Report tài liệu
Chia sẻ tài liệu
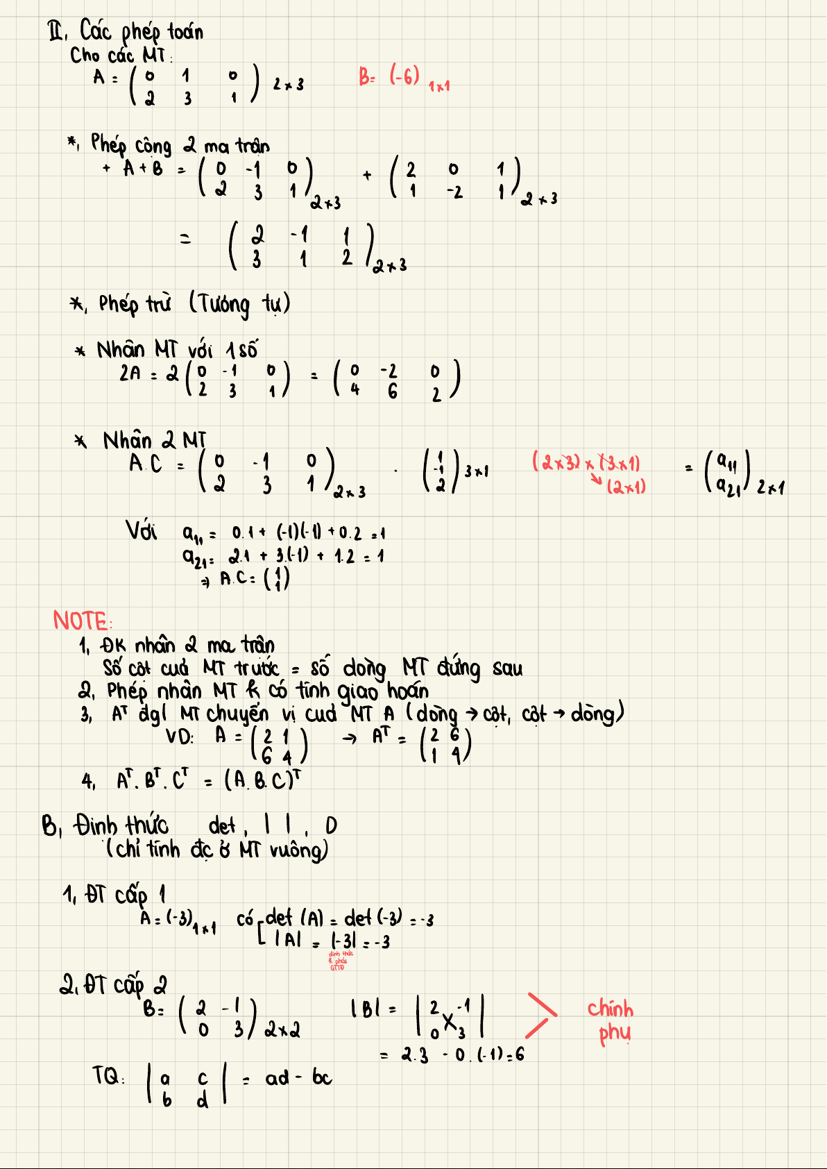
Vở ghi chép môn Toán cao cấp | Đại học Bách Khoa Hà Nội
Vở ghi chép môn Toán cao cấp | Đại học Bách Khoa Hà Nội. Tài liệu được sưu tầm giúp bạn tham khảo, ôn tập và đạt kết quả cao. Mời bạn đọc đón xem.
Môn: Toán cao cấp 51 tài liệu
Trường: Đại học Bách Khoa Hà Nội 5.8 K tài liệu
Tác giả:
Tài liệu liên quan:
-
Phủ Tối Thiểu của Tập Phụ Thuộc Hàm: Phương Pháp và Bài Tập
9 5 -
Tổng hợp Dạng Bài Tập - Tính Toán Phụ Tải TĐ-1, TĐ-2
10 5 -
Giới hạn của Hàm Số - Giải Bài Tập Toán Cao Cấp - GIẢI TÍCH I
11 6 -
Định thức và Các Phép Toán với Ma Trận - Toán Cao Cấp 1
20 10 -
Bài giảng 1: Nguyên lý bao hàm - loại trừ môn Toán cao cấp | Đại học Bách Khoa Hà Nội
48 24



















