















Preview text:
Lý thuyết nhiễu loạn trong cơ học lượng tử
§ 9.1 Lý thuyết nhiễu loạn dừng không suy biến
Nói chung, chỉ có thể giải chính xác phương trình Schrodinger trong một số
trường hợp đơn giản ứng với hệ đã lý tưởng hoá. Khi nghiên cứu các hệ thực ta
thường phải sử dụng các phương pháp gần đúng để xác định hàm riêng, trị riêng của
Hamiltonian. Nếu hệ thực khác với hệ đã lý tưởng hoá không nhiều thì ta có thể sử
dụng phương pháp nhiễu loạn. Nội dung của phương pháp nhiễu loạn là: dựa vào
nghiệm chính xác của hệ đã được lý tưởng hoá (còn gọi là hệ không nhiễu loạn),
bằng các phép gần đúng liên tiếp sẽ tính các hiệu chỉnh để thu được nghiệm gần
đúng cho hệ thực. Trong mục này ta sẽ xét phương pháp nhiễu loạn cho trường hợp
trị riêng của Hamiltonian của hệ lý tưởng là gián đoạn và không suy biến.
Giả sử Hamiltonian của hệ thực có thể viết dưới dạng ˆ ˆ ˆ H=H0+ W, (9. 1. 1) trong đó ˆ
H0là Hamiltonian của hệ đã lý tưởng hoá (Hamiltonian không nhiễu loạn)
mà trị riêng và hàm riêng của nó đã biết chính xác; còn ˆ
W là một phần phụ, nhỏ so với ˆ H ˆ
0 (gọi là toán tử nhiễu loạn). ở đây ta hiểu ˆ Wnhỏ so với 0 H có nghĩa là trị riêng của ˆ
W đủ nhỏ so với trị riêng của ˆ0
H . Về phương diện vật lý, điều đó cũng
có nghĩa là phần năng lượng của trạng thái dừng có được do nhiễu loạn là bé so với
năng lượng không nhiễu loạn. Với giả thiết như thế, có thể viết ˆ ˆ W=λ 1 H , (9. 1. 2)
với λ là một thông số nhỏ, không thứ nguyên, gọi là thông số nhiễu loạn. Khi đó ˆ ˆ ˆ H= 0 H +λ 1 H .
Theo giả thiết, toán tử ˆ
H0 có phổ gián đoạn và không suy biến, nên ta sẽ gọi | n là
véc tơ riêng ứng với trị riêng 0n E của ˆH0, tức là ˆ 0 0 H | n = En | n . (9. 1. 3)
Bài toán đặt ra là phải tìm vector riêng và trị riêng của Hamiltonian (9. 1. 1), tức là
phải giải phương trình. ˆ ˆ (H + 0 λ 1 H )| n ψ = n E | n ψ . (9. 1. 4)
Để giải bài toán này, ta chuyển sang E - biểu diễn bằng cách khai triển | n ψ n C k(λ)| (9. 1. 5) k k
Dạng tường minh của khai triển đó là | 1 ψ = 1 C 1(λ)| 1 + 1 C 2(λ)| 2 +...
|ψ =C (λ)| +C (λ)| +... 2 21 1 22 2 . . . . . . . | n ψ = n C 1(λ)| 1 + n C 2(λ)| 2 +... n C k(λ)| nk ψ C nk(λ)| k . k
Vì khi λ0 thì (9. 1. 4) phải rút về (9. 1. 3) cho nên cần phải có sự tương ứng sau: | ψn | n khi λ0. 0 En En
Vì thế, khi λ 0thì phải có n
C k(λ)δnk. Từ đó (9. 1. 5) có dạng |ψn | n Cnk(λ)| k với C ( nk 0) = 0 (9. 1. 6) k (k n )
Với λ nhỏ, ta có thể coi các hàm riêng, trị riêng của bài toán nhiễu loạn sẽ khác
không nhiều so với hàm riêng | n và năng lượng 0n
E không nhiễu loạn, vì thế có thể đặt (1) 2 (2) C ( nk λ) = λ n C k +λ n C k +... (9. 1. 7) (0) (1) 2 (2) n E = n E +λ n E + λ n E ...
Đặt (9. 1. 6) và (9. 1. 7) vào (9. 1. 4) sẽ có ˆ ˆ (1) 2 (2) H 0 λ 1 H | λ n C k | λ n C k | ... n = k k k k (kn) (kn) (0) (1) 2 (2)
En λEn λ En .. .. (1) 2 (2) | n λ n C k | k λ n C k | k .... (9. 1. 8) k k (k n ) (k n )
Để phương trình thoả mãn với λ bất kỳ thì các hệ số của các luỹ thừa cùng bậc của
λ phải bằng nhau và từ đó ta thu được hệ vô hạn các phương trình để xác định (i) C nk và (i) n E nghĩa là xác định | n ψ và En.
ở gần đúng cấp không, tương ứng với việc bỏ qua nhiễu loạn (chỉ giữ các số hạng
không có λ ), dĩ nhiên ta có ˆ (0) 0 H | n n E | n ,
tức là thu tại phương trình (9. 1. 3).
ở gần đúng cấp một, ta bỏ qua các số hạng chứa 2
λ trở lên và thu được: ˆ ˆ (1) ˆ H | + 0 n λ 0 H C nk | k λ 1 H | n = k (kn) (0) (0) (1) (1) = n E | n + n E λ n C k | k λEn | n k (k n ) Từ đó có (1) ˆ E | =H | C | 1 (0) (0) (1) n n n
kE -En nk k (9. 1. 9) k (k n )
Nhân trái hai vế phương trình trên cho n
| và chú ý điều kiện trực chuẩn, sẽ có (1) ˆ n E n| 1 H | n . Nếu nhân trái cho m
| với m n ta được ˆ (0) (0) (1) m | 1 H | n E m - En C nm 0 . Từ đó có ˆ |H | (1) m 1 n n C m , m n. (0) (0) n E - m E
Như vậy trong gần đúng cấp một , véc tơ trạng thái của hệ nhiễu loạn có dạng ˆ |W| k n |ψ n | n (0)
(0) | k . (9. 1. 10) kn n E - k E
Mỗi trạng thái này ứng với một năng lượng (0) E =E + | ˆ n n n W| n . (9. 1. 11)
Như thế, hiệu chỉnh cho năng lượng ở gần đúng bậc nhất chính bằng trị trung bình
của toán tử nhiễu loạn trong trạng thái không nhiễu loạn tương ứng.
ở gần đúng cấp hai, bằng cách bỏ qua các số hạng chứa 3
λ trở lên trong công thức (9. 1. 8) ta thu được: ˆ (2) ˆ (1) 0 H n C k |k+ 1 H n C k |k k k (kn) (kn) (0) (2) (1) (1) (2) n E C nk |k + n E Cnk |k n E | n k k (kn) (kn)
Lại nhân về bên trái hai vế phương rình trên với
n | và chú ý điều kiện trực chuẩn
ta sẽ thu được hiệu chỉnh cấp hai cho năng lượng: (2) (1) ˆ n E n C k |H n | 1 k . k (kn) hay ˆ ˆ ˆ 2 |H | |H | | |H | | (2) n 1 k k 1 n n 1 k n E (0) (0) (0) (0) . (9. 1. 12) k En Ek k En Ek (kn) (kn)
Như vậy năng lượng ở gần đúng cấp hai có dạng | | ˆ 2 W| | (0) E =E | ˆ k n n n n W| n (0) (0) (9. 1. 13) k n E -Ek (kn)
Tương tự, bằng cách nhân trái hai vế với m
|, mn ta sẽ tìm được (2) Cnk và từ đó
tìm được véc tơ trạng thái trong gần đúng cấp hai…
Như thế, về nguyên tắc, ta có thể tính được năng lượng và véc tơ trạng thái của hệ
nhiễu loạn tới gần đúng ở cấp bất kỳ. Trong những ứng dụng thực tế của phương
pháp nhiễu loạn, người ta thường sử dụng gần đúng cấp một cho hàm sóng và gần
đúng cấp hai cho năng lượng. Trong một số trường hợp có thể phải sử dụng các gần đúng cấp cao hơn.
Rõ ràng là phương pháp nhiễu loạn chỉ có thể áp dụng được khi mà chuỗi các
phép gần đúng liên tiếp nhau là hội tụ. Điều kiện cần để có điều này là mỗi số hiệu
chỉnh sau phải nhỏ hơn hiệu chỉnh trước. Như vậy điều kiện để có thể áp dụng được
lý thuyết nhiễu loạn là: ˆ | |W| k n | 1 (0) (0) . n E - k E Hay ˆ (0) (0) | k |W| n ||En -Ek | n k , (9. 1. 14)
nghĩa là các phần tử không chéo của toán tử nhiễu loạn phải nhỏ so với trị tuyệt đối
của hiệu các giá trị tương ứng của năng lượng không nhiễu đoạn.
Ví dụ . Xét dao động tử phi điều hoà được mô tả bằng Haminton ˆ ˆ ˆ H= 0 H +W , (9. 1. 15) với 2 ˆ ˆ p 1 2 2 H0= + mω ˆx 2m 2 (9. 1. 16) và toán tử nhiễu loạn ˆ 3 W cˆx (9. 1. 17)
trong đó c là một hệ số nhỏ.
Dễ dàng thấy rằng, bổ chính bậc nhất cho năng lượng ở trạng thái cơ bản (n = 0) có dạng (1) 3 3 0
E 0 |cx | 0 0(x)cx 0(x)dx0.
Như thế cần tính hiệu chỉnh bậc hai cho năng lượng và ta có 3 2 | |x | | (2) k 0 0 E (0) (0) . (9. 1. 18) k E0 -Ek (k 0 )
Để tìm các yếu tố ma trận trong (9. 1. 18) chúng ta sử dụng các kết quả đã biết về
dao động tử điều hòa và sẽ thấy rằng chỉ có hai yếu tố ma trận khác không sau 3 ˆ | W| 3c 1 0 2m ω và 3 ˆ 3 | W| 0 6c . 2mω
Do đó theo (9. 1. 18) bổ chính bậc hai của năng lượng ở trạng thái cơ bản là 3 2 | k | cx | 0 | 2 1 1c (9. 1. 19) (0) (0) 3 4 k 0 E - k E 8m ω
và như vậy năng lượng ở trạng thái cơ bản của dao động tử phi điều hoà trong
gần đúng bậc hai của lý thuyết nhiễu loạn là 0 E (9. 1. 20) 3 4 2 8m ω
§ 9.2 Nhiễu loạn khi có suy biến
Trong mục này ta xét lý thuyết nhiễu loạn dừng có suy biến, tức là trường hợp
Hamintonian của hệ vẫn có dạng (9. 1. 1) nhưng trong đó trị riêng của toán tử
Haminton khi chưa nhiễu loạn suy biến bội s ˆ 0 H | E | 0 nk
k =1, 2,…s (9. 2. 1) n nk
Chúng ta cũng coi rằng các véc tơ trạng thái | n
k (k = 1,2,…s) lập thành hệ trực
chuẩn. Bài toán đặt ra là phải giải phương trình ˆ ˆ (H +W)| . (9. 2. 2) 0 n ψ n E | n ψ
Để làm điều này, ta chọn hàm sóng của hệ nhiễu loạn trong gần đúng cấp không
dưới dạng tổ hợp của các hàm sóng không nhiễu loạn: s |ψn Cnk| n k (9. 2. 3) k=1
Thay (9. 2. 3) vào (9. 2. 2) sau đó nhân cho
n | về bên trái sẽ được: s s s (0) C
E | C | ˆW| E C | nk n n k=1 k 1 k=1 Đưa vào ký hiệu W | ˆW| n nk (9. 2. 4) (0) n E - n E nε
thì phương trình trên có dạng s
W -ε δ C =0 (9. 2. 5a) k =1
Dạng khai triển tường minh của (9. 2. 5) là (W - 11 εn) n C 1+ 1 W 2 n C 2+....+ 1 W s n C s = 0 W C (W - 21 n1 22 εn)Cn2 ... 2 W s n C s 0 . . . . . (9. 2. 5b) s1 W n C 1 s W 2 n C 2 . .( ss W -εn)Cns 0
Đây là hệ s phương trình tuyến tính đối với s hệ số Cnk.
Để phương trình không có nghiệm tầm thường thì định thức các hệ số của các Cnk
phải bằng không, tức là |W - . (9. 2. 6a) Hay 1 W 1-εn + 1 W 2+....+ 1 W s W (W - 21 22 εn) ... 2 W s 0 (9. 2. 6b) . . . . s W1 s W 2 . . s Ws-εn
Phương trình (9. 2. 6) được gọi là phương trình thế kỷ (hoặc trường kỳ).
Đây là phương trình bậc s đối với n
ε . Giải nó ta sẽ thu được s giá trị của n ε n ε 1, n ε 2... n ε s
và do đó năng lượng của hệ nhiễu loạn trong gần đúng bậc không là (0) n
E j=En nεj (j = 1, 2,…s) . (9. 2. 7)
Như vậy mỗi mức năng lượng không nhiễu loạn (0)
E ) đã tách thành s mức, nghĩa là n
nhiễu loạn đã khử suy biến. Nếu các nghiệm n ε 1, n ε 2... n
ε s là hoàn toàn khác nhau thì
mức năng lượng không nhiễu loạn (0)
E được tách thành s mức E khác nhau và ta n nj
nói nhiễu loạn đã hoàn toàn khử suy biến. Ngược lại, nếu một số nghiệm của (9. 2.
6) là trùng nhau thì suy biến chỉ bị khử một phần.
Cuối cùng, bằng cách sử dụng (9. 2. 5) ta sẽ tìm được tập hợp các giá trị Cnk( n ε j) ứng với mỗi n
ε j và do đó thu được hàm sóng nhiễu loạn ở gần đúng cấp không dạng s | n ψ j= n C k(εnj)| n k k=1
§ 9.3 Nhiễu loạn phụ thuộc thời gian
Xét hệ chịu tác dụng của nhiễu loạn phụ thuộc thời gian tức là hệ được mô tả bằng Hamintonian: ˆ ˆ ˆ H= 0 H + W(t) (9. 3. 1) ở đây ˆ 0
H là Hamintonian không nhiễu loạn và không phụ thuộc tường minh vào thời gian, còn ˆ
W(t)là toán tử nhiễu loạn phụ thuộc tường minh vào thời gian và bé so với ˆ
H0. Do sự phụ thuộc vào thời gian của Hamintonian, nên nói chung năng lượng
của hệ không bảo toàn và do đó cũng không tồn tại các trạng thái dừng. Nhiệm vụ
đặt ra trong trường hợp này sẽ là: tính gần đúng hàm sóng của hệ theo hàm sóng của
các trạng thái dừng ứng với hệ không nhiễu loạn. Với mục đích này , chúng ta sẽ sử
dụng phương pháp biến thiên hằng số (do Dirac đề xuất 1926). Giả sử Hamintonian ˆ
H0 có phổ trị riêng gián đoạn và không suy biến, tức là thỏa mãn phương trình ˆ 0 H | n = n E | n . (9. 3. 2)
Phương trình Schrodinger cho hệ nhiễu loạn trong trường hợp này phải là phương
trình phụ thuộc thời gian và có dạng i d| ˆ ˆ 0
H +W|ψ . (9. 3. 3)
Ta khai triển |ψ(t) theo các véc tơ riêng của ˆH0 dưới dạng i - E t |ψ= n C (t)e . (9. 3. 4) n
Thay (9. 3. 4) vào (9. 3. 3) và chú ý (9. 3. 2) sẽ có dC (t) i E t i E t ˆ i n E n C (t)e . n n
Nhân trái phương trình trên cho m
| và chú ý đến điều kiện trực chuẩn m | n =δmn sẽ có i dC (t) (E -E )t ˆ i n C (t)e m|W| n . n Hay là dC (t) i m ω nt i n C (t)e m W n (9. 3. 5) n trong đó Em-En mn ω (9. 3. 6) và * m W n ˆ ˆ (t) m |W| n m(x)W n(x) x d (9. 3. 7)
là các yếu tố ma trận của toán tử nhiễu loạn trong hệ hàm sóng không nhiễu loạn. Vì ˆ
W phụ thuộc tường minh thời gian nên m
W n(t) cũng là hàm của thời gian. Giả
sử nhiễu loạn chỉ bắt đầu tác dụng tại những thời điểm t > 0, còn khi t 0 hệ ở trạng thái dừng | k
; khi đó tại t = 0 trong khai triển (9. 3. 4) chỉ có duy nhất hệ số khác không k
C (0) 1, còn mọi hệ số với n khác k đều bằng không. Vì vậy (0) n C (0) n C n δ k. (9. 3. 8)
Vì nhiễu loạn là nhỏ, nên có thể viết (0) (1) (2) n C (t) n C n C n C . . (9. 3. 9) trong đó (1) n
C là lượng bé cùng bậc với W, (2) n C cùng bậc với W2. .
Trong gần đúng bậc một ta có (0) (1) (1) n C (t) n C n C C n δ k n . (9. 3. 10)
Khi đó phương trình (9. 3. 5) trở thành (1) dC (t) iωmkt i e m W k (9. 3. 11)
ở đây ta thêm chỉ số k ở (1) C |
m để nhấn mạnh bổ chính được tính cho trạng thái k
. Từ (9. 3. 11) dễ dàng tìm được t i i m ω kt (1) C (t) dt e W (t') mk mk
và do đó trong gần đúng cấp một hệ số khai triển trong (9. 3. 4) là t i iωmkt m C k(t) δmk dt e m W k(t') (9. 3. 12)
nếu chỉ xét trường hợp m k , nghĩa là trạng thái dừng sau nhiễu loạn | k khác
trước khi nhiễu loạn | m thì t i i m ω kt C dt e W (t') mk mk .
Rõ ràng là kết quả thu được chỉ có ý nghĩa khi mà chuỗi (9. 3. 4) là hội tụ, nghĩa là chỉ khi (1) | m C k(t)|<<1.
Bằng cách tương tự có thể tính được hiệu chỉnh bậc hai (2) m C k (t)và cao hơn…
§ 9.4 Xác suất chuyển dời lượng tử
1. Xác suất chuyển dời lượng tử.
Như đã biết ở trên, nếu tại thời điểm t 0 hệ ở trạng thái dừng | k thì ở thời
điểm t > 0 do tác dụng của nhiễu loạn phụ thuộc thời gian ˆ
W(t)hệ sẽ ở trạng thái i E t |ψ(t) m C k(t)e m . m
Nhưng theo tiên đề của cơ học lượng tử thì 2 | m
C k(t)| sẽ cho ta xác suất để vào thời
điểm t > 0 phép đo năng lượng hệ trong trạng thái |ψ(t) sẽ cho giá trị Em ứng với
trạng thái dừng | m
. Vì thế có thể nói : nhiễu loạn đã làm hệ chuyển từ trạng thái dừng ban đầu| k
sang trạng thái dừng khác | m với xác suất 2 P |C (t)| k m . (9. 4. 1) mk Trong đó C (t) mk
ở gần đúng cấp một được xác định bởi (9. 3. 12). Người ta gọi C (t) | | mk
là biên độ chuyển dời lượng tử từ trạng thái k sang trạng thái m . Cũn 2 k P m | m C k(t)|
được gọi là xác suất chuyển dời lượng tử. Do tính độc lập của các trạng thái | m
; xác xuất chuyển dời từ | k
sang mọi trạng thái | m sẽ được xác định bằng 2 k P (t) kP m (9. 4. 2) | m C k(t)| m m 2. Ví dụ
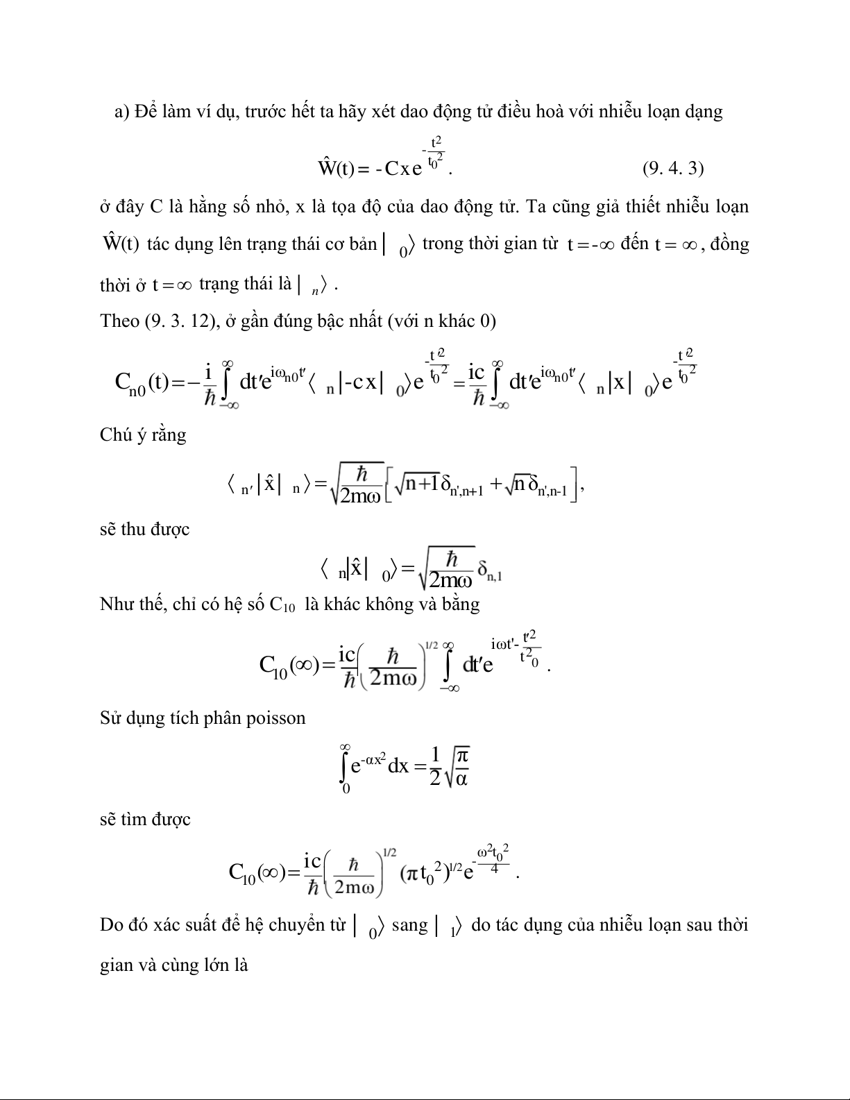
a) Để làm ví dụ, trước hết ta hãy xét dao động tử điều hoà với nhiễu loạn dạng 2 t - 2 0 t ˆ
W(t) = -Cxe . (9. 4. 3)
ở đây C là hằng số nhỏ, x là tọa độ của dao động tử. Ta cũng giả thiết nhiễu loạn ˆ
W(t) tác dụng lên trạng thái cơ bản | 0
trong thời gian từ t - đến t , đồng
thời ở t trạng thái là | . n
Theo (9. 3. 12), ở gần đúng bậc nhất (với n khác 0) 2 2 t t - 2 - 2 i i n ω 0t 0 t ic i n ω 0t 0 t n C 0(t) dt e |-cx| e dt e |x| e Chú ý rằng n | ˆx| n , 1 n δ ',n+1 n n δ ',n-1 2mω sẽ thu được n |ˆx| 0 2m ω
Như thế, chỉ có hệ số C10 là khác không và bằng 2 t iωt'- 2 ic t 0 1 C 0( ) t e .
Sử dụng tích phân poisson 2 - 1 αx π e dx 2 0 α sẽ tìm được 2 2 ω t0 ic 1/2 - 2 4 1 C 0() 0 t ) e .
Do đó xác suất để hệ chuyển từ | 0 sang | 1
do tác dụng của nhiễu loạn sau thời gian và cùng lớn là 2 2 ω t 2 2 0 C πt - 2 0 2 P |C ( )| 0 1 10 2m e (9. 4. 4)
b) Để làm ví dụ tiếp theo, ta giả sử khi t 0 thì hệ ở trạng thái dừng | k và từ
thời điểm t > 0 hệ chịu tác dụng nhiễu loạn tuần hoàn theo thời gian dạng ˆ ˆ -iωt W(t) 1 H e , (9. 4. 5) trong đó ˆ 1
H là toán tử không phụ thuộc tường minh vào thời gian. Biên độ xác suất chuyển đổi từ | k sang | m với m khác k là t i i m ω kt -iωt' m C k (t) dt e e ( 1 H m ) k t i(ω ˆ mk-ω)t i i( |H | ω ˆ mk-ω)t m 1 k 1 e |H | dt e
Từ đó xác suất chuyển dời lượng tử có dạng 2 m ω k-ω ˆ 2 4sin t 2 | m| H1|k | P |C | 2 k m mk 2 ( m ω k-ω) 2 m ω k-ω (9. 4. 6) ˆ 2 sin t | m | 1 H | k| 2 2 m ω k -ω 2
Kết quả thu được, cho thấy rằng khi m ω k- ω = 0 hay Em= Ek+ thì xác suất
chuyển dời đạt cực đại, đó là sự cộng hưởng: xác suất chuyển dời từ | k sang | m
có giá trị cực đại khi năng lượng
của bức xạ kích thích đúng bằng hiệu năng lượng | m E -E |
k của hai mức tương ứng. Chú ý rằng 2 sin Ax lim δ(x) A 2 πAx
thì khi xét trong thời gian dài (t ) ,(9. 4. 6) trở thành 2π ˆ 2 P m | | 1 H | k | tδ( mk ω - k 2 ˆ 2 | | 1 H |k | tδ(Em-Ek- .
Như vậy xác suất chuyển dời trong một đơn vị thời gian là d k P m 2π ˆ 2 W . (9. 4. 7) | |H | | k m 1 k δ(Em-Ek dt -
Do đó trong khoảng thời gian dài thì sẽ có chuyển dời lượng tử nếu năng lượng kích
thích bằng hiệu năng lượng giữa hai mức tương ứng.