sức lao động mà không cần tăng lương
Đường tổng cung ngắn hạn: -Dựa vào 4 mô hình
+ Mô hình tiền lương cứng nhắc
+ Mô hình nhận thức sai lầm của công nhân
+ Mô hình thông tin không hoàn hảo
+ Mô hình giá cả cứng nhắc
-Đặc điểm chung của 4 mô hình
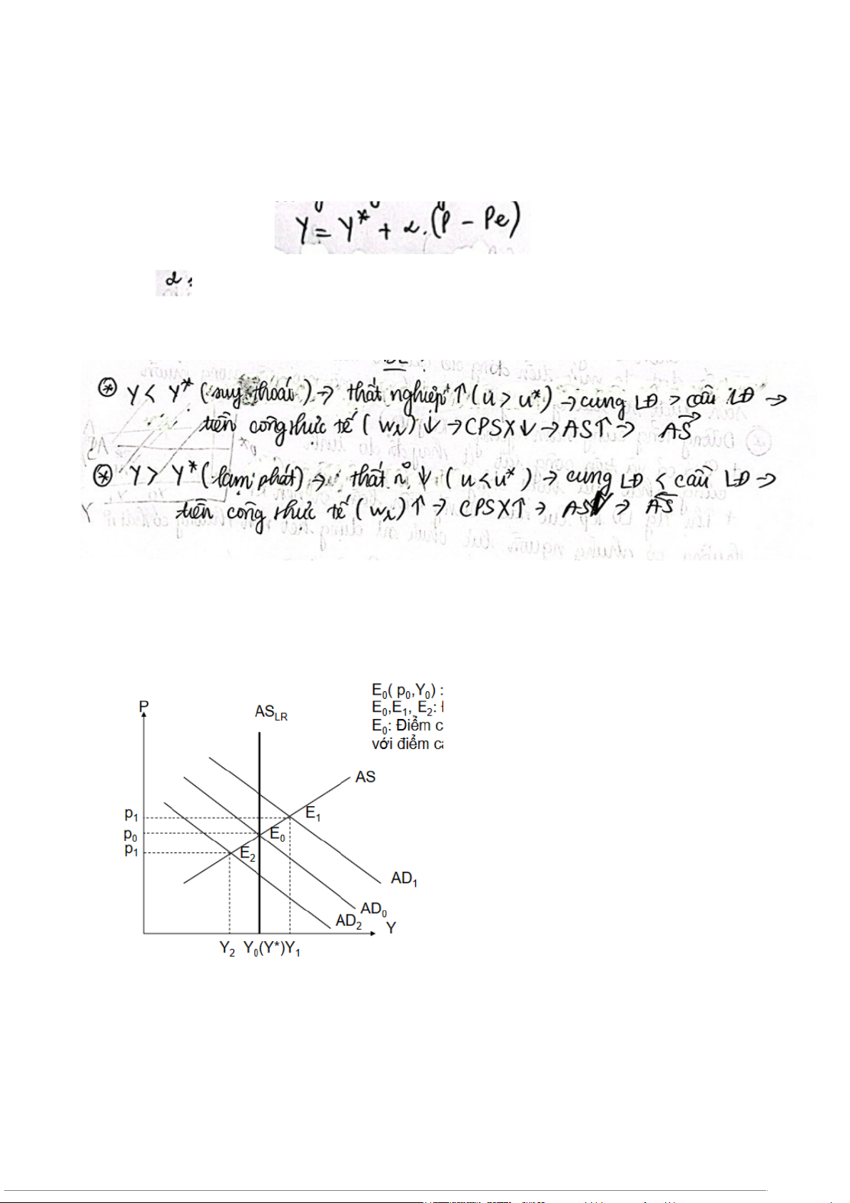
+ Sản lượng thực tế ( Y thực tế) thay đổi do sự biến động ngoài dự kiến của mức giá
+ Khi mức giá thực tế = mức giá dự kiến ( P = Pe) thì sản lượng thực tế đúng = sản lượng tiềm năng ( Y = Y*)
Phương trình đường tổng cung : + Trong đó:
Là tham số dương phản ánh mức độ phụ thuộc của sản lượng thực tế vào biến động ngoài dự kiến của mức giá
Câu 3: Hãy giải thích hình dạng đường tổng cung (AS) trong các th:
Câu 4: So sánh tác động của chính sách tài khóa mở rộng trong mô hình IS-LM và AD-AS + Cơ chế tác động: Mô hình AD-AS
G tăng, T giảm => AD tăng => AD dịch phải => Y tăng, P tăng Mô hình IS-LM:
G tăng, T giảm => AD tăng => IS dịch phải => Y tăng, I tăng Điểm giống nhau: Y tăng Điểm khác nhau:
+ AD –AS: Ngoài phân tích ảnh hưởng đến Y, còn có thể phân tích ảnh hưởng đến P, gây hiện tượng thoái giảm đầu tư do P tăng
+ IS – LM: Ngoài phân tích ảnh hưởng đến Y còn có thể phân tích ảnh hưởng đến i, gây hiện tượng thoái đầu tư do i tăng Chương 7:
Câu 1: Các loại tỷ giá hối đoái: danh nghĩa và thực tế ?
-Tỉ giá hối đoái danh nghĩa (e) là giá tương đối giữa đồng tiền hai nước hay là tỉ lệ được dùng để trao đổi đồng tiền
nước này với đồng tiền nước khác
-Tỉ giá hối đoái thực tế ( €) là giá hàng hóa tương đối giữa hai nước hay là tỷ lệ được dùng để trao đổi hàng hóa,
dịch vụ nước này lấy hàng hóa dịch vụ nước khác -Công thức: Trong đó:
Câu 2: Tại sao nói tỷ giá hối đoái thực tế phản ánh năng lực cạnh tranh hàng hóa giữa các quốc gia?
-Tỉ giá hối đoái thực tế ( E) là giá hàng hóa tương đối giữa hai nước hay là tỉ lệ được dùng để trao đổi hàng hóa,
dịch vụ nước này lấy hàng hóa, dịch vụ nước khác -Lập luận:
Câu 3: Mối quan hệ giữa đầu tư nước ngoài ròng ( S-I)
Câu 4: Tại sao CS bảo hộ mậu dịch lại không ảnh hưởng đến CCTM?
-CS bảo hộ mậu dịch là cs nhằm giúp đỡ cho hàng hóa trong nước có thể cạnh tranh với hàng hóa nước ngoài
-CS này có thể thực hiện từ hai phía là: Ngăn chặn nhập khẩu và thức đẩy xuất khẩu. Với các công cụ sau:
+ Thuế quan: danh nặng thuế vào hàng nhập khẩu
+ Quota: kiểm soát khối lượng hàng hóa được phép nhập khẩu
+ Trợ giá xuất khẩu: tiền bù lỗ cho người sản xuất hàng xuất khẩu và các công ty xuất khẩu
+ Các biện pháp khác: Cấm nhập khẩu 1 loại hàng hóa, căn cứ vào các tiêu chuẩn đặt ra khắt khe, thủ tục hải quan khó khan,..
Câu 5: Chính phủ của các nước có nền kinh tế lớn gia tăng chi tiêu cho quốc phòng? Chương 8:
Câu 1:Thế nào là lạm phát cầu kéo, lạm phát phí đẩy? Câu 2: Fisher?
Câu 3: Mối quan hệ giữa lạm phát và tiền tệ