


Preview text:
I . Exchange rate analysis:
1) The measurement tool: Slide 1
Real exchange rate ( RER) :
- Reflects the relative purchasing power between two currencies
- A key indicator in assessing a country’s external competitiveness Where:
e represents the nominal exchange rate (VND/USD),
P is the domestic Consumer Price Index (CPI), P denotes ⁎
the CPI of the trading partner (in this case, the United States).
2) Real data : slide 2
A) Nominal Exchange rate ( NER): slide 3
- From $25,080 ( January) to $26,005 ( May) => A slight
depreciation of the VND relative to the USD. - Reasons :
+ Monetary tightening in the US : “ US enforces global tariffs
for 'economic independence'; ~60 countries face reciprocal half-rate taxes."
+ Monetary expansion in Vietnam: increasing the money
supply -> reducing the value of the VND
=> Those policy has strengthened the USD, causing the VND to lose value in comparison.
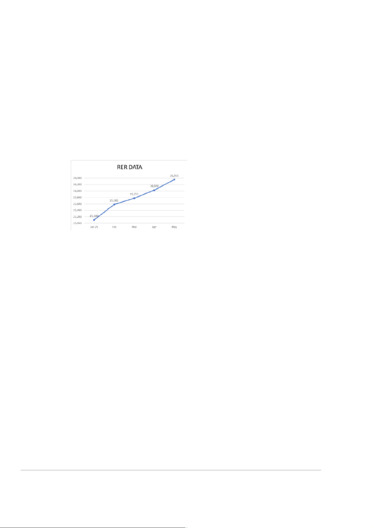
B) Real exchange rate ( RER): slide 4
- RER : increased significantly from $25,100 to $26,335.
- Reasons: Vietnam's CPI rises faster than the U.S’s CPI
- Implication : RER increases → Domestic currency depreciates in real
terms → Domestic goods are cheaper than foreign goods → Exports
increase, imports decrease -> Domestic currency is undervalued.
C) Conclusion : slide 5
- From NER and RER analysis, Vietnamese dong has undergone a real depreciation.
- Real depreciation of the VND reflects” lower purchasing power amid inflation, strong USD, and trade tensions."