Report tài liệu
Chia sẻ tài liệu
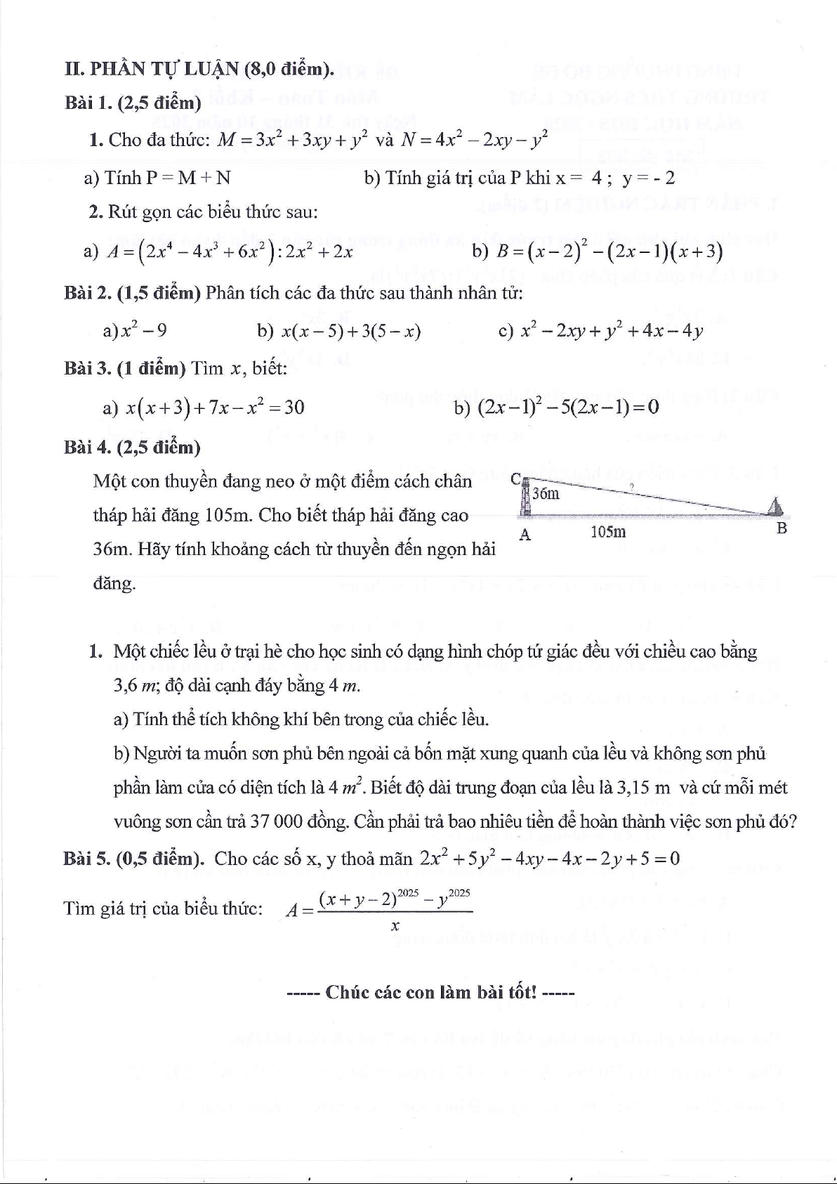
Đề thi giữa kì 1 Toán 8 năm 2025 – 2026 trường THCS Ngọc Lâm – Hà Nội
Xin giới thiệu đến quý thầy, cô giáo và các em học sinh đề chính thức kiểm tra giữa học kì 1 môn Toán 8 năm học 2025 – 2026 trường THCS Ngọc Lâm, phường Bồ Đề, thành phố Hà Nội. Kỳ thi được diễn ra vào ngày 31 tháng 10 năm 2025.
Chủ đề: Đề giữa HK1 Toán 8 203 tài liệu
Môn: Toán 8 2.4 K tài liệu
Tác giả:
Tài liệu liên quan:
-
Đề giữa học kỳ 1 Toán 8 năm 2025 – 2026 trường THCS Nguyễn Bỉnh Khiêm – Hà Nội
26 13 -
Đề giữa học kỳ 1 Toán 8 năm 2025 – 2026 trường THCS Lý Tự Trọng – Đà Nẵng
25 13 -
Đề giữa kì 1 Toán 8 năm 2025 – 2026 trường THCS Ngô Gia Tự – Hà Nội
34 17 -
Đề giữa học kỳ 1 Toán 8 năm 2025 – 2026 trường THCS Nguyễn Gia Thiều – TP HCM
27 14 -
Đề giữa kỳ 1 Toán 8 năm 2025 – 2026 trường THCS Quế Thuận – Đà Nẵng
30 15



