Report tài liệu
Chia sẻ tài liệu
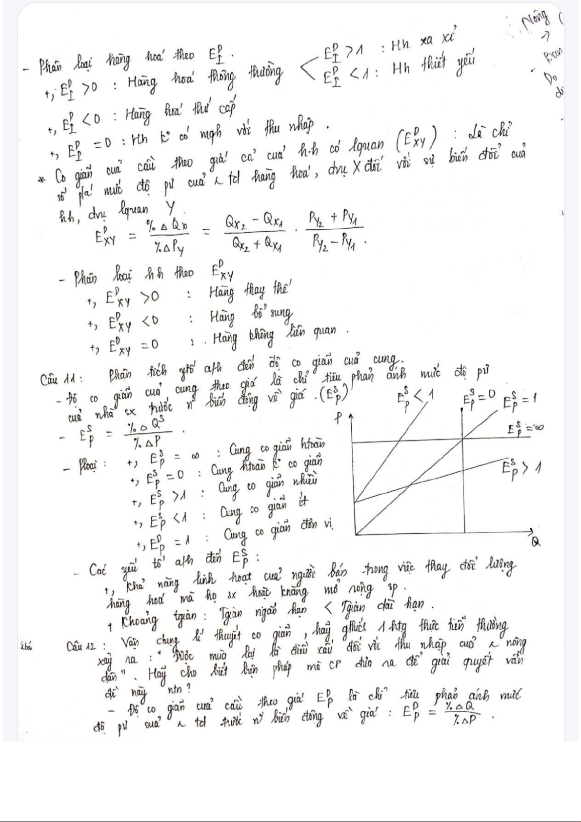
Giải bài tập theo chương môn Kinh tế vi mô 1 | Học viện Tài chính
Giải bài tập theo chương môn Kinh tế vi mô 1 | Học viện Tài chính. Tài liệu giúp bạn tham khảo, ôn tập và đạt kết quả cao. Mời đọc đón xem!
Môn: Kinh tế vi mô 1 (MIE) 291 tài liệu
Trường: Học viện Tài chính 852 tài liệu
Tác giả:
Tài liệu liên quan:
-
Bài tập phân tích cân bằng thị trường hàng hóa môn Kinh tế vi mô 1 | Học viện Tài chính
6 3 -
Đề Kiểm Tra Định Kì Lần 1 môn Kinh tế vi mô 1 | Học viện Tài chính
6 3 -
Bài Giảng Chương 2 - Những vấn đề cơ bản về cung và cầu môn Kinh tế vi mô 1 | Học viện Tài chính
6 3 -
Câu Hỏi Ôn Tập Chương 5 - 8 môn Kinh tế vi mô 1 | Học viện Tài chính
5 3 -
Đề cương ôn tập môn Kinh tế vi mô 1 | Học viện Tài chính
5 3



















