Report tài liệu
Chia sẻ tài liệu
Giải đề - Bài thi cuối kỳ môn Vật lý thực phẩm | Trường Đại học Bách Khoa Hà Nội
Giải đề - Bài thi cuối kỳ môn Vật lý thực phẩm. Tài liệu được sưu tầm gồm 23 trang, giúp các bạn ôn luyện và phục vụ cho việc học tập, đạt kết quả tốt. Mời các bạn đón xem!
Môn: Vật lý thực phẩm 6 tài liệu
Trường: Đại học Bách Khoa Hà Nội 5.6 K tài liệu
Tác giả:




















Tài liệu khác của Đại học Bách Khoa Hà Nội
Preview text:
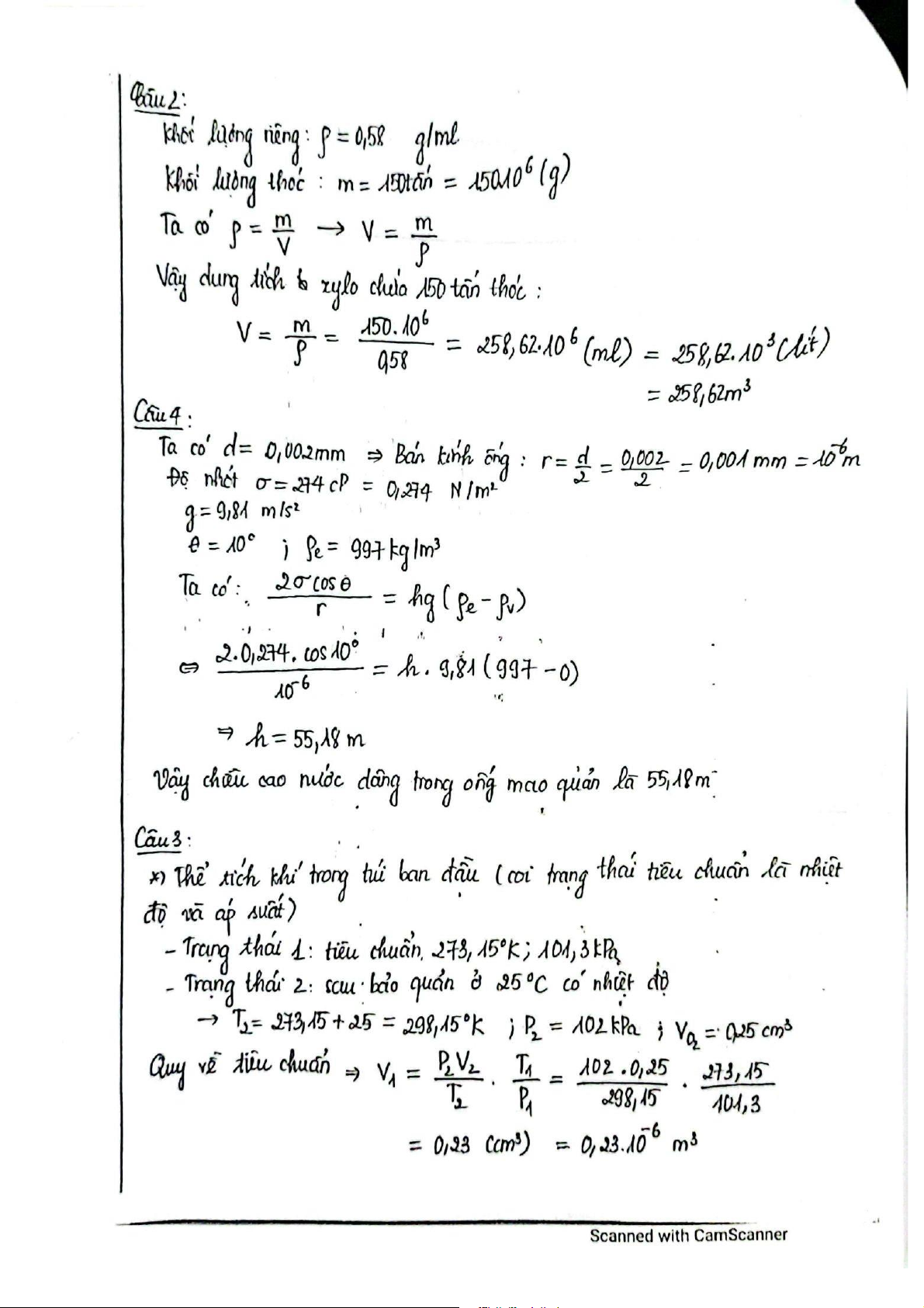
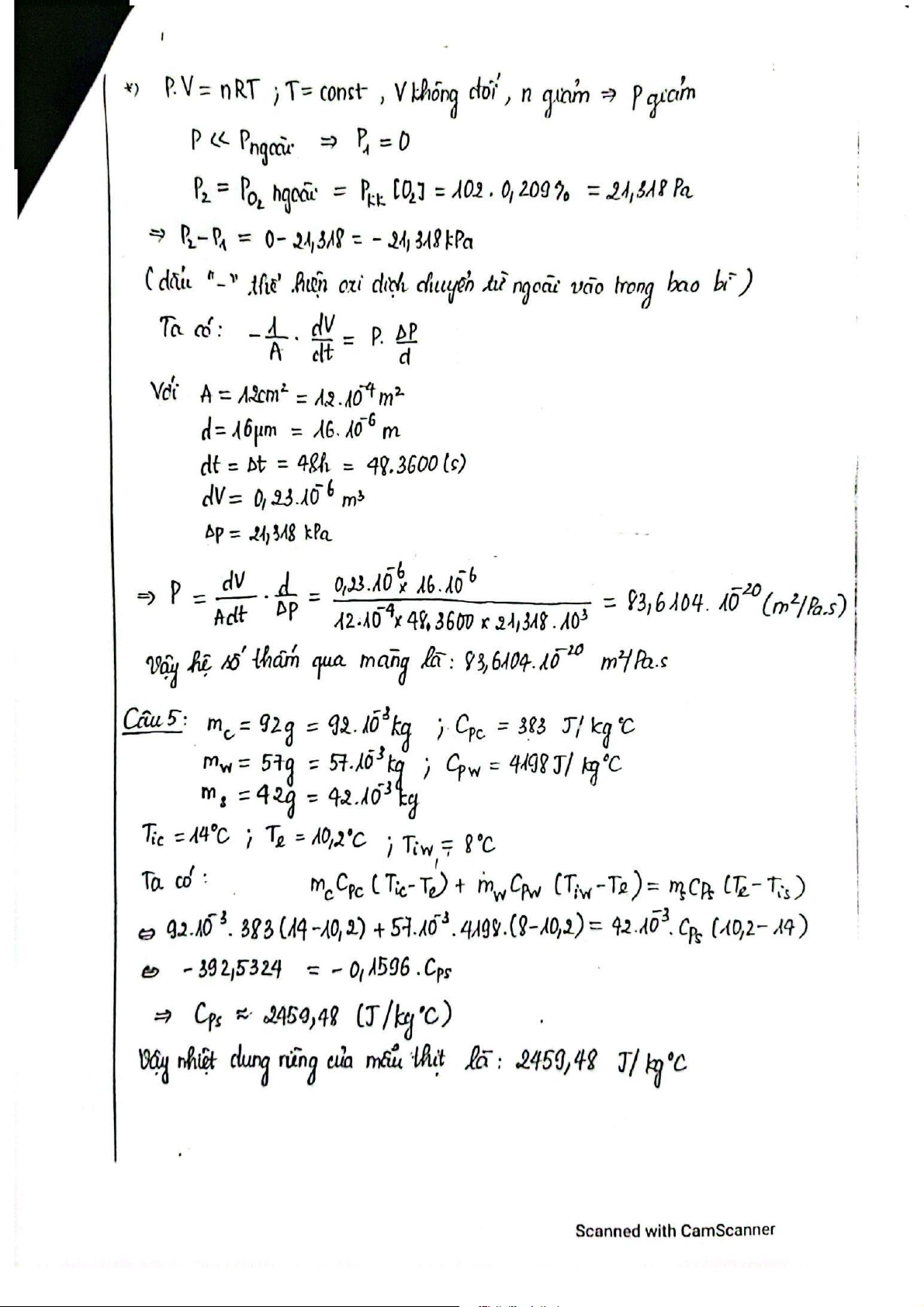
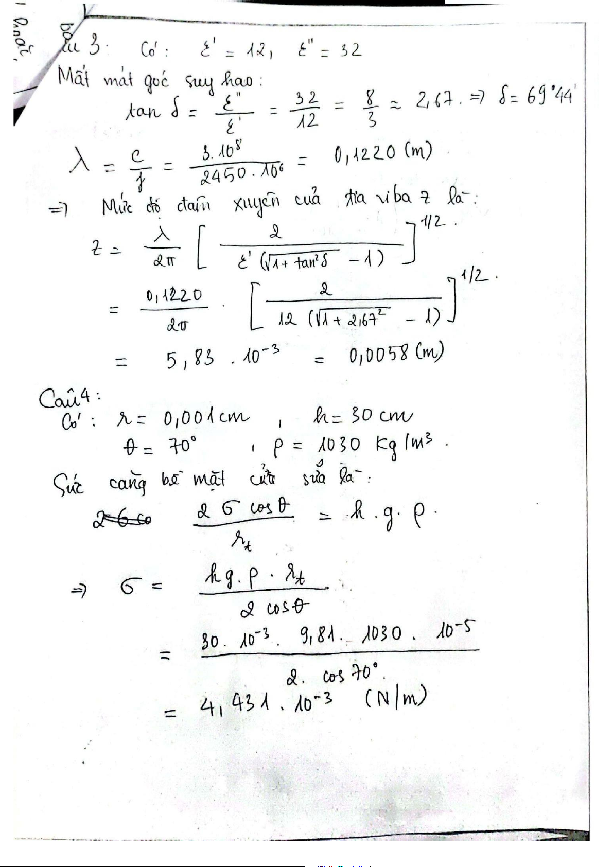
lOMoAR cPSD| 59703641 lOMoAR cPSD| 59703641 lOMoAR cPSD| 59703641 lOMoAR cPSD| 59703641 lOMoAR cPSD| 59703641 lOMoAR cPSD| 59703641 lOMoAR cPSD| 59703641 lOMoAR cPSD| 59703641 lOMoAR cPSD| 59703641 lOMoAR cPSD| 59703641 lOMoAR cPSD| 59703641 lOMoAR cPSD| 59703641 lOMoAR cPSD| 59703641 lOMoAR cPSD| 59703641 lOMoAR cPSD| 59703641 lOMoAR cPSD| 59703641 lOMoAR cPSD| 59703641 lOMoAR cPSD| 59703641 lOMoAR cPSD| 59703641 lOMoAR cPSD| 59703641
Tài liệu liên quan:
-
Câu hỏi ôn tập Khái niệm, đặc tính và ứng dụng môn Vật lý thực phẩm | Trường Đại học Bách Khoa Hà Nội
90 45 -
Lý thuyết Tính từ tính, điện từ và ảnh hưởng nhiệt môn Vật lý thực phẩm | Trường Đại học Bách Khoa Hà Nội
115 58 -
Chủ đề: Khối lượng - Khối lượng riêng môn Vật lý thực phẩm | Trường Đại học Bách Khoa Hà Nội
114 57 -
Đề cương Vật lý học thực phẩm | Đại học Bách khoa Hà Nội
510 255