



















Preview text:
Đo lường nền kinh tế đại dương ở EU: Kinh nghiệm của Ba Lan
Nhìn chung, nền kinh tế đại dương và tăng trưởng của nó đóng vai trò quan trọng
trong nền kinh tế toàn cầu; trong vài năm vừa qua, chúng đã được bàn luận rộng
rãi ở cả mức độ quốc gia lẫn quốc tế. Tuy nhiên, ta vẫn thiếu sự thống nhất trong
cách đo lường, bởi những phương pháp tính toán khác nhau giữa các nghiên cứu
dẫn đến kết quả không đồng nhất. Bài viết này sẽ tóm tắt những nghiên cứu trước
bằng cách so sánh các phương pháp tính toán kinh tế biển, đồng thời chỉ ra ưu
nhược điểm của chúng. Dựa trên so sánh này, một phương pháp mới sẽ được đề
xuất, chủ yếu dựa vào dữ liệu vi mô ở địa phương và dữ liệu toàn quốc; phương
pháp mới này đã được áp dụng để đo lường quy mô của nền kinh tế biển Ba Lan.
Kết quả chỉ ra rằng những dữ đoán trước đây đã xem nhẹ quy mô thực sự của nó
mặc dù tổng quan động lực học và cơ cấu ngành theo thời gian giữa các phương
pháp đều khá tương đồng. Nghiên cứu kết luận rằng ta phải đánh đổi giữa việc sử
dụng những phương thức ‘nhạc gì cũng nhảy’ và việc sử dụng phương thức cụ thể
cho mỗi quốc gia (cách tiếp cận chính xác và tỉ mỉ hơn ở những so sánh liên quốc
gia). Cuối cùng, nghiên cứu nhấn mạnh rằng không hề có giải pháp rõ ràng nào
cho vấn đề trên và các cách thức khác nhau nên được sử dụng tùy thuộc vào công
việc nghiên cứu cụ thể khác nhau hoặc các câu hỏi chính sách cần giải đáp. 1. Giới thiệu
Tăng trưởng xanh là một chủ đề chính sách được thảo luận và nghiên cứu sôi nổi
trong ít nhất 10 năm qua, cả ở cấp độ toàn cầu (OECD, 2011; UNEP và các tác giả
khác, 2012) và cấp EU (Ủy ban Châu Âu, 2012). Một số đặc biệt của tạp chí Marine
Policy vào năm 2018 (tập 87) đã được dành riêng cho chủ đề này. Báo cáo hàng
năm về Kinh tế Biển của EU đánh giá và trình bày quy mô cũng như kích thước của
kinh tế biển Châu Âu, cùng với các cơ hội và xu hướng phát triển liên quan. Theo
báo cáo gần đây nhất (Ủy ban Châu Âu, 2021a), giá trị gia tăng của kinh tế biển EU
đạt 176 tỷ euro vào năm 2018 (chiếm 1,5% tổng sản phẩm quốc nội của EU) và
tạo ra việc làm cho 4,5 triệu người (2,3% tổng số việc làm của EU). Tuy nhiên, các
chỉ số này đã duy trì ổn định trong 10 năm qua, với một ngoại lệ đáng chú ý là sự
gia tăng dần của tỷ lệ việc làm sau suy thoái kinh tế năm 2008. Với những lợi thế
và điểm mạnh của kinh tế biển được xác định trong tài liệu (ví dụ: Ngân hàng Thế
giới, 2016), sự đình trệ này có thể được coi là bằng chứng cho tiềm năng chưa
được khai thác của ngành này ở Châu Âu. Vì lý do đó, việc đo lường chính xác kinh
tế biển có vẻ như là thứ quan trọng nhất. Mặc dù các tổ chức quốc tế đã có 10
năm nghiên cứu và theo dõi sự phát triển của kinh tế biển, việc đo lường vẫn
chưa đạt yêu cầu. Phương pháp này dựa trên những thuộc tính và giả định thô sơ
về những gì thuộc về kinh tế biển và những gì thuộc về lĩnh vực trên cạn; theo báo
cáo mới nhất của EU, “các chỉ số Kinh tế Biển hướng đến việc thu thập được nhiều
dữ liệu tốt hơn” (Ủy ban Châu Âu, 2021a, tr. 2). Dưới sự tài trợ nghiên cứu của
Trung tâm Khoa học Quốc gia Ba Lan, đã có nỗ lực đề xuất các phương pháp đo
lường kinh tế biển nhân tạo chính xác và đáng tin cậy hơn. Bài viết này trình bày
phương pháp áp dụng tại Ba Lan và xem xét các điểm mạnh và điểm yếu của nó.
Trước tiên, chúng tôi sẽ trình bày phương pháp nghiên cứu và mục tiêu của bài
viết, theo sau là năm phần trình bày kết quả nghiên cứu: (i) bản chất của kinh tế
biển, (ii) những thách thức liên quan đến việc xác định và đo lường kinh tế biển,
(iii) các phương pháp đo lường được áp dụng ở Ba Lan, (iv) các kết quả thu được,
(v) bàn về tính khả dụng của nỗ lực đo lường tại Ba Lan. Phần cuối cùng sẽ chứa
các kết luận về tính ứng dụng rộng rãi của Ba Lan và các hướng nghiên cứu tiếp
theo. Bài viết này là kết quả của những kiến thức và kinh nghiệm được thu thập
từ cộng đồng các nhà nghiên cứu và thực hành trong lĩnh vực kinh tế biển ở Ba Lan và châu Âu.
2. Mục tiêu và cách thức:
Mục tiêu chính là tạo điều kiện cho việc sản xuất dữ liệu và ước lượng chính xác
hơn về kinh tế biển, từ đó cung cấp thông tin rõ ràng hơn cho quá trình ra quyết
định của công chúng và doanh nghiệp, cũng như cải thiện thông tin cho các
nghiên cứu liên quan. Bài viết áp dụng một số phương pháp nghiên cứu, bao gồm
rà soát tài liệu, khai thác dữ liệu, xử lý dữ liệu định lượng và so sánh phê phán.
Logic của nghiên cứu được trình bày trong Hình 1:
Nghiên cứu tài liệu và tổng quan văn học
Tìm kiếm các nguồn dữ liệu tiềm năng và phân tích ban đầu
Xây dựng các phương pháp mới để đo lường quy mô kinh tế biển
Áp dụng phương pháp mới trên dữ liệu của Ba Lan
So sánh kết quả thu được với các nghiên cứu hiện có
Kết luận và hướng đi cho các nghiên cứu tiếp theo
Hình 1: Các giai đoạn của nghiên cứu.
3. Ý nghĩa của ‘xanh’ trong lĩnh vực kinh tế:
Có hai khái niệm cơ bản cần được hiểu sâu hơn cho mục đích của bài viết này:
kinh tế biển và tăng trưởng xanh biển. Trong bài viết này, các thuật ngữ kinh tế
biển, kinh tế hàng hải, và kinh tế đại dương sẽ được sử dụng thay thế cho nhau,
như thường thấy trong nhiều bài báo khoa học và báo cáo về chủ đề này. Theo
báo cáo ban đầu của EU (Ecorys, 2012, trang 26) – báo cáo khởi động các cuộc
thảo luận ở châu Âu về kinh tế biển, thì hạng mục này bao gồm “tất cả các hoạt
động kinh tế theo từng ngành và liên ngành liên quan đến đại dương, biển và bờ
biển”. Kinh tế biển bao gồm “các hoạt động hỗ trợ trực tiếp và gián tiếp cần thiết
để các ngành kinh tế hàng hải hoạt động hiệu quả” (Ecorys, 2012, trang 26).
Park và Kildow, những người đầu tiên nghiên cứu các định nghĩa khác nhau về
kinh tế biển (Park và Kildow, 2014, trang 6), đã đề xuất rằng các mối quan hệ chức
năng với đại dương và bờ biển là yếu tố phân biệt kinh tế biển với kinh tế trên đất
liền: “Do đó, kinh tế đại dương liên quan đến hoạt động kinh tế dưới góc độ công
nghiệp, và trực tiếp hoặc gián tiếp liên quan đến đại dương (bao gồm cả bờ biển)
dưới góc độ địa lý” (Park và Kildow, 2014, trang 7). Điều này được phản ánh trong
định nghĩa ban đầu của EU về kinh tế biển, trong đó nêu rằng “Kinh tế biển của EU
bao gồm các hoạt động thị trường diễn ra trên lãnh thổ châu Âu gắn liền với biển”
(Ủy ban châu Âu, 2015, trang 1).
Tổ chức Hợp tác và Phát triển Kinh tế (OECD, 2016) đã đi xa hơn khi nhấn mạnh
tầm quan trọng của cả các khoản đầu tư do con người thực hiện và sự hoạt động
hiệu quả của các hệ sinh thái biển, cung cấp các hàng hóa và dịch vụ hệ sinh thái
“miễn phí” quan trọng. Theo OECD (2016), “kinh tế đại dương có thể được định
nghĩa là tổng hợp các hoạt động kinh tế của các ngành công nghiệp dựa trên đại
dương và các tài sản, hàng hóa và dịch vụ của các hệ sinh thái biển”. Cả hai hạng
mục này đều được thể hiện dưới dạng dòng chảy hàng hóa và dịch vụ do con
người hoặc hệ sinh thái biển sản xuất, và chúng đóng góp vào việc hình thành vốn
kinh tế hoặc vốn tự nhiên. Bản chất của phân loại OECD được trình bày trong Hình 2. Kinh tế đại dương Các ngành công Hệ sinh thái nghiệp biển đại dương Đầu vào trung gian Tác động Dòng chảy thị Vốn vật chất Dòng chảy và Tài sản vốn tự trường và dịch của các ngành dịch vụ phi thị nhiên vụ công nghiệp trường
Hình 2: Kinh tế đại dương dựa theo OECD.
Như đã thể hiện ở Hình 2, hai thành phần của hệ sinh thái đại dương không hề
liên quan với nhau. Ví dụ, cá là sản phẩm của hệ sinh thái, nhưng đánh bắt cá và
ngành công nghiệp chế biến lại cần thiết để đưa chúng ra tới con người. Những
khu du lịch đẹp thì thu hút khách, nhưng sự tồn tại của các cơ sở hạ tầng hay
trang thiết bị cũng quan trọng không kém. Kết quả là, ngành công nghiệp du lịch
có thể hủy hoại môi trường tự nhiên, thứ sẽ để lại hậu quả tiêu cực cho sự dồi
dào và bền vững của hải sản công nghiệp.
Cuộc thảo luận về bản chất của kinh tế xanh vẫn đang diễn ra cho đến ngày nay.
Theo Wenhai et al. (2019), kinh tế xanh không chỉ bao gồm kinh tế biển mà còn là
các hoạt động kinh tế giúp giảm bớt khủng hoảng nước toàn cầu. Họ cũng nhấn
mạnh tầm quan trọng của việc phát triển các yếu tố sáng tạo trong kinh tế biển.
Bằng cách tổng hợp các định nghĩa khác nhau về kinh tế xanh từ các nghiên cứu
và chính sách, họ nhận thấy vẫn chưa có sự đồng thuận về ý nghĩa thực tế của
khái niệm này. Có nhiều cách tiếp cận khác nhau, từ định nghĩa truyền thống –
kinh tế là hệ thống sản xuất hàng hóa và dịch vụ nhằm nâng cao phúc lợi con
người – cho đến các khái niệm thiên về xã hội hoặc quản trị, coi kinh tế xanh là
công cụ chính sách để thúc đẩy tăng trưởng kinh tế, tạo việc làm, hoặc hướng tới
phát triển bền vững (Wenhai et al., 2019).
4. Thử thách trong việc phác họa và đo lường kinh tế biển.
Định nghĩa được trình bày ở trên cho thấy một xu hướng rõ ràng, từ cách tiếp cận
chung chung và thiên về con người sang một sự phân định chi tiết hơn nhưng
nhạy cảm hơn với môi trường trong nền kinh tế biển. Tuy nhiên, cách hiểu toàn
diện về nền kinh tế xanh gặp hai vấn đề quan trọng. Thứ nhất, việc đo lường quy
mô của nền kinh tế biển trong nhiều trường hợp chỉ giới hạn ở các ngành công
nghiệp liên quan đến đại dương, tức là các yếu tố do con người tạo ra, và không
bao gồm các lợi ích từ biển không được giao dịch trên thị trường. Thứ hai, có sự
khác biệt đáng kể trong các hoạt động kinh tế - thứ được coi là thành phần của nền kinh tế biển.
4.1 Lợi ích và chi phí của nền kinh tế xanh
Cách hiểu về nền kinh tế xanh và tăng trưởng xanh của các nhà hoạch định chính
sách chủ yếu tập trung vào khía cạnh kinh tế truyền thống, do đó chưa giải quyết
được các vấn đề liên quan đến xã hội, môi trường, hay tác động kinh tế từ các
ngành gián tiếp đóng góp vào nền kinh tế xanh.
Mặc dù đã có những nỗ lực đáng kể từ nhiều học giả, vấn đề này vẫn còn xa mới
được giải quyết hoàn toàn. Đã có rất nhiều nghiên cứu. Như Zaucha (2018) đã lưu
ý, nhiều nhà nghiên cứu đã tiến hành định giá các lợi ích rộng lớn từ biển
(Costanza và cộng sự, 1997; Ahmad và Hanley, 2009; Costanza và cộng sự, 2014;
Jin và cộng sự, 2013; Scholz và cộng sự, 2011; Ruiz-Frau và cộng sự, 2013; White
và cộng sự, 2013; và Conrad và Smith, 2012) và từ các chính sách liên quan
(Ostberg và cộng sự, 2013). Cũng đã có nhiều bài báo nghiên cứu về việc định giá
các lợi ích xã hội và môi trường, cùng với các chi phí ngoại vi tiêu cực (chi phí rộng
hơn) do các dự án như năng lượng ngoài khơi (ví dụ Larsen và Guillemette, 2007;
Boehlert và Gill, 2010; Draget, 2014; Hagos, 2017; Roddis và cộng sự, 2018) hoặc
nuôi trồng thủy sản (ví dụ Lindahl và cộng sự, 2005; Hasselström và cộng sự,
2020) gây ra. Hơn nữa, có sự đồng thuận chung giữa các nhà hoạch định biển
rằng khi phân bổ không gian biển, chính quyền cần cân nhắc đến những chi phí và
lợi ích rộng lớn này, tức là không chỉ xem xét lợi ích tư nhân mà còn cả lợi ích công
cộng (Zaucha và cộng sự, 2020). Tuy nhiên, vấn đề cốt lõi liên quan đến phương
pháp định giá và kiến thức phân mảnh về sự phức tạp của các tác động xã hội và
môi trường do nền kinh tế xanh tạo ra. Việc định giá chịu ảnh hưởng bởi sự chủ
quan và kết quả thu được có thể khác nhau giữa các quốc gia, ngay cả trong cùng một khu vực biển.
Cũng có một số điểm mù quan trọng khác trong các phép đo được xác định trong
tài liệu (ví dụ: Sagebiel và cộng sự, 2016). Một điều đáng nhấn mạnh là khó khăn
trong việc xem xét sự tương tác giữa các dịch vụ hệ sinh thái khi định giá chúng.
Thậm chí, một vấn đề còn quan trọng hơn là sự thiếu hiểu biết về tác động của
nền kinh tế xanh. Diễn ngôn chủ đạo về kinh tế xanh mang tính "xanh", được thể
hiện qua các cụm từ trong Thỏa thuận Xanh của EU (Ủy ban Châu Âu, 2019) hoặc
khẳng định thường xuyên rằng Rio+20 đã thúc đẩy nền kinh tế xanh (Silver và
cộng sự, 2015). Tuy nhiên, nhiều tác giả chỉ ra sự thiếu chính xác hoặc nông cạn
của những lập luận này. Cả Silver và cộng sự (2015) và Barbesgaard (2017) đều
cảnh báo rằng tư tưởng tăng trưởng xanh có thể ưu ái một số nhóm có tổ chức
tốt. Các lý do bao gồm: dễ dàng tiếp cận các nguồn vốn, sự dẫn đầu về khoa học
và quản lý, ảnh hưởng chính trị, cùng với các lợi ích kinh tế lớn và tư tưởng kinh
tế tân cổ điển chiếm ưu thế. Do đó, những diễn ngôn về kinh tế xanh có thể làm
gia tăng xung đột không gian, tăng áp lực lên môi trường biển và thậm chí dẫn
đến việc tư nhân hóa không gian biển "trên thực tế". Vấn đề quan trọng ở đây là
công bằng xã hội liên quan đến tăng trưởng xanh và quy hoạch không gian biển
(Saunders và cộng sự, 2020). Ví dụ, Bennett và cộng sự (2021) đã xác định 10 vấn
đề bất công xã hội có thể phát sinh từ tăng trưởng xanh. Những vấn đề trên làm
cho việc đo lường quy mô đầy đủ của nền kinh tế xanh trở nên khó khăn. Do đó,
ngay cả trong các báo cáo gần đây (Ủy ban Châu Âu, 2021a), giá trị của nền kinh tế
xanh cũng chỉ được tính dựa trên giá trị hàng hóa và dịch vụ được tạo ra bởi các
ngành công nghiệp liên quan đến đại dương và được bán trên thị trường. Để đảm
bảo tính so sánh, các phép đo trong bài viết này cũng sẽ tuân theo cách tiếp cận đó.
4.2 Phạm vi của nền kinh tế xanh
Bảng trong tài liệu bổ sung cung cấp danh sách các ngành/khu vực thuộc nền kinh
tế đại dương ở một số quốc gia (hoặc nhóm quốc gia) và các nghiên cứu phân tích
trong giai đoạn hình thành khái niệm này (tổng hợp trong Zaucha, 2018).
Khi xem xét bảng này, ta có thể thấy sự đa dạng trong cách tiếp cận nội dung và
phạm vi của nền kinh tế xanh trong giai đoạn đầu của quá trình hình thành khái
niệm. Có một nhóm ngành cốt lõi rõ ràng, chủ yếu là những ngành đã gắn liền với
biển từ lâu, ví dụ: vận tải biển, du lịch ven biển, đánh bắt cá và nuôi trồng thủy
sản, đóng tàu, và khai thác khoáng sản, cùng với việc xây dựng các công trình
biển. Tuy nhiên, cũng có những khác biệt lớn trong cách phân loại, một số xuất
phát từ sự khác nhau về tiêu chí phân loại. Ví dụ, ở EU, bảo vệ bờ biển là một
ngành riêng biệt, trong khi ở Trung Quốc, nó được xếp vào lĩnh vực kỹ thuật và
xây dựng hàng hải. Phân loại của OECD tách riêng cảng và vận tải biển, trong khi ở
Trung Quốc và Hoa Kỳ, chúng được gộp vào vận tải biển. Điều tương tự cũng xảy
ra với các dịch vụ hỗ trợ vận tải biển. Tuy nhiên, một số khác biệt có vẻ bắt nguồn
từ những đặc điểm địa phương hoặc khu vực, hoặc mức độ phát triển đạt được.
Năng lượng tái tạo ngoài khơi nổi bật ở nhiều quốc gia, nhưng không phải ở Hoa
Kỳ. Trong một số phân loại, có các ngành công nghiệp hóa chất, dược phẩm, và
khử mặn biển, và việc sử dụng nước biển trong công nghiệp là một lĩnh vực riêng
biệt. EU và OECD rất coi trọng đổi mới, công nghệ sinh học, giám sát và các ngành
công nghiệp đảm bảo an toàn trên biển. Trong đề xuất của EU, phần này đặc biệt
phong phú. Đổi mới xanh cũng đóng vai trò quan trọng ở Trung Quốc (Wenhai et al.,2019).
Sự thay đổi trong phạm vi phân tích ở Liên minh Châu Âu theo thời gian cũng là
một dấu hiệu đáng lưu ý. Báo cáo Cụm Hàng hải (PRC, 2008) đã đưa ra một nhóm
ngành hàng hải truyền thống hơn (ví dụ, năng lượng tái tạo nằm trong ngành cung
cấp ngoài khơi và xây dựng ngoài khơi) so với các tài liệu sau này (Ecorys, 2012; Ủy ban Châu Âu, 2012).
Để minh họa cho những thách thức và vấn đề liên quan đến việc ước tính giá trị
của nền kinh tế xanh biển, hai nỗ lực đo lường của EU sẽ được so sánh: một là vào
năm 2013 (EUNETMAR, 2013) và một là gần đây nhất vào năm 2021 (Ủy ban Châu
Âu, 2021b). Việc so sánh này sẽ tạo ra bối cảnh để phân tích nỗ lực của Ba Lan ở
phần tiếp theo. Hai báo cáo này đều sử dụng nhiều số liệu thống kê từ cấp độ EU
[dữ liệu từ Eurostat về Thống kê Doanh nghiệp Cấu trúc (SBS) sử dụng hệ thống
phân loại các hoạt động kinh tế của Cộng đồng Châu Âu - NACE Rev. 2]. Vì vậy, dữ
liệu tiêu chuẩn từ Eurostat đóng vai trò then chốt. Trong báo cáo gần đây, những
dữ liệu này được bổ sung thêm dữ liệu cho các ngành chính (như khai thác thủy
sản và nuôi trồng thủy sản) lấy từ Khung Thu thập Dữ liệu của EU (DCF).
Trong cả hai trường hợp, một thách thức quan trọng là xác định mức độ mà các
ngành hàng hải đóng góp vào các nhóm ngành của NACE (Hệ thống Phân loại
Thống kê Các Hoạt động Kinh tế trong Cộng đồng Châu Âu) mà không hoàn toàn
thuộc về nền kinh tế biển. Trong nỗ lực đầu tiên, nhiều kiến thức kinh nghiệm và
số liệu thống kê quốc gia đã được sử dụng để đạt được mục tiêu này. Trong báo
cáo gần đây, việc phân bổ dựa trên một số chỉ số khách quan hơn nhưng lại loại
trừ một số ngành do vấn đề dữ liệu. Các chỉ số khách quan này được lấy từ dữ
liệu SBS và PRODCOM, tức là số liệu thống kê về sản xuất hàng hóa chế tạo cùng
với dữ liệu thương mại quốc tế liên quan.
Trong Bảng 1, hai lần thử này được so sánh, bắt đầu bằng cách phân bổ mã NACE
vào các ngành và phân ngành. Đáng chú ý là trong phương pháp của EUNETMAR
(2013), các mã NACE tương tự được phân bổ cho nhiều phân ngành và thậm chí
cả ngành, trong khi ở Báo cáo Kinh tế Biển (Ủy ban Châu Âu, 2021b), mẫu này
không còn được áp dụng rộng rãi. Màu trắng trong bảng nghĩa là phân bổ hoàn
toàn vào nền kinh tế biển, màu xanh lá nghĩa là sử dụng dữ liệu từ PRODCOM
hoặc SBS, màu vàng thể hiện việc sử dụng số liệu quốc gia hoặc kiến thức chuyên
gia, màu cam chỉ ra rằng không có sự tách biệt giữa các hoạt động hàng hải và
không hàng hải, và màu xanh dương cho biết không đủ dữ liệu. Chỉ màu trắng và
xanh lá cho thấy đã đạt được độ rõ ràng đo lường đủ.
Kiểm tra kỹ Bảng 1 cho thấy rằng, mặc dù đã có những tiến bộ đáng kể trong
những năm qua về đo lường kinh tế xanh biển và đã áp dụng các ý tưởng, khái
niệm mới, thêm các hoạt động quan trọng mới vào lĩnh vực này, nhưng các vấn
đề cốt lõi vẫn chưa được giải quyết. Ví dụ, việc chế biến và bảo quản cá, giáp xác
và nhuyễn thể (C 1020) không chỉ bao gồm các loài sinh vật biển mà còn cả cá từ
nuôi trồng thủy sản nước ngọt, vốn không liên quan đến ngành hàng hải nhưng
vẫn được hoàn toàn phân bổ vào kinh tế xanh biển. Có những lo ngại tương tự về
việc xây dựng các dự án nước, vì phân loại này cũng bao gồm các đập và đê trên
đất liền. Tuy nhiên, đáng chú ý nhất là việc ngành năng lượng tái tạo không được
đề cập trong cả hai phương pháp quản lý. Ngành này được đề cập trong báo cáo
gần đây của EU (Ủy ban Châu Âu, 2021a) nhưng chủ yếu dưới dạng công suất lắp
đặt, việc làm tạo ra và năng lượng sản xuất. Do đó, ngành này chưa được tích hợp
vào toàn bộ chuỗi kinh tế xanh biển. Ngành du lịch là một ngành kinh tế xanh
hàng đầu ở EU (Ủy ban Châu Âu, 2021a), nhưng vẫn chưa thể đo lường chính xác,
chủ yếu do vấn đề thiếu dữ liệu đáng tin cậy từ các doanh nghiệp siêu nhỏ và cá
nhân cho thuê phòng và các cơ sở du lịch khác. Điều này cũng đúng đối với ngành
du thuyền và bến du thuyền cũng như ngành du lịch tàu biển, vì chúng quá phức
tạp về các tương tác kinh tế để có thể được bao phủ bởi dữ liệu kinh tế của
Eurostat. Cuối cùng, Bảng 1 cũng cho thấy rằng ở EU chưa có cách tiếp cận đồng
nhất để khái niệm hóa kinh tế xanh biển theo việc nhóm các nhóm ngành NACE
thành các ngành và phân ngành. Hơn nữa, các mẫu đo lường hiện tại không cho
phép phân bố kinh tế xanh biển theo lãnh thổ. Các chuỗi dữ liệu chính và thông
tin dùng để lập quy mô của nền kinh tế hàng hải, chẳng hạn như giá trị sản xuất
của ngành sản xuất hàng hải theo các hoạt động chính của NACE Rev. 2 hoặc giá
trị gia tăng, có thể được tách xuống đến mức NUTS 1.
5. Phương pháp đo lường áp dụng tại Ba Lan
Xét đến sự phức tạp của việc ước tính kinh tế xanh biển, đã sử dụng nhiều nguồn
dữ liệu khác nhau. Đầu tiên, dữ liệu về giá trị gia tăng gộp (GVA), số lượng lao
động và số lượng đơn vị trong một ngành nhất định đã được lấy từ cơ sở dữ liệu
SBS của Eurostat cho giai đoạn 2005–2018. Dữ liệu trích xuất bao gồm mã NACE
Rev. 2 bốn chữ số cho 35 ngành công nghiệp được coi là ngành hàng hải trong tài
liệu. Năm trong số đó, cụ thể là xây dựng tàu và cấu trúc nổi (C 3011), đóng tàu
giải trí và thể thao (C 3012), sửa chữa và bảo dưỡng tàu thuyền (C 3315), vận tải
hành khách đường biển và ven biển (H 5010), và vận tải hàng hóa đường biển và
ven biển (H 5020), được giả định đóng góp hoàn toàn vào kinh tế hàng hải. Ba
mươi ngành còn lại được coi là chỉ đóng góp một phần vào kinh tế hàng hải, vì ở
mức độ phân tách này không có sự phân chia rõ ràng giữa hoạt động trên đất liền
và hoạt động hàng hải.
Do đó, bước tiếp theo của phân tích là ước tính đóng góp của 30 ngành còn lại đối
với nền kinh tế hàng hải của Ba Lan. Nói cách khác, chúng tôi cố gắng xác định
phần nào của từng ngành có liên quan đến hoạt động hàng hải, được tính như
một phần trong tổng số của cả ngành, bằng cách sử dụng dữ liệu dạng bảng.
Đối với 12 nhóm ngành phụ như: khai thác cát và sỏi; khai thác đất sét và kaolin
(B 0812); sản xuất thiết bị đo lường, thử nghiệm và định hướng (C 2651); xây
dựng công trình thủy (F 4291); xây dựng các dự án công trình dân dụng khác
không được phân loại (F 4299); môi giới bán máy móc, thiết bị công nghiệp, tàu và
máy bay (G 4614); kho bãi và lưu trữ (H 5210); dịch vụ liên quan đến vận tải
đường thủy (H 5222); xếp dỡ hàng hóa (H 5224); các hoạt động hỗ trợ vận tải
khác (H 5229); nghiên cứu và phát triển khoa học tự nhiên và kỹ thuật khác (M
7219); cho thuê và thuê dụng cụ thể thao và giải trí (N 7721); và cho thuê thiết bị
vận tải đường thủy (N 7734) — chúng tôi sử dụng tiêu chí việc làm.
Cụ thể, chúng tôi tổng hợp dữ liệu về việc làm của các công ty theo khu vực (lấy
từ cơ sở dữ liệu Orbis2) và tính toán tỷ lệ của khu vực ven biển trong tổng số cả
nước. Hệ số này được sử dụng như một đại diện cho phần hoạt động liên quan
đến hàng hải trong từng ngành công nghiệp theo phân loại NACE phiên bản 2.
Để kiểm tra độ chắc chắn của phương pháp này, chúng tôi còn tính thêm một chỉ
số khác là GVA (Giá trị gia tăng gộp). Theo quy trình tiêu chuẩn, GVA ở cấp độ
công ty được tính bằng tổng lợi nhuận gộp + khấu hao + tiền lương nhân viên.
Giống như phương pháp trước, tổng GVA của các công ty ở khu vực ven biển, tính
theo tỷ lệ trong tổng GVA của từng ngành tại Ba Lan, được tính như một phần
ước tính của ngành liên quan đến hàng hải. Dữ liệu tài chính của các công ty dùng
để tính GVA được lấy từ cơ sở dữ liệu Orbis. Kết quả giữa hai phương pháp tính
theo việc làm và GVA có mối tương quan tích cực ở 95% trường hợp, do đó chúng
tôi quyết định sử dụng phương pháp việc làm cho các phân tích tiếp theo.
Đối với các ngành liên quan đến chuỗi giá trị đánh bắt và nuôi trồng thủy sản —
đánh bắt thủy sản biển (A 0311); nuôi trồng thủy sản biển (A 0321); chế biến và
bảo quản thủy sản (C 1020); và sản xuất thức ăn chuẩn bị sẵn cho động vật nuôi (C
1091) — dữ liệu được lấy từ Ủy ban Khoa học, Kỹ thuật và Kinh tế về Thủy sản
(SCuối cùng, đối với các ngành liên quan đến du lịch và ẩm thực, cả hai phương
pháp—dựa trên việc làm và GVA (Giá trị gia tăng gộp)—đều cho ra kết quả ước
tính không đáng tin cậy. Điều này có thể là do các doanh nghiệp trong những
ngành này thường đăng ký kinh doanh ở một nơi, nhưng lại hoạt động ở một nơi khác.
Trong lĩnh vực du lịch, bao gồm khách sạn và các cơ sở lưu trú tương tự (I 5510);
chỗ ở cho kỳ nghỉ và lưu trú ngắn hạn khác (I 5520); khu cắm trại, công viên cho
xe RV và xe kéo (I 5530); và các loại hình lưu trú khác (I 5590) — tỷ lệ đóng góp
vào nền kinh tế hàng hải được tính dựa trên số lượng giường ngủ được khách du
lịch sử dụng hàng năm tại các khu vực ven biển so với tổng cả nước. Dữ liệu về du
lịch được lấy từ Ngân hàng Dữ liệu Địa phương (BDL), do Văn phòng Thống kê Ba Lan công bố.
Tương tự, trong các ngành ẩm thực — hoạt động nhà hàng và dịch vụ ăn uống di
động (I 5610); dịch vụ ăn uống sự kiện (I 5621); các dịch vụ ăn uống khác (I 5629);
và phục vụ đồ uống (I 5630) — chúng tôi giả định rằng quy mô thực sự của một
ngành tại một khu vực có thể được ước lượng dựa trên số lượng khách du lịch,
điều chỉnh theo thu nhập của người dân tại khu vực đó. Cũng như các trường hợp
trước, phần đóng góp vào nền kinh tế hàng hải được tính cho các khu vực ven
biển so với tỷ lệ tổng của cả nước.
Đối với bốn ngành còn lại, do thiếu dữ liệu công khai, chúng tôi đã áp dụng
phương pháp phù hợp cho từng ngành. Đầu tiên, với ba ngành — môi giới bán
máy móc, thiết bị công nghiệp, tàu và máy bay (G 4614); bán buôn thực phẩm
khác, bao gồm cá, giáp xác và động vật thân mềm (G 4638); và bán lẻ cá, giáp xác
và động vật thân mềm trong các cửa hàng chuyên doanh (G 4723) — ước tính
được dựa trên Đăng ký Kinh doanh Quốc gia chính thức (REGON). Kể từ năm
2015, cơ sở dữ liệu REGON đã công bố số lượng doanh nghiệp theo từng quy mô
(dựa trên số lượng nhân viên) cho từng nhóm ngành phụ. Tỷ lệ các doanh nghiệp
thuộc nhóm ngành phụ G 4614, G 4638 và G 4723 trong các nhóm PKD hai chữ số
(tương đương với NACE) G46 và G47 đã được xác định và điều chỉnh theo quy mô
việc làm. Từ các tỷ lệ này, chúng tôi tính được phần GVA của các ngành PKD hai
chữ số sản xuất trong các nhóm ngành phụ bốn chữ số.
Đối với các nhóm phụ khai thác dầu thô (B 0610), khai thác khí tự nhiên (B 0620),
và các hoạt động hỗ trợ khai thác dầu và khí tự nhiên (B 0910), GVA hàng hải
được ước tính là phần khai thác dầu thô và khí tự nhiên từ biển so với tổng số
khai thác của Ba Lan. Dữ liệu được lấy từ Viện Địa chất Ba Lan và các báo cáo
chính thức của công ty độc quyền khai thác tài nguyên hàng hải Ba Lan (LOTOS
Petrobaltic S.A.). Tỷ lệ ước tính cho B 0910 được tính là trung bình đơn giản của
các tỷ lệ cho B 0610 và B 0620.
Cuối cùng, việc ước tính khó khăn nhất là đối với nhóm phụ vận chuyển qua
đường ống (H 4950). Ở Ba Lan, loại nhiên liệu duy nhất được vận chuyển qua
đường ống là khí tự nhiên. Tại vùng biển Baltic của Ba Lan, có hai đường ống
thuộc sở hữu của LOTOS Petrobaltic S.A., vận chuyển khí tự nhiên có lẫn dầu thô
từ các mỏ dầu dưới đáy biển Baltic, cụ thể là mỏ dầu ngoài khơi "Baltic Beta", từ
hai mỏ dầu B3 và B8. Chiều dài của các đường ống là 81,5 và 73,8 km. Khí tự nhiên
này được đưa tới nhà máy nhiệt điện Władysławowo và được sử dụng cho nhu cầu địa phương.
Theo thông tin từ trang web của Cơ quan Thống kê Ba Lan và xác nhận của các đại
diện của cơ quan này, dữ liệu công khai liên quan đến vận chuyển bằng đường
ống chỉ bao gồm dữ liệu về vận chuyển dầu thô và không bao gồm vận chuyển khí
tự nhiên. Vì vậy, GVA liên quan đến nhóm phụ H 4950 không bao gồm giá trị gia
tăng do vận chuyển khí tự nhiên, mà ở Ba Lan, hoạt động này chủ yếu do công ty
Gaz-System S.A. thực hiện. Do đó, các phương pháp ước tính GVA dựa trên nhóm
phụ H 4950 trước đây có thể gây ra sự sai lệch.
Do đó, phương pháp được sử dụng đã tính đến chỉ số khối lượng–khoảng cách,
được tính bằng cách nhân khối lượng dầu thô vận chuyển (tính bằng tấn) với
chiều dài của một đường ống cụ thể (tính bằng km). Tương tự, chỉ số khối lượng–
khoảng cách đối với khí tự nhiên được tính bằng cách nhân lượng khí được vận
chuyển (m³) với chiều dài của các đường ống.
Để tính giá trị gia tăng trên mỗi đơn vị khối lượng–khoảng cách đối với dầu thô,
chúng tôi đã xem xét giá trị gia tăng trong vận chuyển dầu thô và hiệu suất vận
chuyển, tính giá trị gia tăng trên mỗi đơn vị khối lượng vận chuyển dầu thô (tính
bằng euro trên tấn·km) theo từng năm.
Để ước tính giá trị gia tăng trên mỗi đơn vị khối lượng–khoảng cách của khí tự
nhiên, chúng tôi đã xem xét giá trung bình trên thị trường của khí tự nhiên và dầu
thô, cụ thể là giá trung bình có trọng số trong lĩnh vực công nghiệp của dầu nặng
(HFO, PLN/tấn) và khí metan cao (PLN/1,000 m³).
Giá trị gia tăng ước tính trên mỗi đơn vị vận chuyển khí tự nhiên được nhân với
lượng khí tự nhiên được khai thác từ các mỏ B3 và B8 cùng với chiều dài của cả
hai đường ống, từ đó cho phép tính giá trị gia tăng liên quan đến nhóm phụ H 4950 đã xem xét.
6. Kinh tế biển của Ba Lan 2010–2017
Theo quy trình trên, quy mô của nền kinh tế biển của Ba Lan đã được ước tính
theo mô hình dữ liệu bảng cho giai đoạn 2010–2017. Trong thời kỳ phân tích, GVA
do nền kinh tế đại dương của Ba Lan tạo ra đã tăng từ 2,6 tỷ euro vào năm 2010
lên 3,6 tỷ euro vào năm 2017, cho thấy một xu hướng tăng nhẹ nhưng không đều (Hình 3). 3800 3646,8 3600 3400 3200 3000 2926,8 2841,3 2983,3 2800 2753,3 triệu Euro 2640,5 2624,2 2581,0 2600 2400 2200 2000
2010 2011 2012 2013 2014 2015 2016 2017
Hình 3: Quy mô của nền kinh tế xanh Ba Lan từ 2010-2017. Nguồn: tự tổng hợp
So với tổng giá trị gia tăng (GVA) của nền kinh tế Ba Lan trong giai đoạn được
phân tích, tỷ trọng của kinh tế biển ổn định, dao động quanh mức 0,80% và đạt
tối đa 0,97% vào năm 2017. Đồng thời, tỷ lệ tăng trưởng kép hàng năm (CAGR)
của kinh tế biển trong giai đoạn 2010–2017 đạt 5,06%, so với 2,44% của toàn bộ nền kinh tế (Hình 4). 1.2 1 0.97 0.81 0.82 0.79 0.76 0.82 0.81 0.78 0.8 0.6 % GVA của Ba Lan 0.4 0.2 -1.66533453693773E-16
2010 2011 2012 2013 2014 2015 2016 2017
Hình 4: Nền kinh tế biển trong phần trăm kinh tế Ba Lan. Nguồn: tự tổng hợp
Từ góc độ ngành, trong giai đoạn được phân tích, bảy ngành công nghiệp chiếm
ưu thế về quy mô trong lĩnh vực kinh tế biển. Tất cả đều liên quan đến chế biến và
bán buôn thủy sản (C 1020 và G 4638), xây dựng, sửa chữa và buôn bán tàu
thuyền (C 3011, C 3315 và G 4614), hoặc du lịch ven biển và ẩm thực (I 5510 và I
5610). Các ngành trên đều có giá trị vượt 100 triệu euro vào năm 2010 và, ngoại
trừ C 3011 (xây dựng tàu và các cấu trúc nổi), đều gia tăng về giá trị từ năm 2010 đến 2017 (xem Hình 5). 800 700 600 500 400 Tr 300 iệu Euro 200 100 0 C1020 C3011 C3315 G4614 G4638 I5510 2010 2017
Hình 5: Các phân ngành lớn nhất của nền kinh tế biển Ba Lan trong năm 2010 so
với năm 2017. Nguồn: tự tổng hợp.
So với các tính toán trước đây về quy mô nền kinh tế biển của Ba Lan (Zaucha và
Brodzicki, 2016, tính toán theo phương pháp cắt ngang năm 2010), các ước tính
của chúng tôi đã xem xét một số ngành công nghiệp (phân ngành) nhiều hơn đáng
kể — 35 ngành thay vì 26. Điều này đã được thực hiện nhờ kết hợp nhiều nguồn
dữ liệu và áp dụng phương pháp ước tính. So với kết quả của các nghiên cứu
trước đây, giá trị gia tăng của nền kinh tế biển vào năm 2010 theo ước tính của
chúng tôi là 2,581 tỷ euro, trong khi theo Zaucha và Brodzicki (2016) là 2,186 tỷ
euro — những con số này đều có thể được xem là hợp lý về mặt kinh tế. 7. Thảo luận
Phương pháp ước tính nền kinh tế đại dương mà chúng tôi trình bày ở trên về cơ
bản tương tự như phương pháp của Ủy ban Châu Âu (2021b). Cả hai phương
pháp đều chủ yếu dựa vào dữ liệu từ Eurostat ở mức phân tách bốn chữ số, phân
loại các ngành này là đóng góp hoàn toàn vào nền kinh tế biển hoặc ước tính
phần đóng góp của chúng. Trong các tính toán cuối cùng, Ủy ban Châu Âu xem xét
49 ngành công nghiệp có đóng góp trực tiếp hoặc gián tiếp vào nền kinh tế đại
dương. Trong nghiên cứu của chúng tôi, chỉ có 35 ngành được xem xét. Tổng
cộng, cả hai nghiên cứu cùng xem xét 55 ngành công nghiệp. Sự khác biệt này —
26 ngành — chủ yếu đến từ các ngành mà ở Ba Lan không tồn tại quy mô thương
mại (ví dụ, khai thác muối, nuôi trồng thủy sản) hoặc đóng vai trò không đáng kể
trong nền kinh tế biển của Ba Lan (ví dụ, sản xuất điện, vận tải đường sắt hành
khách liên tỉnh, vận tải hàng không hành khách và sản xuất các sản phẩm dệt may
chế tạo, ngoại trừ quần áo). Các ngành được lựa chọn được trình bày trong Bảng 2.
Cả hai phương pháp đều đồng nhất xem xét một số ngành công nghiệp là hoàn
toàn thuộc về nền kinh tế biển, trong khi các ngành khác được xem là có phần
đóng góp vào nền kinh tế biển. Sự khác biệt quan trọng nhất giữa các nghiên cứu
nằm ở phương pháp ước tính. Nghiên cứu của EU (2021) ước tính tỷ lệ đóng góp
của một ngành vào nền kinh tế biển chủ yếu dựa trên các nguồn dữ liệu của EU,
như cơ sở dữ liệu PRODCOM (cung cấp thông tin về sản xuất bán ra, tổng sản xuất
và sản xuất gia công ở các ngành B và C) hoặc cơ sở dữ liệu SBS (cung cấp thông
tin về giá trị gia tăng (GVA), số lượng doanh nghiệp, và việc làm ở mức phân
ngành bốn chữ số của hệ thống phân loại NACE rev. 2), và ít hơn là dựa vào số liệu
thống kê quốc gia — đặc biệt là đối với các dịch vụ, vốn không được bao phủ bởi
dữ liệu PRODCOM và SBS. Ngược lại, phương pháp của chúng tôi chủ yếu sử dụng
các nguồn dữ liệu quốc gia (từ Cục Thống kê Ba Lan) hoặc dữ liệu cấp vi mô (cơ sở
dữ liệu Orbis), như đã mô tả trong phần trước. Điều này cho phép sử dụng các
nguồn dữ liệu đặc thù cho từng quốc gia và ngành, giúp đạt được các ước tính chính xác hơn.
Ở cấp độ ngành, các nghiên cứu đều xác định các ngành đóng vai trò quan trọng
trong nền kinh tế biển của Ba Lan là tương tự nhau. Những ngành quan trọng
nhất (năm ngành hàng đầu) theo các nghiên cứu được trình bày trong Hình 5.
Trong nghiên cứu của Ủy ban Châu Âu (2021), những ngành quan trọng nhất là du
lịch ven biển, tài nguyên sống, và hoạt động cảng, điều này tương đối phù hợp với kết quả của chúng tôi.
Ở cấp độ phân ngành chi tiết hơn, nghiên cứu của Ủy ban Châu Âu (2021) chỉ cung
cấp dữ liệu riêng biệt cho các năm 2009 và 2018. Do đó, đối với năm 2018, những
phân ngành quan trọng nhất là chế biến và bảo quản cá, động vật giáp xác và
động vật nhuyễn thể; tất cả các hình thức lưu trú, kho bãi và lưu trữ; sửa chữa và
bảo trì tàu thuyền; và các hoạt động vận tải liên quan đến du lịch ven biển, điều
này cũng tương đối phù hợp với kết quả của chúng tôi.
Không có gì ngạc nhiên khi, do những khác biệt trên về phương pháp, các nghiên
cứu thu được những kết quả tổng hợp hơi khác nhau (được trình bày trong Hình
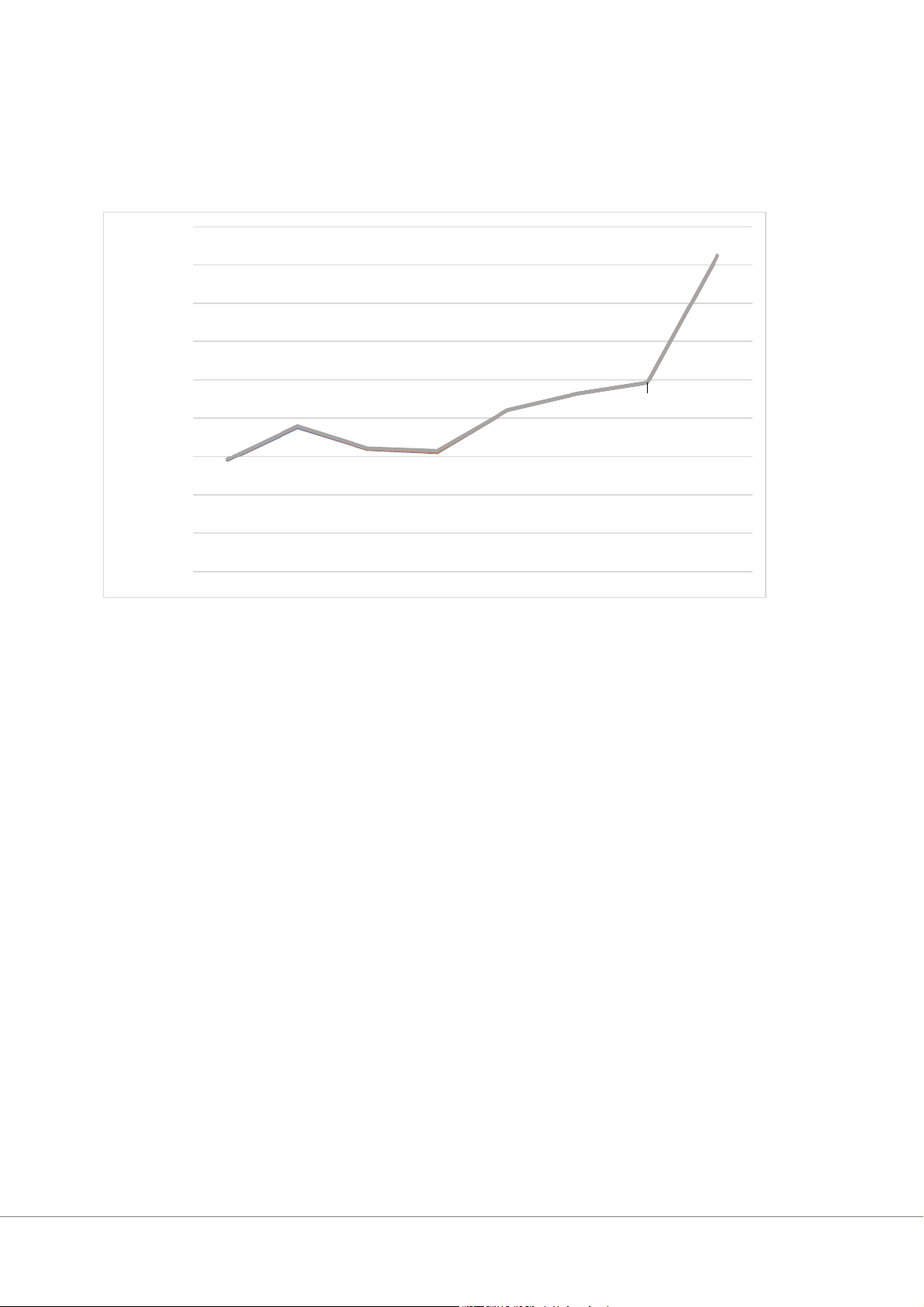
6). Phương pháp của chúng tôi, với tất cả các năm trừ năm 2013, cho kết quả về
quy mô nền kinh tế biển lớn hơn so với phương pháp của Ủy ban Châu Âu. Trung
bình, nghiên cứu của Ủy ban Châu Âu (2021) ước tính thấp hơn quy mô nền kinh
tế biển khoảng 11% trong suốt giai đoạn phân tích. Về mặt tuyệt đối, sự khác biệt
này lớn nhất vào năm 2017, đạt 472 triệu euro. 1.2 1 0.8 0.6 % GVA cỉa Ba Lan 0.4 0.2 -1.66533453693773E-16
2010 2011 2012 2013 2014 2015 2016
Phương pháp của chúng tôi EU (2021)
Hình 6: So sánh kết quả thu nhận được từ 2 nghiên cứu. Nguồn: tự tổng hợp
Đồng thời, nếu chuyển đổi sự chênh lệch trung bình giữa các phương pháp sang
số liệu việc làm ước tính của EU, sự thiếu sót 11% này tương đương với việc bỏ
sót khoảng 16.000 việc làm trong kết quả. Cần nhấn mạnh rằng sự khác biệt này
còn rõ rệt hơn khi tính đến phạm vi ngành rộng hơn trong phân tích của EU.
Khi đánh giá các phương pháp trên, cần nhắc lại rằng cả hai đều nhất quán với
mục tiêu chính—ước tính quy mô nền kinh tế biển—nhưng cách tiếp cận được sử
dụng có sự khác biệt nhẹ. Khung phương pháp của EU đảm bảo tính phổ quát và
khả năng so sánh kết quả giữa các quốc gia thành viên thông qua việc chỉ rõ các
ngành và dữ liệu sử dụng. Nghiên cứu của chúng tôi, ngược lại, áp dụng cách tiếp
cận đặc thù cho quốc gia, lấy Ba Lan làm ví dụ. Phương pháp này rõ ràng đòi hỏi
công sức và chuyên môn nhiều hơn để tìm kiếm nguồn dữ liệu và hiểu rõ các yếu
tố đặc thù quyết định sự khác biệt trong tỷ lệ đóng góp của các ngành ở từng
quốc gia cụ thể. Cần nhấn mạnh rằng việc từ bỏ phương pháp EU thống nhất để
lựa chọn một cách tiếp cận phù hợp với từng quốc gia không làm ảnh hưởng đến
khả năng so sánh quốc tế của kết quả, vì sự thiếu thống nhất về phương pháp sử
dụng không có nghĩa là thay đổi đối tượng phân tích. 8. Kết luận
Bài viết này cung cấp một phương pháp thay thế để tính toán nền kinh tế biển,
tập trung vào việc sử dụng dữ liệu vi mô quốc gia một cách mạnh mẽ hơn. Chúng
tôi có thể kết luận rằng nỗ lực của chúng tôi cho thấy sự đánh đổi giữa việc sử
dụng các phương pháp chuẩn hóa để tính toán quy mô nền kinh tế biển (phương
pháp "một kích thước phù hợp với tất cả") và việc sử dụng các phương pháp đặc
thù cho từng quốc gia, cho phép tiếp cận chính xác và phù hợp hơn, nhưng đồng
thời làm cho việc so sánh giữa các quốc gia trở nên ít rõ ràng hơn. Kết quả cũng
chỉ ra rằng việc sử dụng các phương pháp khác nhau sẽ tạo ra các kết quả khác
nhau, điều này có thể dẫn đến các kết luận và khuyến nghị khác nhau. Với sự
đánh đổi đã nêu, có thể thấy rằng việc lựa chọn phương pháp nên căn cứ vào nhu
cầu cụ thể của các nhiệm vụ chính sách và nghiên cứu khác nhau.
Một cuộc tổng quan về tài liệu cho thấy thông tin về quy mô nền kinh tế biển là
hữu ích trong nhiều nhiệm vụ nghiên cứu và chính sách, ví dụ như:
a) Để phân tích sự đóng góp của tăng trưởng xanh biển do các yếu tố bên ngoài
hay lợi thế cạnh tranh đặc thù của quốc gia, ví dụ như phân tích sự chuyển dịch
theo phân khúc (shift-share analysis) (ví dụ, Mogila et al., 2021);
b) Để phân tích tác động của quản lý chính sách (ví dụ, quy hoạch không gian
biển) đối với tăng trưởng biển (ví dụ, Surís-Regueiro et al., 2021);
c) Để đo lường giá trị thuê không gian biển trong các ngành biển khác nhau (ví dụ, Psuty et al., 2021);
d) Để phân tích việc sử dụng đa mục đích biển (marine multi-use) dưới góc độ
kinh tế (ví dụ, Stancheva et al., 2022); và
e) Để xác định các tác động gián tiếp và tác động phát sinh từ nền kinh tế biển (ví
dụ, Morrissey và O'Donoghue, 2013; Ashyrov et al., 2018).
Phương pháp thử nghiệm ở Ba Lan có thể được coi là một giải pháp tốt hơn hoặc
thay thế để nghiên cứu các tác động gián tiếp và phát sinh của nền kinh tế biển ở
cấp quốc gia, phân tích tác động của chính sách quốc gia và đo lường giá trị thuê
không gian biển ở cấp quốc gia. Tuy nhiên, phương pháp đảm bảo khả năng so