Report tài liệu
Chia sẻ tài liệu
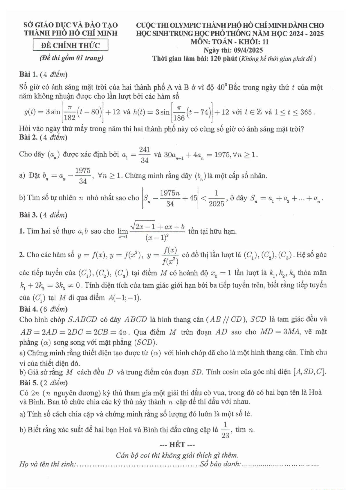
Đề thi Olympic Toán 11 năm 2024 – 2025 sở GD&ĐT TP Hồ Chí Minh
Giới thiệu đến quý thầy, cô giáo và các em học sinh lớp 11 đề thi Olympic dành cho học sinh Trung học Phổ thông môn Toán 11 năm học 2024 – 2025 sở Giáo dục và Đào tạo thành phố Hồ Chí Minh. Kỳ thi được diễn ra vào ngày 09 tháng 04 năm 2025.
Chủ đề: Đề HSG Toán 11 151 tài liệu
Môn: Toán 11 3.6 K tài liệu
Tác giả:
Tài liệu liên quan:
-
Đề thi chọn HSG Toán 11 năm 2024 – 2025 cụm Lục Ngạn – Bắc Giang
37 19 -
Đề tham khảo học sinh giỏi Toán 11 năm 2024 – 2025 sở GD&ĐT Nam Định
38 19 -
Đề chọn HSG Toán 11 năm 2024 – 2025 trường THPT Phùng Khắc Khoan – Hà Nội
37 19 -
Đề chọn học sinh giỏi tỉnh Toán 11 năm 2024 – 2025 sở GD&ĐT Hà Nam
46 23 -
Đề học sinh giỏi Toán 11 năm 2024 – 2025 trường THPT Thuận Thành 1 – Bắc Ninh
35 18
