Report tài liệu
Chia sẻ tài liệu
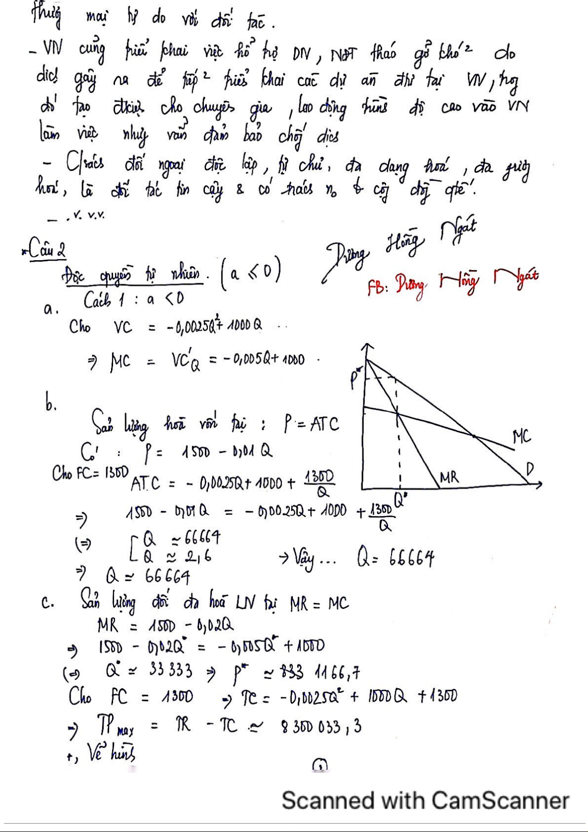
Giải đề thi môn Kinh tế vi mô 1 | Học viện Tài chính
Giải đề thi môn Kinh tế vi mô 1 | Học viện Tài chính. Tài liệu giúp bạn tham khảo, ôn tập và đạt kết quả cao. Mời đọc đón xem!
Môn: Kinh tế vi mô 1 (MIE) 471 tài liệu
Trường: Học viện Tài chính 1.1 K tài liệu
Tác giả:
Tài liệu liên quan:
-
Các tiêu chuẩn quốc tế đặt ra cho Việt Nam trong quá trình hội nhập toàn cầu môn Kinh tế vi mô 1 | Học viện Tài chính
34 17 -
Phương pháp giải bài tập và đề thi môn Kinh tế vi mô 1 | Học viện Tài chính
36 18 -
Câu hỏi ôn tập chương 5 & 6 môn Kinh tế vi mô 1 | Học viện Tài chính
49 25 -
Bảng Giá Trị Thống Kê - Phân Phối Fisher & Durbin-Watson môn Kinh tế vi mô 1 | Học viện Tài chính
44 22 -
Đề cương ôn tập môn Kinh tế vi mô 1 | Học viện Tài chính
34 17
















