Report tài liệu
Chia sẻ tài liệu
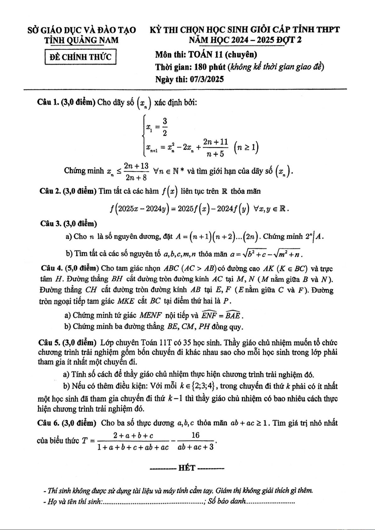
Đề HSG tỉnh Toán 11 (chuyên) năm 2024 – 2025 đợt 2 sở GD&ĐT Quảng Nam
Giới thiệu đến quý thầy, cô giáo và các em học sinh lớp 11 đề thi chọn học sinh giỏi cấp tỉnh THPT môn Toán 11 (chuyên) năm học 2024 – 2025 đợt 2 sở Giáo dục và Đào tạo tỉnh Quảng Nam. Kỳ thi được diễn ra vào ngày 07 tháng 03 năm 2025.
Chủ đề: Đề HSG Toán 11 151 tài liệu
Môn: Toán 11 3.6 K tài liệu
Tác giả:
Tài liệu liên quan:
-
Đề thi chọn HSG Toán 11 năm 2024 – 2025 cụm Lục Ngạn – Bắc Giang
66 33 -
Đề tham khảo học sinh giỏi Toán 11 năm 2024 – 2025 sở GD&ĐT Nam Định
66 33 -
Đề chọn HSG Toán 11 năm 2024 – 2025 trường THPT Phùng Khắc Khoan – Hà Nội
65 33 -
Đề chọn học sinh giỏi tỉnh Toán 11 năm 2024 – 2025 sở GD&ĐT Hà Nam
76 38 -
Đề học sinh giỏi Toán 11 năm 2024 – 2025 trường THPT Thuận Thành 1 – Bắc Ninh
63 32
