Report tài liệu
Chia sẻ tài liệu
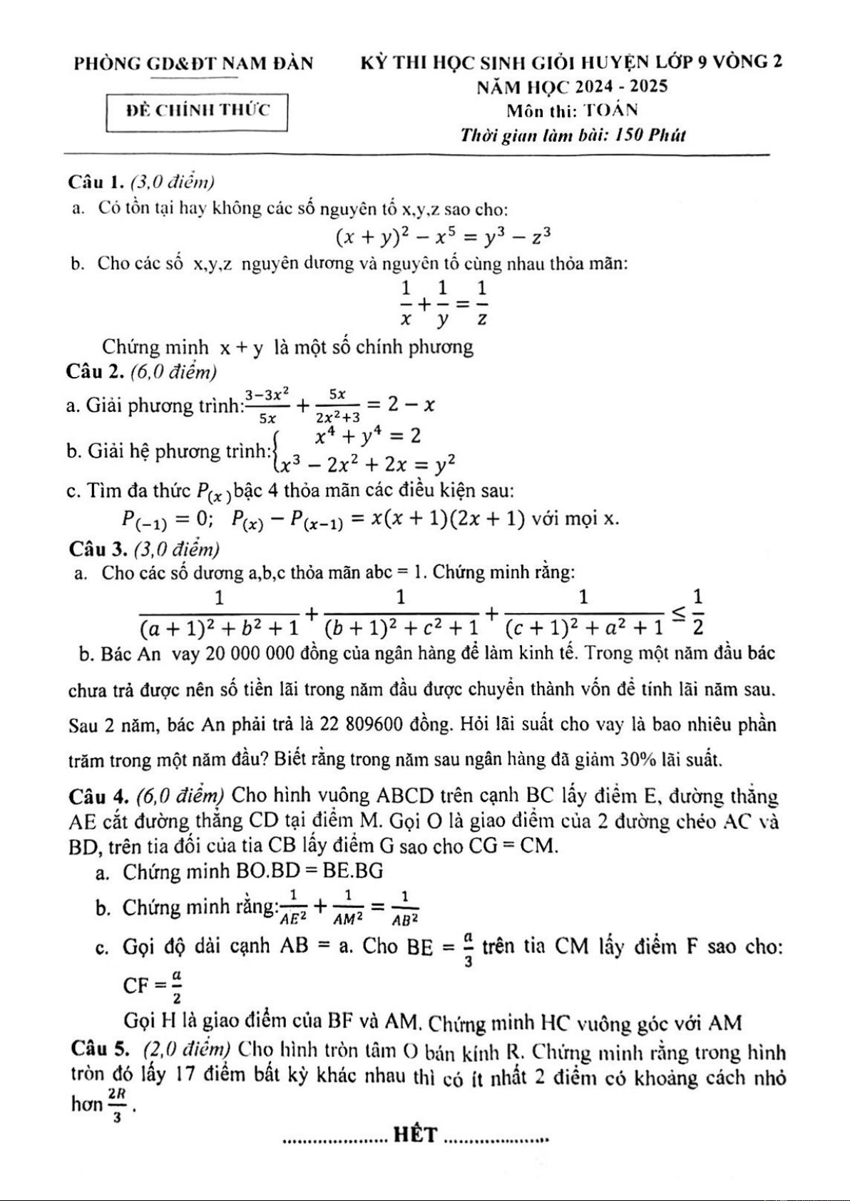
Đề HSG huyện Toán 9 vòng 2 năm 2024 – 2025 phòng GD&ĐT Nam Đàn – Nghệ An
Giới thiệu đến quý thầy, cô giáo và các em học sinh lớp 9 đề thi chọn học sinh giỏi cấp huyện môn Toán 9 vòng 2 năm học 2024 – 2025 phòng Giáo dục và Đào tạo huyện Nam Đàn, tỉnh Nghệ An. Đề thi gồm 05 bài toán dạng tự luận, thời gian làm bài 150 phút.
Chủ đề: Đề HSG Toán 9 553 tài liệu
Môn: Toán 9 3.5 K tài liệu
Tác giả:
Tài liệu liên quan:
-
Đề thi học sinh giỏi Toán 9 năm 2025 – 2026 xã Nghĩa Khánh – Nghệ An
71 36 -
Đề chọn học sinh giỏi Toán 9 năm 2025 – 2026 xã Phúc Thọ – Hà Nội
82 41 -
Đề học sinh giỏi cấp huyện Toán 9 năm 2024 – 2025 phòng GD&ĐT Phù Cát – Bình Định
94 47 -
Đề chọn học sinh giỏi Toán 9 năm 2024 – 2025 phòng GD&ĐT Sơn Tây – Hà Nội
71 36 -
Đề thi học sinh giỏi Toán 9 năm 2024 – 2025 phòng GD&ĐT Hai Bà Trưng – Hà Nội
83 42
