Report tài liệu
Chia sẻ tài liệu
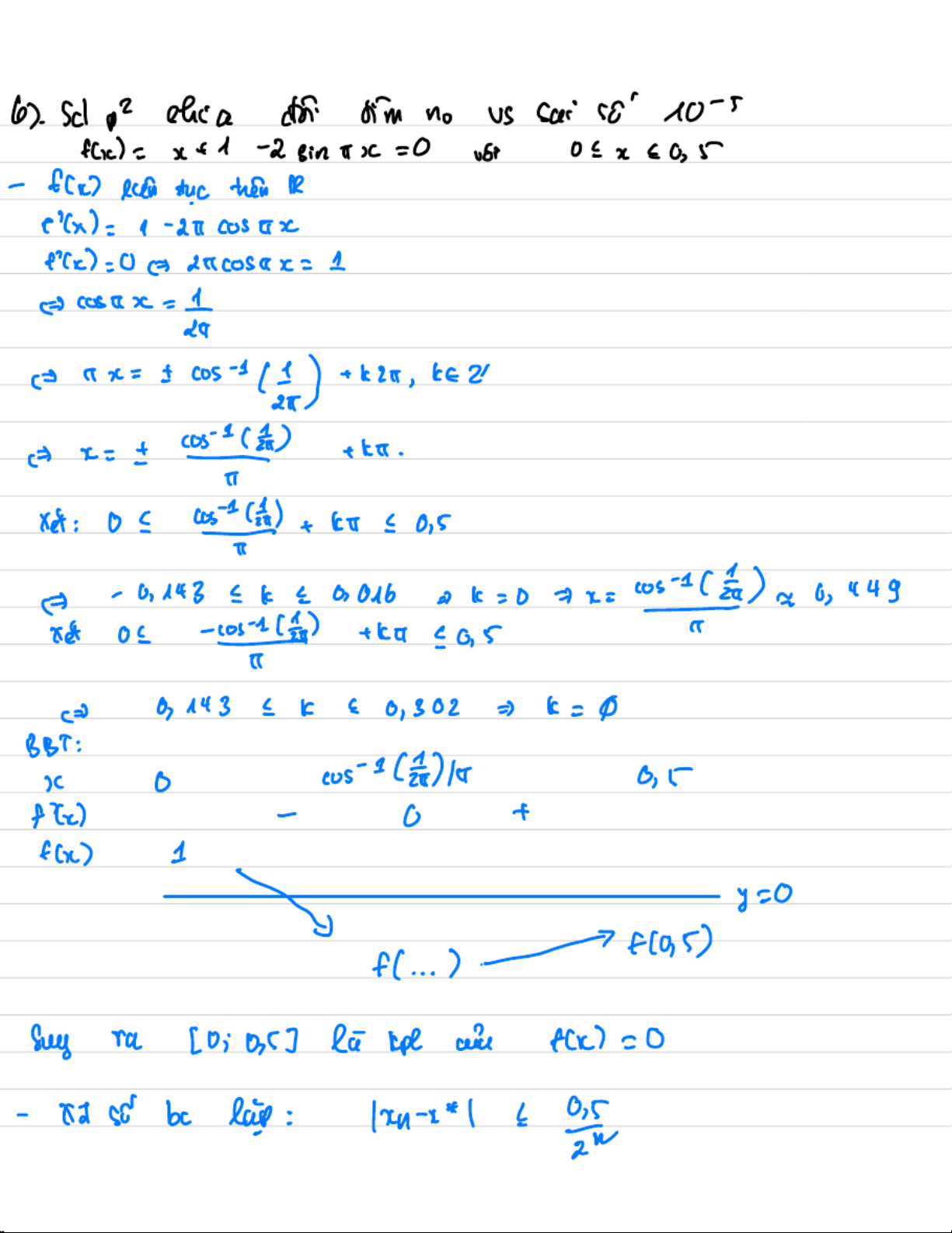
Giải Tích Số 1 - Bài Tập và Hướng Dẫn | Giải tích số | Trường Đại học Khoa học Tự nhiên, Đại học Quốc gia Hà Nội
Tài liệu được sưu tầm và soạn thảo dưới dạng file PDF với mục đích hỗ trợ học tập và tham khảo. Nội dung tài liệu được trình bày rõ ràng, dễ tiếp cận, phù hợp cho việc ôn tập và củng cố kiến thức trong quá trình học đại học. Đây sẽ là nguồn tư liệu hữu ích giúp các bạn sinh viên chuẩn bị tốt hơn cho các buổi học, đồng thời mở rộng thêm hiểu biết về môn học. Hy vọng tài liệu này sẽ mang lại nhiều giá trị và hỗ trợ các bạn trong hành trình học tập. Mời bạn đọc cùng tham khảo!
Môn: Giải tích số (HUS) 10 tài liệu
Trường: Trường Đại học Khoa học tự nhiên, Đại học Quốc gia Hà Nội 1.1 K tài liệu
Tác giả:










Tài liệu khác của Trường Đại học Khoa học tự nhiên, Đại học Quốc gia Hà Nội
Tài liệu liên quan:
-
Bài Tập Tuần - Giải Bài Tập Về Nhà | Giải tích số | Trường Đại học Khoa học Tự nhiên, Đại học Quốc gia Hà Nội
94 47 -
Đề thi kết thúc học phần Giải tích | Giải tích số | Trường Đại học Khoa học Tự nhiên, Đại học Quốc gia Hà Nội
87 44 -
Phương Pháp Giải Bài Toán Đa Chiều | Giải tích số | Trường Đại học Khoa học Tự nhiên, Đại học Quốc gia Hà Nội
75 38 -
Đề cương ôn tập môn học Giải tích số | Giải tích số | Trường Đại học Khoa học Tự nhiên, Đại học Quốc gia Hà Nội
114 57 -
Giải Tích Số và Các Phương Pháp Giải | Giải tích số | Trường Đại học Khoa học Tự nhiên, Đại học Quốc gia Hà Nội
96 48