Report tài liệu
Chia sẻ tài liệu
Đề luyện thêm số 6 ôn thi THPT quốc gia | Môn Toán
Đề luyện thêm số 6 ôn thi THPT quốc gia | Môn Toán
Chủ đề: Tài liệu ôn thi THPTQG môn Toán 321 tài liệu
Môn: Toán 2.3 K tài liệu
Tác giả:
Tài liệu liên quan:
-
Đề tư duy Toán học TSA số 03
7 4 -
Đề tư duy Toán học TSA số 02
6 3 -
Đề tư duy Toán học TSA số 01
6 3 -
Chuyên đề - Bổ trợ vd vdc mỗi ngày Buổi 1 – Bé làm quen với song trục | Tài liệu ôn thi THPTQG môn Toán
6 3 -
Đề TDMZN01_Đề Chống Sai Ngu Số 01 – Ôn Hk1 | Tuyển tập các đề KSCL Toán Lý của thầy Ái kì thi THPT 2026
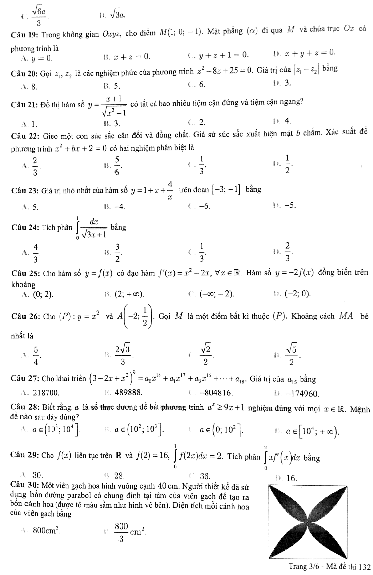
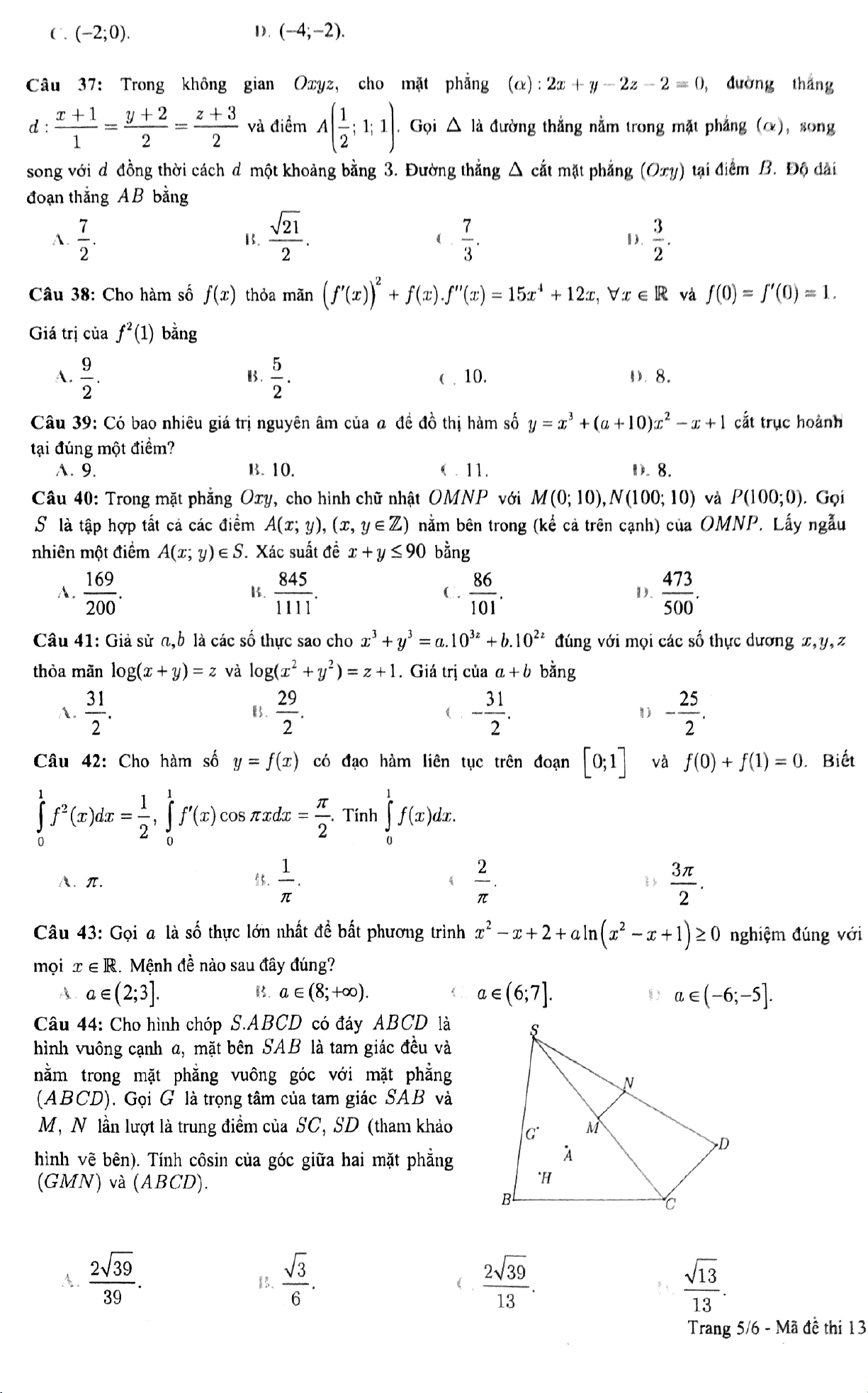
13 7





