Report tài liệu
Chia sẻ tài liệu
Đề cương tổng hợp lý thuyết môn Kinh tế vi mô 1 | Học viện Tài chính
Đề cương tổng hợp lý thuyết môn Kinh tế vi mô 1 | Học viện Tài chính. Tài liệu giúp bạn tham khảo, ôn tập và đạt kết quả cao. Mời đọc đón xem!
Môn: Kinh tế vi mô 1 (MIE) 471 tài liệu
Trường: Học viện Tài chính 1.1 K tài liệu
Tác giả:



















Tài liệu khác của Học viện Tài chính
Preview text:
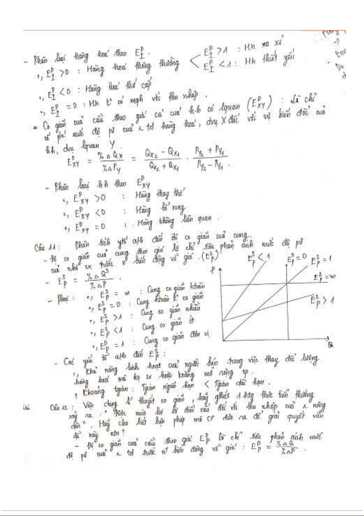
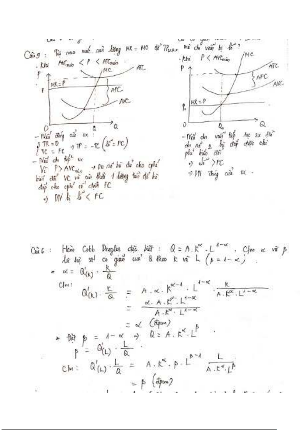
Câu 15: Câu 16: Câu 17: Câu 18: Câu 19 : Câu 20: Câu 21: Câu 22: Câu 23: Câu 24: Câu 25: Câu 26: Câu 27: Câu 28: Câu 29: Câu 30:
Tài liệu liên quan:
-
Các tiêu chuẩn quốc tế đặt ra cho Việt Nam trong quá trình hội nhập toàn cầu môn Kinh tế vi mô 1 | Học viện Tài chính
32 16 -
Phương pháp giải bài tập và đề thi môn Kinh tế vi mô 1 | Học viện Tài chính
33 17 -
Câu hỏi ôn tập chương 5 & 6 môn Kinh tế vi mô 1 | Học viện Tài chính
46 23 -
Bảng Giá Trị Thống Kê - Phân Phối Fisher & Durbin-Watson môn Kinh tế vi mô 1 | Học viện Tài chính
40 20 -
Đề cương ôn tập môn Kinh tế vi mô 1 | Học viện Tài chính
31 16