Report tài liệu
Chia sẻ tài liệu
Đề kiểm tra Toán 12 tháng 11 năm 2025 trường Nguyễn Khuyến & Lê Thánh Tông – TP HCM (3)
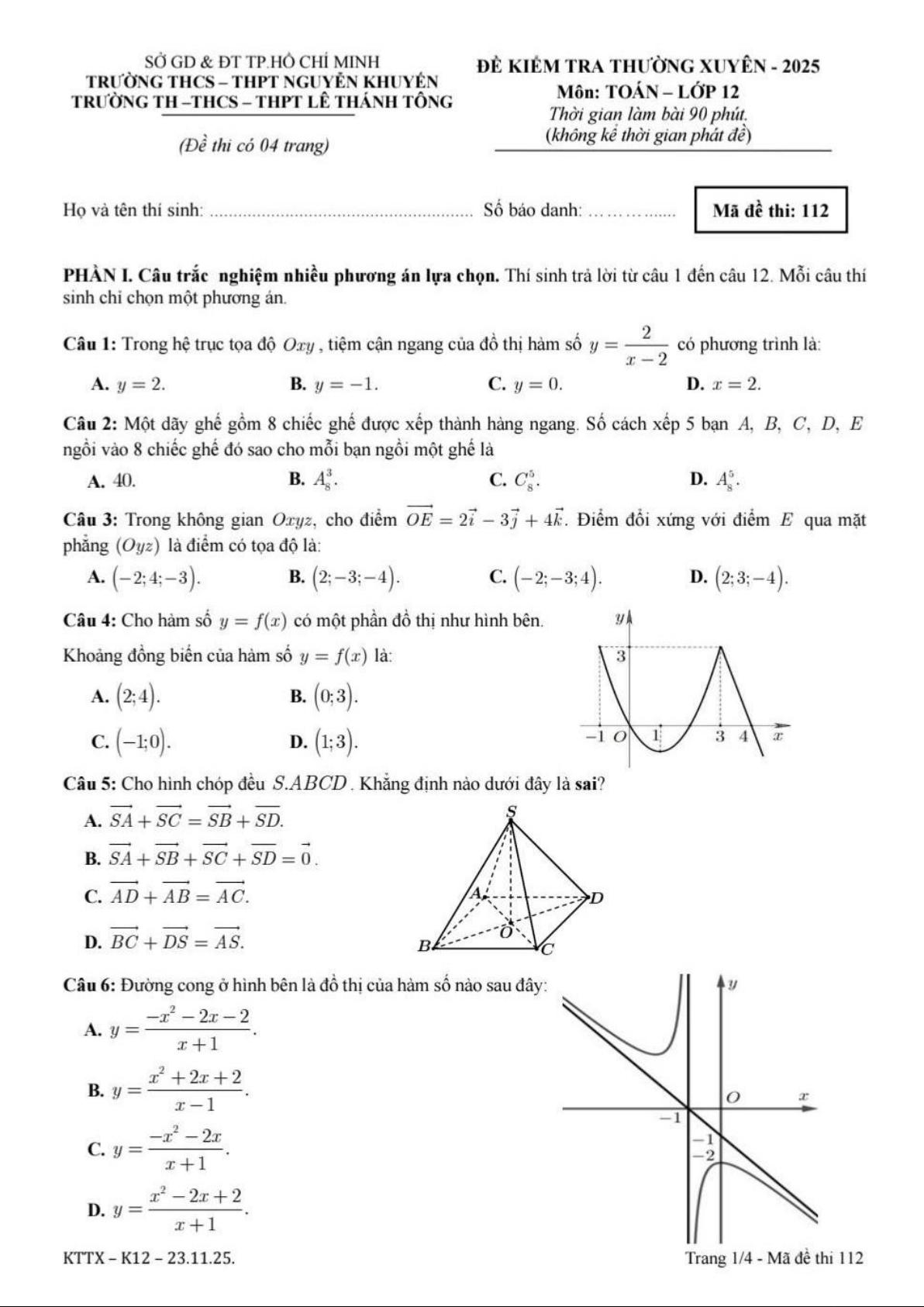
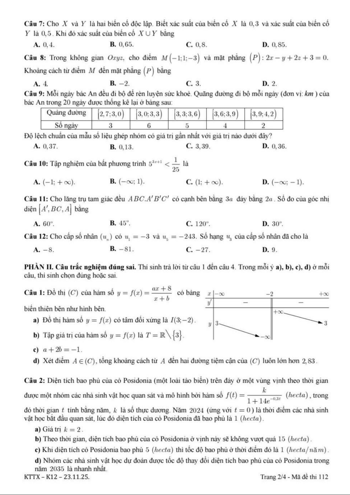
Xin giới thiệu đến quý thầy, cô giáo và các em học sinh đề kiểm tra định kì môn Toán 12 tháng 11 năm học 2025 – 2026 trường THCS – THPT Nguyễn Khuyến và trường TH – THCS – THPT Lê Thánh Tông, thành phố Hồ Chí Minh. Kỳ thi được diễn ra vào Chủ Nhật ngày 23 tháng 11 năm 2025.
Chủ đề: Đề thi Toán 12 552 tài liệu
Môn: Toán 12 4.7 K tài liệu
Tác giả:



