



















Preview text:
TRƯỜNG ĐẠI HỌC THƯƠNG MẠI KHOA MARKETING -----◻◻·◻◻----- BÁO CÁO THẢO LUẬN
Học phần: Kinh tế vi mô 1 Đề tài
ĐỘC QUYỀN VÀ CẠNH TRANH TRONG THỊ TRƯỜNG
MẠNG ĐIỆN THOẠI DI ĐỘNG VIỆT NAM HIỆN NAY
Nhóm thực hiện thảo luận : 06
Lớp học phần : 241_MIEC0111_03
Giáo viên hướng dẫn : Hoàng Anh Tuấn HÀ NỘI – 2024
Bảng đánh giá các thành viên nhóm 6: STT Họ và tên Mã SV Nhiệm vụ
Đánh giá của nhóm trưởng Điểm
Nội dung ban đầu cop y nguyên trên
mạng, không có sự chắt lọc, phải sửa lại toàn bộ Nguyễn
Làm nội dung Tự giác sửa bài sau đó thì có chỉn chu 1 Huyền Ly 23D120174 phần 2.3 hơn 9.32
Nội dung tham khảo trên mạng khá
nhiều, không có sự chắt lọc ý nhưng Hoàng Tuấn
Làm nội dung không phải chỉnh sửa lại nhiều 2 Minh 23D120028 phần 3
Hoàn thành muộn DL phần 2.5 9.27
Nội dung chưa chỉn chu, chưa có sự Nguyễn Huy
Làm nội dung chắt lọc ý 3 Anh Minh 23D120029 phần 2.4
Sau khi góp ý thì đã tích cực sửa bài 9.28
Nội dung ban đầu sơ sài, không gạch ý,
không đưa các đồ thị vào bài Lê Tuấn
Làm nội dung Không tự giác sửa bài, phải để nhóm 4 Minh 23D120177 phần 1.2 trưởng giục mới sửa 9.22 Đoàn Nhật
Làm nội dung Nội dung khá ổn, không phải sửa đi sửa 5 Minh 23D120129 phần 3
lại nhiều lần, nộp sớm hơn DL 9.35
Nội dung sai, phải sửa đi sửa lại khá nhiều lần Phan Nhật
Làm nội dung Không tự giác sửa bài mà phải để nhắc 6 Minh 23D120082 phần 2.1 rất nhiều 9.17 Làm nội dung phần 2.2 Nguyễn Làm
Nội dung tốt, không phải sửa lại nhiều 7 Xuân Mai 23D120175 powerpoint
Powerpoint làm khá ổn, đẹp, rõ ràng 9.46
Nội dung khá ổn, không phải chỉnh sửa Làm nội dung lại nhiều phần 2.5
Thuyết trình rõ ràng nhưng hơi dài dòng Bùi Hà My Thuyết trình Tích cực sửa bài (Nhóm Sửa bài
Chưa sát sao nhắc nhở các bạn share 8 trưởng) 23D120083 Làm outline slide 9.92
Nội dung khá ổn, không phải sửa lại nhiều
Làm nội dung Word tổng hợp ổn nhưng vẫn còn vài phần 2.5 chỗ chưa căn chỉnh Tổng hợp
Tích cực đóng góp ý kiến vào bài thảo
9 Lại Thúy Nga 23D120084 word luận 9.63
Nội dung khá ổn, không phải chỉnh sửa lại nhiều
Làm nội dung Powerpoint đẹp, rõ ràng Đoàn Bảo phần 1.1,
Tích cực đóng góp vào bài thảo luận và Ngân (Thư Làm
hoàn thành tốt trách nhiệm, vai trò của 10 ký) 23D120132 powerpoint một thư ký. 9.85 MỤC LỤC
LỜI MỞ ĐẦU..................................................................................................................3
CHƯƠNG I. CƠ SỞ LÝ THUYẾT................................................................................5
1. Cạnh tranh...................................................................................................................5
1.1. Thị trường cạnh tranh hoàn hảo.............................................................................5
1.2. Thị trường cạnh tranh độc quyền ..................................................................11
2. Độc quyền...................................................................................................................12
2.1. Thị trường độc quyền thuần túy............................................................................12
2.2. Độc quyền nhóm:...................................................................................................16
CHƯƠNG II. THỰC TRẠNG THỊ TRƯỜNG MẠNG ĐIỆN..................................20
THOẠI DI ĐỘNG VIỆT NAM....................................................................................20 1.
Tổng quan thị trường mạng điện thoại di động ở Việt Nam..............................20
1.1. Thị trường mạng điện thoại di động ở Việt Nam..................................................20
1.2. Xu hướng thị trường mạng điện thoại di động ở Việt Nam..................................20
1.3. Thị phần của thị trường mạng di động ở Việt Nam..............................................22
1.4. Tốc độ phát triển của Internet ở Việt nam.............................................................22 2.
Đặc điểm thị trường mạng điện thoại di động....................................................23
2.1. Cạnh tranh mạnh mẽ.............................................................................................23
2.2. Tăng trưởng nhanh chóng.....................................................................................23
2.3. Đa dạng dịch vụ.....................................................................................................24 3.
Độc quyền của các nhà cung cấp dịch vụ mạng..................................................24
3.1. Các biểu hiện của độc quyền trong ngành dịch vụ mạng.....................................25
3.2. Ảnh hưởng của độc quyền đối với người tiêu dùng và thị trường.......................28
3.3 Sự can thiệp của nhà nước nhằm tránh tình trạng độc quyền..............................29 4.
Cạnh tranh của các nhà cung cấp dịch vụ mạng................................................30
4.1. Cạnh tranh trong chiếm lĩnh thị phần..................................................................30
4.2. Cạnh tranh về giá cước..........................................................................................31
4.3. Cạnh tranh về chất lượng dịch vụ.........................................................................33
4.4. Cạnh tranh về kênh phân phối..............................................................................34 5.
Phân tích một hãng: Viettel..................................................................................34
5.1. Tổng quan về thương hiệu Viettel.........................................................................35
5.2. Các loại dịch vụ của hãng......................................................................................35
5.3. Tình trạng cạnh tranh của Viettel.........................................................................36 3
5.4. Tình trạng độc quyền của Viettel...........................................................................37
5.5. Mô hình độc quyền nhóm của Viettel....................................................................37
5.6. Hiệu quả của cạnh tranh và độc quyền đối với Viettel.........................................38 6.
Kết luận về thị trường...........................................................................................39
CHƯƠNG III. ĐỀ XUẤT VÀ KIẾN NGHỊ................................................................40
2.1. Hạn chế về vấn đề độc quyền.................................................................................40
2.2. Hạn chế về vấn đề giá cao.....................................................................................41
KẾT LUẬN....................................................................................................................44
Tài liệu tham khảo:.......................................................................................................45 4 LỜI MỞ ĐẦU
Hiện nay, nền kinh tế Việt Nam là nền kinh tế thị trường phát triển theo định hướng xã
hội chủ nghĩa, đặc biệt đứng trước thời kì mở cửa, tính chất độc quyền và cạnh tranh trên thị
trường đang là vấn đề rất được quan tâm. Nhiều lĩnh vực kinh tế của nước ta đang có xu
hướng trở thành những thị trường mang tính chất cạnh tranh hoàn toàn, hội nhập quốc tế.
Bên cạnh đó vẫn còn nhiều lĩnh vực kinh tế mang tính chất độc quyền.
Tuy nhiên vẫn còn một số lĩnh vực điển hình như mạng di động ở nước ta, vấn đề này
có tính chất phức tạp hơn, đan xen giữa độc quyền và cạnh tranh. Cần phải được nghiên cứu
kĩ và có các định hướng nhất định cho quá trình phát triển của lĩnh vực này. Từ đó có thể
mang lại lợi ích cho cả nhà cung cấp dịch vụ và người tiêu dùng, thúc đẩy phát triển toàn ngành viễn thông.
Chính vì vậy nên nhóm chúng em đã chọn đề tài: “ Độc quyền và cạnh tranh trong thị
trường mạng di động Việt Nam” để có thể tìm hiểu kỹ hơn về vấn đề đang được chú ý này.
Hy vọng qua đây sẽ có được cái nhìn rõ hơn và khoa học hơn về thị trường kinh tế ở Việt
Nam nói chung cũng như thị trường mạng điện thoại di động trong nước nói riêng và từ đó
rút ra các nhận định đánh giá của bản thân. 5
CHƯƠNG I. CƠ SỞ LÝ THUYẾT 1. Cạnh tranh
1.1. Thị trường cạnh tranh hoàn hảo a. Khái niệm
Thị trường cạnh tranh hoàn hảo là thị trường mà trong đó các quyết định mua hay
bán của từng người mua hay từng người bán riêng lẻ không ảnh hưởng gì đến giá cả trên thị trường.
b. Đặc điểm của thị trường cạnh tranh hoàn hảo
Sốlượngcácdoanhnghiệptrongngànhlàđủlớnsaochosảnlượngcủamỗidoanh
nghiệplàkhôngđángkểsovớicảngànhnóichung. Do vậy, thị phần của mỗi doanh
nghiệp sẽ rất nhỏ và doanh nghiệp không có khả năng chi phối giá cả trên thị trường
bằng các quyết định cung ứng của mình.
Sảnphẩmcủangànhphảitươngđốiđồngnhất vàtínhgiá nhưnhau,để chosản
phẩmcủacácdoanhnghiệpcóthểthaythếhoànhảochonhau. Sản phẩm của các
nhà sản xuất là giống nhau nên người tiêu dùng có thể sử dụng sản phẩm của bất kỳ
nhà sản xuất nào cũng đều cảm thấy thỏa mãn như nhau. Do vậy, nếu có một doanh
nghiệp nào muốn định giá sản phẩm của mình cao hơn mức giá chung P ,0 nó sẽ
không bán được sản phẩm nào hết vì người mua sẽ mua sản phẩm giống như vậy của doanh nghiệp khác.
Thôngtinhoànhảochongườitiêudùngvềchấtlượngsảnphẩmsaochongườimua
nhậnthấynhữngsảnphẩmgiốngnhaucủacácdoanhnghiệpkhácnhauthựcsựlà
nhưnhau. Thậm chí các doanh nghiệp sản xuất sản phẩm đồng nhất, họ cũng có thể
định giá sản phẩm mình khác với người khác nếu người mua không có thông tin hoàn
hảo về chất lượng và đặc tính của sản phẩm ấy. Chẳng hạn, nếu không hiểu nhiều về
bột giặt, khách hàng sẽ nghĩ rằng bột giặt OMO nếu bán với giá 12.000 đồng/kg sẽ
tốt hơn bột giặt DASO có giá 10.000 đồng/kg. Do vậy, chúng ta phải giả định người
mua có thông tin hoàn hảo về sản phẩm để doanh nghiệp không có khả năng định giá khác với mức giá chung.
Khôngcóràocảnvềviệcgianhậphoặcrútluikhỏithịtrường.Tựdonhậpvàxuất
ngànhsaochokhôngcósựcấukếtcủacácdoanhnghiệphiệnhành. Với quá nhiều
doanh nghiệp trong ngành, việc tổ chức thành hiệp hội sẽ rất tốn kém, các nhà quản
lý sẽ tốn nhiều thời gian để thương lượng với các doanh nghiệp khác hơn là để tổ
chức sản xuất. Nếu đường cầu thị trường rất co giãn, khả năng tăng giá của các doanh
nghiệp là rất ít. Thậm chí nếu các doanh nghiệp có thể cấu kết với nhau để tăng giá,
điều này sẽ thu hút các doanh nghiệp mới nhập ngành và làm sản lượng tăng, dẫn tới
giá sẽ lại giảm xuống. Trong thị trường cạnh tranh hoàn hảo, doanh nghiệp hoàn toàn
tự do lựa chọn gia nhập hay rút khỏi ngành mà không có một trở ngại pháp lý nào cả
hay không có các chi phí đặc biệt nào gắn với việc gia nhập.
c. Đường cầu và đường doanh thu cận biên
-Hãng cạnh tranh hoàn hảo không có sức mạnh thị trường, là người “chấp nhận giá”
• Hãng không thể bán với giá cao hơn mức giá trên thị trường
• Hãng không có lý do để bán với mức giá thấp hơn mức giá thị trường 6
• Hãng luôn hoạt động tại mức giá được ấn định trên thị trường
• Hãng có thể bán bất cứ mức sản lượng nào mà hãng muốn ở mức giá thị trường
• Đường cầu của hãng cạnh tranh hoàn hảo là đường cầu nằm ngang tại mức giá thị
trường• Đường doanh thu cận biên của hãng trùng với đường cầu và đường doanh thu bình quân
d. Lựa chọn sản lượng của hãng cạnh tranh hoàn hảo trong ngắn hạn
●Điều kiện tối đa hóa lợi nhuận:
-Điều kiện chung cho tất cả các loại hình doanh nghiệp: MR = MC
-Đối với hãng cạnh tranh hoàn hảo: đường cầu trùng với đường doanh thu cận biên => P = MR
-Kết hợp 2 điều kiện trên, suy ra điều kiện để hãng cạnh tranh hoàn hảo tối đa hóa lợi
nhuận là hãng lựa chọn mức sản lượng mà tại đó: P = MC
−¿Không phải mọi mức sản lượng có P = MC, hãng cạnh tranh hoàn hảo đều tối đa hóa lợi nhuận. 7
+¿ Lợi nhuận của hãng cạnh tranh hoàn hảo:
π=TR−TC =P. Q−TC
+ Điều kiện cần để tối đa hóa lợi nhuận πQ'=¿
+ Điều kiện đủ để tối đa hóa lợi nhuận π' '=¿
●P > MC muốn tăng lợi nhuận hãng cần tăng sản lượng
●P < MC muốn tăng lợi nhuận hãng cần giảm sản lượng
●Khả năng sinh lợi của hãng cạnh tranh hoàn hảo trong ngắn hạn
TH1: Khi P > ATCmin
TR=P0⋅Q¿=S0P =ATC .Q ⇒π=S 0E Q ¿TC
¿=BQ¿⋅Q¿=S0ABQ ¿ ABE P0
TH2: Khi P = ATCmin
TR =P0⋅Q¿=S0P =ATC .Q ⇒π=0 0EQ ¿TC
¿=EQ ¿⋅Q¿=S0P0E Q¿ 8
=> PH =ATCminMà ATCmin khi ATC = MC vốn
TH3: AVCmin P ˂˂ ATCmin
TR =P0⋅Q¿=S0P =ATC .Q
⇒Hãng thua lỗ=S
Nếu hãng ngừng sản xuất hãng 0EQ ¿TC
¿=BQ¿⋅Q¿=S0ABQ ¿ ABE P0
VC =AVC ⋅Q¿=NQ¿⋅Q¿=S0MN Q ⇒ =S ¿ FC ABNM
Hãng nêntiếp tục sản xuất Doanh thu S0P0E Q bù đắp được cho toàn bộ chií ph ¿
biến đổi và một phần chi phí cố định
TH4: Khi P ≤ ATCmin
TR=P0⋅Q¿=S0P =ATC .Q
⇒Hãng thualỗ=S ; FC =S 0E Q ¿TC
¿=BQ¿⋅Q¿=S0ABQ ¿ ABE P0 ABE P0
Pđóng cửa ≤ AVCmin Mà AVCmin khi AVC = MC
●Đường cung của hãng cạnh tranh hoàn hảo trong ngắn hạn: 9
-Là đường MC, dốc lên về phía phải.
-Xuất phát từ điểm đóng cửa sản xuất trở lên (P ≥ AVCmin).
-Đường cung của ngành là tổng các đường cung của hãng theo chiều ngang (trục hoành).
●Lựa chọn sản lượng của hãng cạnh tranh hoàn hảo trong dài hạn:
-Tối đa hóa lợi nhuận trong dài hạn
+ Điều kiện tối đa hóa lợi nhuận trong dài hạn: P = MR = LMC
+ Trong dài hạn, hãng cạnh tranh hoàn hảo sẽ điều chỉnh quy mô sao cho SMC = LMC = P
*Nếu P > LACmin ∀ hãng có lợi nhuận kinh tế dương
*Nếu P = LACmin ∀ hãng có lợi nhuận kinh tế bằng 0
*Nếu P < LACmin ∀ hãng có lợi nhuận kinh tế âm ∀ có động cơ rời bỏ ngành
+ Khả năng sinh lợi của hãng cạnh tranh hoàn hảo trong dài hạn
-Cân bằng cạnh tranh dài hạn của ngành cạnh tranh hoàn hảo
+ Trong dài hạn, các hãng cạnh tranh hoàn hảo chỉ thu được mức lợi nhuận kinh tế = 0
+ Ngành (thị trường) cạnh tranh hoàn hảo sẽ đạt trạng thái cân bằng trong dài hạn khi: P
= LACmin = LMC = ATCmin = SMC
-Đường cung của ngành cạnh tranh hoàn hảo trong dài hạn
+ Trong dài hạn, cung của ngành không được xác định bằng cách cộng theo chiều ngang 10
đường cung của các hãng trong ngành.
+ Hình dáng đường cung dài hạn của ngành phụ thuộc vào ngành có chi phí không đổi hay chi phí tăng:
• Ngành có chi phí không đổi: Khi có các hãng mới gia nhập hoặc rút lui khỏi ngành
không làm thay đổi giá của yếu tố đầu vào và chi phí dài hạn không đổi
• Ngành có chi phí tăng: Khi các hãng mới tham gia vào ngành làm tăng giá của các yếu
tố đầu vào làm và chi phí dài hạn tăng lên
1.2. Thị trường cạnh tranh độc quyền a. Khái niệm:
Thị trường cạnh tranh độc quyền là một thị trường mà trong đó có rất nhiều doanh
nghiệp sản xuất các sản phẩm có đôi nét khác biệt với các doanh nghiệp khác và mỗi doanh
nghiệp chỉ có khả năng quyết định giá bán sản phẩm của chính doanh nghiệp mình.
b. Các đặc trưng của thị trường cạnh tranh độc quyền (CTĐQ)
- Có rất nhiều hãng sản xuất kinh doanh trên thị trường
- Không có rào cản về việc gia nhập hoặc rút lui khỏi thị trường
- Sản phẩm hàng hóa của các nhà sản xuất có sự khác biệt
+ Hàng hóa thay thế được cho nhau nhưng không phải là thay thế hoàn hảo
c. Đường cầu và đường doanh thu cận biên của hãng cạnh tranh độc quyền 11
- Do sản phẩm hàng hóa của hãng có sự khác biệt với hãng khác → hãng vẫn có khả năng định giá
+ Khả năng tăng giá bán mà không bị mất đi toàn bộ khách hàng
- Hãng cạnh tranh độc quyền vẫn có đường cầu có độ dốc âm
- So sánh cạnh tranh hoàn hảo với độc quyền thuần túy:
+ Với cạnh tranh hoàn hảo: Cạnh tranh độc quyền không nằm ngang như đường cầu
của hãng cạnh tranh hoàn hảo
+ Với độc quyền thuần túy: Không quá dốc như độc quyền thuần túy mà tương đối thoải
d. Tối đa hóa lợi nhuận của hãng cạnh tranh độc quyền trong ngắn hạn
- Giống hệt hãng độc quyền bán thuần túy
+ Điều kiện tối đa hóa lợi nhuận MR = MC
+ Khả năng sinh lợi của hãng cạnh tranh độc quyền trong ngắn hạn + Quy tắc định giá
+ Cạnh tranh độc quyền không có đường cung
e. Tối đa hóa lợi nhuận của hãng cạnh tranh độc quyền trong dài hạn
- Điều kiện tối đa hóa lợi nhuận của hãng cạnh tranh độc quyền trong dài hạn: MR = MC
- Khả năng sinh lợi trong dài hạn:
+ Hãng có lợi nhuận kinh tế dương nếu P > LAC
+ Hãng có lợi nhuận kinh tế bằng = 0 nếu P = LAC
+ Hãng có lợi nhuận kinh tế âm nếu P < LAC
-Như vậy, hãng cạnh tranh độc quyền:
+ Còn sản xuất nếu P ≥ LAC
+ Hãng ra khỏi ngành nếu P < LAC 2. Độc quyền
2.1. Thị trường độc quyền thuần túy a. Khái niệm
Thị trường độc quyền bán thuần túy là thị trường mà trong đó chỉ có duy nhất một 12
doanh nghiệp cung ứng toàn bộ hàng hóa hay dịch vụ trên thị trường. Doanh nghiệp cung
ứng duy nhất này được gọi là doanh nghiệp độc quyền bán.
b. Đặc trưng của thị trường độc quyền bán thuần túy
Thịtrườngchỉcómộtngườibánduynhất. Do là người bán duy nhất trên thị trường
nên cầu thị trường cũng chính là cầu đối với doanh nghiệp độc quyền
Sảnphẩmhànghóatrênthịtrườngnàykhôngcóhànghóathaythếgầngũi. Doanh
nghiệp độc quyền bán sẽ không phải lo ngại về phản ứng của các doanh nghiệp khác
đối với chính sách giá của mình.
Córàocảnlớnvềviệcgianhậpthịtrường. Ngay cả khi doanh nghiệp độc quyền thu
được lợi nhuận kinh tế dương khiến cho các doanh nghiệp khác rất muốn tham gia thị
trường để cũng thu được lợi nhuận kinh tế dương nhưng những rào cản gia nhập đã
ngăn cản các doanh nghiệp làm điều đó.
c. Đường cầu và đường doanh thu cận biên của hãng độc quyền
Đường cầu của hãng chính là đường cầu của thị trường.
Là một đường có độ dốc âm tuân theo luật cầu
Khi đường cầu là đường tuyến tính
Phương trình hàm cầu có dạng P = a – bQ
Tổng doanh thu TR = P × Q = aQ – bQ2
Doanh thu cận biên MR = a – 2bQ
Đường doanh thu cận biên cũng là đường tuyến tính, cùng cắt trục tung tại cùng một
điểm với đường cầu và có độ dốc gấp đôi độ dốc đường cầu
Doanh thu cận biên và độ co dãn
Khi đường cầu của hãng là đường tuyến tính dạng P=a – b.Q
Tổng doanh thu của hãng độc quyền được tính bằng: TR = P.Q = a.Q – b.
Đường doanh thu bình quân cũng chính là đường cầu của thị trường.Khi đường cầu
dốc xuống thì giá và doanh thu bình quân luôn lớn hơn doanh thu cận biên, vì tất cả
đơn vị bán ở cùng một giá. Tăng lượng bản thêm một đơn vị thi giá bán phải giảm
xuống, như vậy tất cả đơn vị bắn ra đều phải giảm giá chứ không phải chỉ một đơn vị bán thêm.
=> Đường doanh thu cận biên (MR) vì thế luôn nằm dưới đường cầu D, cắt trục tung tại
một điểm với đường cầu và có độ đốc gấp đổ đường cầu, trừ điểm đầu tiên 13
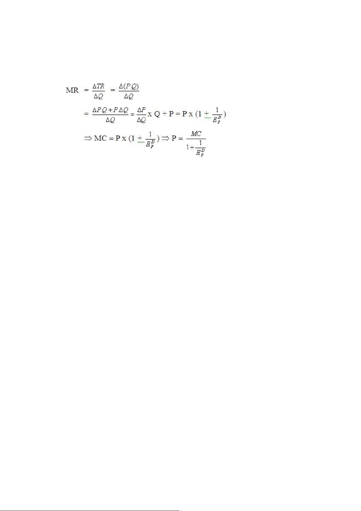
Công thức tính doanh thu cận biên: MR = ∆TR/∆Q = P.(1+1/EDp)
d. Tối đa hóa lợi nhuận của thị trường độc quyền bán thuần túy trong ngắn hạn
Điều kiện lựa chọn sản lượng tối đa hóa lợi nhuận trong ngắn hạn: Để tối đa hóa
lợi nhuận nhà độc quyền trước hết phải xác định các đặc điểm của thị trường cũng
như chi phí của mình để quyết định số lượng sản xuất và bán ra. Giá mỗi sản phẩm
nhà độc quyền thu được suy trực tiếp từ đường cầu thị trường.Như chúng ta đã biết,
điều kiện chung để hãng tối đa hóa lợi nhuận là MR=MC. Như Vậy MR=SMC,
trong ngắn hạn hãng độc quyền bán sẽ tối đa hóa lợi nhuận.
Khả năng sinh lợi của hãng độc quyền:
+ Lợi nhuận của hãng độc quyền bán là: π = TR-TC =P.Q-ATC.Q=P.(Q- ATC )
+ Hãng có lợi nhuận kinh tế dương khi P > ATC
+ Hãng có lợi nhuận kinh tế bằng 0 khi P = ATC 14
+ Hãng bị thua lỗ nhưng vẫn tiếp tục sản xuất khi: AVC < P < ATC
+ Hãng ngừng sản xuất khi P ≤ AVC
Lựa chọn sản lượng của hãng độc quyền bán thuần túy
Để tối đa hóa lợi nhuận, doanh nghiệp độc quyền sẽ chọn mức sản lượng mà tại đó có
doanh thu cận biên bằng chi phí cận biên và quyết định sản lượng của hãng độc quyền bán.
- Doanh nghiệp độc quyền bán sẽ lựa chọn mức sản lượng là Q* mà tại điểm mà
đường doanh thu cận biên (MR) cắt với đường chi phí cận biên (MC)
- Tại Q*, dựa vào đường cầu D hãng xác định được giá bán P*
- Hãng độc quyền bán định giá đúng vào thời điểm lựa chọn cung và quyết định lượng
cung của hãng là không thể tách rời đường cầu của nó.
- Hãng độc quyền bán lựa chọn sản lượng tại MR = MC
- Hãng độc quyền bán có đường cầu quyết định dạng đường cầu MC
Đường cầu ảnh hưởng tới quyết định tối đa hóa lợi nhuận của hãng độc quyền bán
thuần túy. Hãng độc quyền bán không có đường cung. Với doanh nghiệp độc quyền
bán, không có quan hệ tương ứng một - một giữa giá cả và sản lượng mà doanh nghiệp
độc quyền cung ứng. Quyết định đầu ra của doanh nghiệp độc quyền bán không chỉ
phụ thuộc vào chi phí cận biên mà còn phụ thuộc vào độ dốc của đường cầu. Kết quả
là khi đường cầu dịch chuyển có thể dẫn tới thay đổi giá mà không thay đổi sản lượng,
hoặc chỉ thay đổi sản lượng mà không thay đổi giá. 15
Quy tắc định giá của hãng độc quyền
Hãng độc quyền để tối đa hóa lợi nhuận luôn sản xuất tại mức sản lượng mà tại đó: MR=MC
=> Hãng độc quyền bán luôn đặt giá cho sản phẩm của mình lớn hơn chi phí cận biên.
Đo lường sức mạnh độc quyền:
- Sức mạnh độc quyền bán: Là khả năng định giá cao hơn chi phí cận biên. Để tối đa
hóa lợi nhuận doanh nghiệp độc quyền phải đặt giá cao hơn chi phí cận biên (P>MC).
Sức mạnh độc quyền được đo bằng chỉ số Lerner: L = (P – MC)/ P
- Hệ số Lerner càng lớn thì sức mạnh độc quyền càng lớn. Doanh nghiệp sẽ không có
sức mạnh độc quyền khi L=0 hay P=MC, trường hợp này xảy ra khi doanh nghiệp là
cạnh tranh hoàn hảo. Sức mạnh độc quyền cao không nhất thiết kéo theo lợi nhuận
cao. Lợi nhuận phụ thuộc vào chi phí bình quân số với giá. Ví dụ, hãng A có thể có
sức mạnh độc quyền hơn hãng B nhưng hãng B có thể kiếm lợi nhuận hơn A vì A có
chi phí bình quân cao hơn. Đường cầu càng kém co giãn (càng dốc) thì hãng càng có
sức mạnh độc quyền và ngược lại. Hãng độc quyền không kinh doanh tại miền cầu
kém co giãn vì miền cầu này đường doanh thu đi xuống. Hãng độc quyền quyết định
sản lượng tại miền cầu co dãn vì tại đây đường doanh thu đi lên
e. Tối đa hóa lợi nhuận của thị trường độc quyền bán thuần túy trong dài hạn
Trong dài hạn, do có rào cản gia nhập thị trường cho nên doanh nghiệp độc quyền
bán thuần túy vẫn giữ được lợi nhuận kinh tế dương. Tuy nhiên, doanh nghiệp sẽ
thay đổi quy mô về mức quy mô có chi phí thấp nhất tương ứng với mức sản lượng tối ưu trong dài hạn.
Giả định rằng, trong dài hạn, các hàng rào ngăn cản gia nhập thị trường đều có hiệu
lực và hãng độc quyền thuần túy vẫn giữ được thế độc quyền bán của mình. Trong
dài hạn, hãng độc quyền bán thuần túy tối đa hóa lợi nhuận ở mức sản lượng mà tại đó: MR = LMC
Tương tự như trong ngắn hạn, quyết định dài hạn của hãng độc quyền bán sẽ sản xuất
nếu P = LAC và rời khỏi ngành nếu P < LAC. 16
Trong dài hạn, hãng độc quyền sẽ điều chỉnh quy mô về mức tối ưu. Có nghĩa trong
dài hạn hãng có điều kiện để lựa chọn quy mô nào phù hợp nhất để có thể tối đa hóa
lợi nhuận và tối thiểu hóa chi phí. Lưu ý: Điều kiện tối đa hóa lợi nhuận trong dài hạn
của hãng độc quyền bán trên chúng ta đã giả định rằng trong dài hạn vẫn chỉ tồn tại
một mình nó. Vì trên thực tế,trong dài hạn thì không chỉ có một hãng độc quyền vì
quốc gia nào trên thế giới đều có luật cạnh tranh (chống độc quyền). Do đó, trong dài
hạn, khi có lợi nhuận kinh tế dương sẽ có thêm 1 hoặc 2 hãng hoặc nhiều hãng tham
gia nên độc quyền bán bị phá vỡ. Vì có nhiều hãng tham gia vào thị trường nên cung
sản phẩm tăng lên, làm cho giá sản phẩm giảm xuống. Giá giảm cho đến khi giá P =
LAC và MR = LMC và lợi nhuận bằng 0.Trong dài hạn thì tổng chi phí cố định được
khấu hao hết, do đó, khi LAC nằm bên phía trên đường cầu hay P < LAC thì hãng sẽ đóng cửa.
2.2. Độc quyền nhóm: a. Khái niệm :
Độc quyền nhóm là hình thái thị trường mà trong đó có một số doanh nghiệp cùng
tham gia hợp tác sản xuất kinh doanh một hoặc một số loại hàng hóa mà sản lượng của họ
chiếm toàn bộ hoặc là phần chủ yếu sản lượng của nền kinh tế.
VD: Chế tạo sắt thép, ô tô, than, ti vi,...
Có thể phân biệt thị trường độc quyền nhóm thành 2 loại:
Các doanh nghiệp không hợp tác với nhau (không liên hệ trực tiếp với nhau mà dự
đoán các hành vi của đối thủ).
b. Cạnh tranh về sản lượng:
MôhìnhCournot(lưỡngđộcquyền) :
Đây là mô hình đơn giản do nhà kinh tế học người Pháp Augustin Cournot đưa ra vào
năm 1938. Với giả định:
Các doanh nghiệp hoạt động độc lập, cùng sản xuất và lựa chọn sản lượng bán ra đồng thời.
Sản phẩm của thị trường là đồng nhất.
Sản lượng trên thị trường là tổng sản lượng của các doanh nghiệp.
Vấn đề đặt ra là cả hai doanh nghiệp chỉ có một lần và cùng một lúc đưa ra quyết định
sản xuất bao nhiêu sản phẩm để tối đa hóa lợi nhuận. Thực chất của vấn đề này là mỗi
doanh nghiệp xem như lượng sản phẩm của đối thủ cạnh tranh là cố định, rối quyết
định lượng sản phẩm của mình để đạt lợi nhuận tối đa. Nhược điểm: trong thực tế,
những giả định của mô hình Cournot thường khó mà thực hiện được, chỉ một lần DN
không thể chọn đúng sản lượng ở thế cân bằng mà phải trải qua quá trình thăm dò,
điều chỉnh mới có thể đạt được. 17
MôhìnhStackelberg(lợithếcủangườiđitrước): Với giả định:
Thị trường có hai doanh nghiệp độc quyền 1 và 2 hoạt động độc lập.
Sản phẩm trên thị trường là đồng nhất.
Doanh nghiệp 1 quyết định công bố trước sản lượng sản xuất của mình
Doanh nghiệp 1 sẽ có một lợi thế chiến lược và sẽ thu được lợi nhuận cao hơn. Bởi vì
khi doanh nghiệp 1 chọn mức sản lượng lớn thì đối thủ cạnh tranh là doanh nghiệp 2
phải chọn mức sản lượng nhỏ hơn nếu muốn tối đa hóa lợi nhuận vì nếu doanh nghiệp
2 đặt Q lớn hơn => đẩy P => cả 2 bị thiệt. Như vậy, thông thường người hành động
trước là người có sức mạnh thị trường lớn hơn.
Các mô hình Cournot và Stackelberg là những biểu hiện của thái độ độc quyền nhóm.
Để lựa chọn việc mô hình nào là thích hợp hơn tùy thuộc vào lĩnh vực kinh hoạt
động. Đối với một ngành công nghiệp gồm có những hãng đại thể giống nhau, không
một hãng nào có được lợi thế hành động hay vị thế lãnh đạo mạnh mẽ, mô hình
Cournot chắc chắn thích hợp hơn. Mặt khác, một số ngành công nghiệp bị khống chế
bởi một hãng lớn, hãng này thường lãnh đạo trong việc đưa ra những sản phẩm mới
hay việc định giá thì mô hình Stackelberg thích hợp hơn.
c. Cạnh tranh về giá cả
MôhìnhBertrand: + Với giả định:
Các doanh nghiệp định giá cùng lúc Sản phẩm đồng nhất Không hợp tác
Mô hình Bertrand về độc quyền nhóm cho rằng các doanh nghiệp sản xuất một sản vật
giống nhau nhưng cạnh tranh với nhau bằng cách ấn định giá cả, mỗi doanh nghiệp coi
các giá của các đối thủ cạnh tranh với mình là cho trước và doanh nghiệp nào có giá cả
thấp nhất sẽ chiếm đoạt được toàn bộ số hàng bán ra. Trong trường hợp này, doanh
nghiệp nào cũng có động cơ làm cho giá cả của mình thấp hơn của các đối thủ cạnh với
mình, cho đến khi giá cả bị kéo xuống bằng chi phí biên. Tính đồng nhất hàm ý người
tiêu dùng sẽ mua của bên bán giá thấp. Công ty định giá cao hơn sẽ không bán được gì.
Mỗi doanh nghiệp nhận thức được rằng cầu của mình phụ thuộc vào giá của chính mình
lẫn giá do các doanh nghiệp khác ấn định. Do đó, bất cứ giá nào ít nhất bằng chi phí
biên đều bảo đảm lợi nhuận không âm.
Tuy nhiên, mô hình này gặp 2 nhược điểm lớn là: 18
Khi các doanh nghiệp đã ấn định giá và thống nhất bán cùng mức giá, lúc đó những
người tiêu dùng đứng trung lập giữa doanh nghiệp, như vậy thị phần của các doanh
nghiệp sẽ khó được xác định trong thế cân bằng. Vì vậy, cạnh tranh số lượng là điều
hiện thực hơn khi một sản vật giống nhau được sản xuất.
Ngoài ra, khi các doanh nghiệp sản xuất ra các sản phẩm đồng nhất, và đã chứng tỏ
được rằng các doanh nghiệp cạnh tranh với nhau bằng cách ấn định trước các khả
năng đầu ra rồi mới ấn định giá cả thì lại quay về thế cân bằng Cournot về số lượng.
Các doanh nghiệp hợp tác với nhau (hành động theo cách phối hợp với nhau trong
việc định giá và sản lượng) dưới hai hình thức: hợp tác ngầm hoặc hợp tác công khai
Độc quyền nhóm hợp tác ngầm (hay mô hình lãnh đạo giá):
Trong một số ngành dưới mô hình này các doanh nghiệp thường có ưu thế trên cả hai mặt:
+ Có chi phí sản xuất thấp nhất, chất lượng sản phẩm bảo đảm, ổn định, có uy tín trên thị trường.
+ Quy mô sản xuất lớn, sản lượng cung ứng chiếm tỷ trọng đáng kể trong ngành.
Doanh nghiệp chiếm ưu thế như vậy sẽ là người quyết định giá bán, các doanh
nghiệp khác sẽ là người chấp nhận giá.
Độc quyền nhóm hợp tác công khai:
+ Khi các doanh nghiệp công khai thỏa thuận hợp tác thỏa thuận với nhau thành một
liên minh sản xuất được gọi là Cartel.
+ Nếu tất cả các doanh nghiệp kết hợp thành một Cartel thì thị trường trở thành thị
trường độc quyền hoàn toàn. Để tối đa hóa lợi nhuận chung, Cartel sẽ ấn định mức
giá và sản lượng cần sản xuất theo nguyên tắc MC = MR, sau đó sẽ phân phối sản
lượng cho các doanh nghiệp thành viên dựa vào vị thế của mỗi doanh nghiệp, hay
phân chia thị trường, mỗi doanh nghiệp thành viên sẽ trở thành doanh nghiệp độc
quyền trong khu vực của mình.
Trong thực tế, thường chỉ có một số doanh nghiệp trong ngành tham gia thành lập
Cartel, nên sản lượng của Cartel chỉ chiếm một phần trong tổng sản lượng, bởi còn
các doanh nghiệp nằm ngoài Cartel. Các Cartel thường có tính quốc tế, với mục tiêu
nâng giá cao hơn nhiều so với giá cạnh tranh bằng cách hạn chế sản lượng cung ứng.
CHƯƠNG II. THỰC TRẠNG THỊ TRƯỜNG MẠNG ĐIỆN
THOẠI DI ĐỘNG VIỆT NAM
1. Tổng quan thị trường mạng điện thoại di động ở Việt Nam 19
1.1. Thị trường mạng điện thoại di động ở Việt Nam
Thị trường mạng di động là nơi hoạt động giữa các nhà cung cấp dịch vụ mạng di động
và người nhận dịch vụ được duy trì theo quy định của Nhà nước. Thị trường mạng di động ở
Việt Nam đang phát triển rất nhanh với sự cạnh tranh sôi nổi từ các nhà mạng lớn như
Viettel, MobiFone, Vinaphone, Vietnamobile và Intel. Viettel dẫn đầu thị trường với hơn
43,5 triệu người dùng, nhờ mạng lưới rộng khắp và công nghệ tiên tiến. MobiFone và
Vinaphone cũng có số lượng người dùng đáng kể, lần lượt là 19,2 triệu và 16,3 triệu. Hiện
nay các nhà cung cấp mạng điện thoại di động ở Việt Nam, đặc biệt là đứng đầu là Viettel
đã không ngừng cải tiến và đầu tư vào công nghệ để duy trì vị thế dẫn đầu và phục vụ tốt hơn cho người dùng.
SốliệuvềthịtrườngmạngđiệnthoạidiđộngởViệtNam: Chỉ số Giá trị Thay đổi so với năm trước
Số lượng người dùng 76 triệu +5% Doanh thu kinh doanh 172.5 nghìn tỷ +5.4% VND
Thị phần thị trường 56.5% +1.64%
Doanh thu từ dịch vụ không di động - 43% (FTTH)
Số lượng khách hàng TV đa nền triệu - tảng
1.2. Xu hướng thị trường mạng điện thoại di động ở Việt Nam
Việt Nam được đánh giá là một quốc gia có nhiều lợi thế để ngành viễn thông có
nhiều tiến bộ hơn nữa trong tương lai. Sự tác động của cuộc cách mạng công nghệ 4.0
đã làm thay đổi mọi mặt, mọi lĩnh vực của đời sống. Không nằm ngoài xu thế đó, ngành
viễn thông chịu ảnh hưởng của khoa học - công nghệ cũng có nhiều sự chuyển mình,
đột phá. Trong thời đại công nghiệp hóa, hiện đại hóa như hiện nay, ngành điện tử viễn
thông được dự đoán sẽ phát triển theo những phương hướng sau đây. a . Kết nối 5G
Mạng 5G là thế hệ thứ 5 của mạng di động. Sự xuất hiện của mạng 5G làm
tăng khả năng kết nối giữa con người và máy móc. Công nghệ này cung cấp tốc độ tải
xuống và tải lên nhanh hơn - gấp khoảng 5 lần so với tốc độ của 4G, đồng thời có khả
năng kết nối ổn định hơn. 5G sở hữu tính năng mà các thế hệ mạng trước đó chưa bao
giờ có thể làm được. Kết nối 5G hiện đang được coi là xu thế của ngành viễn thông, 20