
















Preview text:
Zhao et al. Trung hòa carbon (2023) 2:15 BÀI VIẾT GỐC Truy cập Mở
Một điềm lành hay một điềm báo? Phát
triển kinh tế kỹ thuật số có thể thu hẹp bất
bình đẳng carbon ở Trung Quốc?
Congyu Zhao1, Jianda Wang1, Kangyin Dong1* và Xiucheng Dong1 Tóm tắt
Mặc dù tầm quan trọng của việc giảm lượng khí thải carbon, vấn đề bất bình đẳng của nó cũng nên gợi ra sự chú ý
khẩn cấp của các học giả. Bài viết này lần đầu tiên đánh giá sự bất bình đẳng carbon giữa khu vực thành thị và nông
thôn dựa trên bộ dữ liệu bảng điều khiển của 30 tỉnh ở Trung Quốc từ năm 2006 đến năm 2019. Sau đó, chúng tôi
nghiên cứu định lượng vai trò của phát triển kinh tế kỹ thuật số trong việc giảm bất bình đẳng carbon. Chúng tôi tiếp
tục khám phá vai trò điều tiết có thể có của thu nhập khả dụng dân cư ở khu vực nông thôn và các kênh tác động
trong mối quan hệ giữa phát triển kinh tế kỹ thuật số và bất bình đẳng carbon. Chúng tôi thấy rằng (1) mối quan hệ
giữa phát triển kinh tế kỹ thuật số và bất bình đẳng carbon là tiêu cực và phát triển kinh tế kỹ thuật số có tác động
giảm thiểu đáng kể đến bất bình đẳng carbon. (2) Mối liên hệ giữa phát triển kinh tế kỹ thuật số và bất bình đẳng
carbon không đồng nhất về vốn: các tỉnh có mức vốn xã hội và nhân lực thấp hơn có xu hướng thể hiện mối liên hệ
chặt chẽ hơn giữa phát triển kinh tế kỹ thuật số và bất bình đẳng carbon. (3) Thu nhập khả dụng của dân cư nông
thôn không chỉ có thể làm giảm bất bình đẳng carbon mà còn có thể cho thấy hiệu quả hiệp đồng với phát triển kinh
tế số, có nghĩa là sự tương tác giữa thu nhập khả dụng của dân cư nông thôn và phát triển kinh tế kỹ thuật số cũng
hạn chế đáng kể bất bình đẳng carbon. (4) Phát triển kinh tế kỹ thuật số hoạt động dựa trên bất bình đẳng carbon
bằng cách tăng quy định môi trường và đổi mới công nghệ, và hai kênh này cho thấy tác động giảm thiểu đối với bất
bình đẳng carbon. Chúng tôi đề xuất một số hàm ý chính sách để đẩy nhanh việc giảm bất bình đẳng carbon và cải
thiện phát triển kinh tế kỹ thuật số.
Từ khóa Phát triển kinh tế kỹ thuật số, Bất bình đẳng carbon, Hiệu ứng điều tiết, Hiệu ứng hòa giải, Trung Quốc 1 Giới thiệu
Nhu cầu cấp thiết để giảm bất bình đẳng, như được nhấn mạnh trong mục tiêu thứ 10 của các Mục tiêu Phát triển Bền vững (SDGs) [ ],
58 nhấn mạnh thực tế rằng vấn đề này đáng được toàn cầu chú ý và phải tìm ra các giải pháp để giải
quyết sự bất bình đẳng này. Đồng thời, trong thời đại giảm nhẹ biến đổi khí hậu này, nhiều quốc gia đã thừa nhận và giải
quyết tính cấp thiết của việc giảm CO2 phát thải [ , 23 , 37 56, , 71 96, ]
101 và các quốc gia này cũng đã tích cực gánh vác
trách nhiệm giảm thiểu phát thải CO2 thông qua óng góp do quốc gia tự quyết định (NDC) [ , 36 , 49 91]. Tuy nhiên, hiện
tượng bất bình đẳng carbon (CI) đang lan rộng và đã trở thành một vấn đề đòi hỏi sự chú ý khẩn cấp [ , 48 , 74 ]. 97 Cụ
thể, sự chênh lệch phát thải CO2 giữa các khu vực hoặc nhóm khác nhau dần định hình CI. Ví dụ, sự bất bình đẳng về
phát thải CO2 có thể được gây ra bởi sự liên kết thương mại quốc gia giữa các nền kinh tế và các quốc gia [ , 29 , 72 102],
sự bất bình đẳng về phát thải CO2 thay đổi tùy theo cấu trúc tuổi và mức thu nhập khác nhau [ , 33 , 43 , 44 ] 78 và sự bất bình đẳng về
*Quan hệ thư từ: Kangyin Dong dongkangyin@uibe.edu.cn
1 Trường Thương mại và Kinh tế Quốc tế, Đại học Kinh doanh và Kinh tế Quốc tế, Bắc Kinh 100029, Trung Quốc
© (Các) tác giả 2023. Truy cập Mở Bài viết này được cấp phép theo Giấy phép Quốc tế Creative Commons Ghi công 4.0, cho phép sử dụng,
chia sẻ, điều chỉnh, phân phối và sao chép ở bất kỳ phương tiện hoặc định dạng nào, miễn là bạn ghi công thích hợp cho (các) tác giả gốc và
nguồn, cung cấp liên kết đến giấy phép Creative Commons và cho biết nếu thay đổi đã được thực hiện. Hình ảnh hoặc tài liệu của bên thứ ba
khác trong bài viết này được bao gồm trong giấy phép Creative Commons của bài viết, trừ khi có quy định khác trong hạn mức tín dụng cho
tài liệu. Nếu tài liệu không được bao gồm trong giấy phép Creative Commons của bài viết và mục đích sử dụng của bạn không được phép
theo quy định luật định hoặc vượt quá mức sử dụng được phép, bạn sẽ cần phải xin phép trực tiếp từ chủ bản quyền. Để xem bản sao của
giấy phép này, hãy truy cập http:// creat iveco mmons. org/ licen ses/ by/4. 0/.
Zhao et al. Trung hòa carbon (2023) 2:15 Trang 2 của 17
phát thải CO2 tồn tại giữa khu vực thành thị và nông thôn [ ]. Hai 26
chủ đề trước đây của các khu vực đô thị, DED có lợi
cho việc CI đã nhận được sự quan tâm của các học giả, trong khi khoảng cách thành thị - nông thôn sau này vẫn cần
thảo luận sâu. Đặc biệt, cấu trúc kép thành thị-nông thôn ở Trung Quốc làm cho CI thành thị-nông thôn trở thành một
vấn đề đặc biệt [ ], và trái với nguyên tắc phát triển bền vững và phối hợp khu vực và tỉnh. 93
Có sự đồng thuận rằng trong những thập kỷ qua, nền kinh tế kỹ thuật số ở Trung Quốc đã phát triển mạnh mẽ và thịnh vượng [ , 59 , 63 ].
90 Nhiều đột phá đã đạt được trong số hóa và công nghệ số [ , 38 ].
81 Hơn nữa, công nghệ thông tin và
truyền thông (ICT) đã trở thành một ngành công nghiệp trụ cột trong nền kinh tế quốc dân [ ].
64 Phát triển kinh tế số
(DED) cũng đã gây ra nhiều tác động khác nhau đến xã hội, nền kinh tế và năng lượng. Cụ thể, DED đã cải thiện hiệu
quả tài chính của doanh nghiệp bằng cách cung cấp các ràng buộc tài chính ít nghiêm ngặt hơn [ 6, , 76 ], 84 kích thích
sức sống của thị trường vốn [54] và thúc đẩy sự phát triển của chuyển đổi năng lượng và thúc đẩy năng lượng sạch [ , 10
80]. DED cũng đã tối ưu hóa việc làm và cơ cấu công nghiệp [30, 75
], khuyến khích mọi người di cư từ khu vực nông
thôn và dẫn đến phát triển đô thị [ , 103
]. Hơn nữa, DED đã tăng cường khả năng quản lý của các chính phủ [ 104 16, 59].
Quan trọng hơn, có sự đồng thuận trong các tài liệu rằng DED ức chế phát thải CO2 [ ,
42 82, ], nhưng liệu DED có thể 83
góp phần giảm thiểu CI hay không vẫn chưa chắc chắn.
Nguyên nhân chính dẫn đến sự bất bình đẳng về phát thải CO2 ở thành thị và nông thôn nằm ở việc phân bổ sai chỗ
các yếu tố năng lượng và các yếu tố sản xuất [43]. Cụ thể hơn, với các cơ sở kinh tế và cơ sở hạ tầng vững chắc hơn,
cũng như việc đô thị hóa dẫn đến một số người di cư đến khu vực thành thị, các hoạt động sản xuất đã trở nên tập trung
cao ở những khu vực này, dẫn đến nhu cầu năng lượng nhiều hơn và tăng lượng khí thải CO 2 tương ứng [ ]. 44 Mặc dù
lượng khí thải CO2 ở khu vực nông thôn rõ ràng là ít hơn so với khu vực thành thị, nhưng chúng cũng làm phát sinh vấn
đề nghiêm trọng về đói nghèo năng lượng [ , 9 , 12 ].
95 Nói cách khác, nhiều cư dân nông thôn ít được tiếp cận với năng
lượng sạch để nấu ăn và sưởi ấm trong cuộc sống hàng ngày của họ [ , 21 ].
94 Ngược lại, một tỷ lệ lớn người dân nông
thôn sử dụng chủ yếu năng lượng sơ cấp như củi để nấu ăn và sưởi ấm. Tóm lại, tỷ lệ sử dụng năng lượng ở khu vực
nông thôn tương đối thấp hơn so với khu vực thành thị. Trong trường hợp này, DED có lợi cho việc thúc đẩy phân bổ
hợp lý các yếu tố năng lượng và sản xuất. Một mặt, ở khu vực nông thôn, với sự trợ giúp của nền tảng kinh tế số, DED
rất hữu ích trong việc hấp thụ và thu hút thêm vốn xã hội vào thị trường tài chính, từ đó mở rộng kênh tài chính của các
doanh nghiệp vừa và nhỏ (SMEs) và thúc đẩy chuyển đổi xanh của họ [ ].
22 Ngoài ra, DED giúp hạ thấp ngưỡng cho
vay đối với cư dân nông thôn, tạo điều kiện để họ có khả năng vay vốn cho các thiết bị năng lượng sạch như máy nước
nóng năng lượng mặt trời [ ].
90 Mặt khác, ở tăng cường quy định về ô nhiễm và phát thải CO2 của doanh nghiệp và
doanh nghiệp [16]. Bằng cách tích hợp nền kinh tế kỹ thuật số vào các tổ chức tài chính và cơ quan quản lý nhà nước,
có thể nhận ra phạm vi quản lý và giám sát tổng thể trong toàn bộ quá trình sản xuất, kinh doanh và lưu thông. Bằng
cách nâng ngưỡng tài chính của các doanh nghiệp và công ty ô nhiễm cao, có thể đạt được những hạn chế về tài chính
môi trường, điều này có thể thúc đẩy hơn nữa việc tối ưu hóa đầu tư đô thị và cơ cấu công nghiệp.
Dựa trên phân tích trên, chúng tôi tin rằng DED có thể giảm thiểu sự chênh lệch phát thải CO2 ở khu vực thành thị và
nông thôn của Trung Quốc và thúc đẩy sự phát triển phối hợp của hai khu vực này. Do đó, chúng tôi muốn kiểm tra mối
quan hệ giữa DED và CI bằng cách sử dụng hồi quy thực nghiệm. Hơn nữa, khi cân nhắc rằng các tỉnh khác nhau ở
Trung Quốc có thể có các nguồn vốn khác nhau, chúng tôi cũng muốn tìm hiểu xem mối quan hệ DED-CI có không
đồng nhất hay không. Ngoài ra, nếu mối quan hệ tiêu cực giữa DED và CI là đáng kể, thì chúng tôi tự hỏi DED ảnh
hưởng đến CI như thế nào và liệu một số yếu tố có ảnh hưởng đến mối quan hệ DED-CI hay không. Tuy nhiên, các tài
liệu hiện tại phần lớn đã bỏ qua những vấn đề này. Để điều tra những vấn đề này, trước tiên chúng tôi đánh giá tình hình
CI tại 30 tỉnh ở Trung Quốc; dựa trên những điểm số CI này, chúng tôi tiến hành phân tích thực nghiệm để tiết lộ mối
quan hệ giữa DED và CI. Chúng tôi cũng chia các tỉnh mẫu thành nhiều nhóm theo nguồn vốn của họ và tìm ra tác động
không đồng nhất của DED đối với CI về đặc điểm vốn. Hơn nữa, chúng tôi kiểm tra các biến kiểm duyệt và trung gian
tiềm năng để hiển thị các kênh tác động.
Đóng góp của bài báo này nằm ở một số điểm. Đầu tiên, trong khi nghiên cứu trước đây đã khám phá sự bất bình
đẳng do thương mại gây ra về lượng khí thải carbon giữa các nước phát triển và đang phát triển, cũng như CI giữa các
nhóm thu nhập và độ tuổi khác nhau, các học giả đã chú ý rất ít đến sự bất bình đẳng về lượng khí thải carbon giữa khu
vực thành thị và nông thôn trong các tỉnh. Ngoài ra, rất ít nghiên cứu đã kết nối chủ đề DED với CI. Do đó, nghiên cứu
này đại diện cho một nỗ lực nghiên cứu tiên phong điều tra tác động của DED đối với CI ở Trung Quốc, có giá trị để đề
xuất các biện pháp giải quyết CI từ quan điểm của DED. Thứ hai, mức độ phát triển trên khắp các tỉnh của Trung Quốc,
bao gồm cả sự chênh lệch về tích lũy vốn xã hội và con người khác nhau, một yếu tố mà các nhà nghiên cứu thường bỏ
qua. Do đó, chúng tôi nhấn mạnh tác động không đồng nhất của DED đối với CI ở các tỉnh có mức độ nguồn nhân lực
và xã hội khác nhau, điều này rất hữu ích cho các nhà hoạch định chính sách trong việc xác định các chính sách mục
Zhao et al. Trung hòa carbon (2023) 2:15 Trang 3 của 17
tiêu cụ thể theo mức vốn địa phương. Thứ ba, bài viết này xem xét vai trò điều tiết của thu nhập khả dụng ở nông thôn
trong mối quan hệ giữa DED và CI và xác định tác động hiệp đồng giữa thu nhập khả dụng của cư dân nông thôn và
DED đối với CI, cung cấp những hiểu biết có giá trị cho chính phủ trong nỗ lực giảm bớt hiện tượng CI bằng cách tăng
cường thu nhập khả dụng của cư dân nông thôn. Hơn nữa, hai kênh tác động, cụ thể là quy định môi trường và đổi mới
công nghệ, được xác định, góp phần hiểu rõ hơn về mối quan hệ giữa DED và CI.
Các phần tiếp theo của nghiên cứu này được tổ chức như sau. Phần
2 tóm tắt các tài liệu hiện tại và xác định khoảng
cách nghiên cứu. Phần 3 giới thiệu phương pháp và dữ liệu cần thiết. Phần
4 phân tích kết quả hồi quy cơ sở và hiệu
ứng không đồng nhất. Phần
5 trình bày phân tích hiệu quả kiểm duyệt và trung gian. Phần 6 kết thúc bài viết này và
cung cấp các hàm ý chính sách.
2 Liên kết đến tài liệu
2.1 Nghiên cứu về phát triển kinh tế kỹ thuật số
Trong những năm gần đây, ngày càng có nhiều học giả làm sáng tỏ vấn đề DED. Nhiều học giả tập trung vào việc đo
lường nền kinh tế kỹ thuật số. Ví dụ, Pan cùng các cộng sự [ ]
52 đề xuất đo lường nền kinh tế kỹ thuật số từ các khía
cạnh của cơ sở hạ tầng, quy mô công nghiệp và giá trị lan tỏa. Trong số đó, cơ sở hạ tầng nhấn mạnh tỷ lệ thâm nhập
internet, quy mô công nghiệp đề cập đến sự phát triển của các ngành công nghiệp công nghệ cao và giá trị lan tỏa nằm ở
giá trị gia tăng của ngành công nghiệp đại học. Tương tự, cơ sở hạ tầng, tác động xã hội, đổi mới và ứng dụng, tăng
trưởng kinh tế và việc làm được coi là bốn trụ cột trong hệ thống chỉ dẫn của nền kinh tế kỹ thuật số trong Wang và đồng nghiệp [ ]. Hơn 62
nữa, xung quanh bốn khía cạnh này của nền kinh tế kỹ thuật số, Wang và các cộng sự [ ] 62 chọn
tổng cộng 21 chỉ số phụ để đo lường tình trạng phát triển của nền kinh tế kỹ thuật số ở Trung Quốc. Để so sánh, Chen
[10] áp dụng một cách đơn giản hơn, chỉ tập trung vào năm chỉ số phụ: doanh thu kinh doanh viễn thông, số lượng nhân
viên trong lĩnh vực kinh tế kỹ thuật số, số lượng thuê bao internet băng thông rộng, số lượng thuê bao điện thoại di
động và chỉ số tài chính toàn diện.
Hơn nữa, nhiều nghiên cứu đã đề cập đến những tác động kinh tế và xã hội tích cực của nền kinh tế kỹ thuật số. Xue
cùng những người đồng nghiệp [ ]
80 điều tra tác động của DED đối với tiêu thụ năng lượng và tập trung chủ yếu vào
quy mô và cấu trúc tiêu thụ năng lượng. Kết quả của họ cho thấy DED không chỉ làm tăng quy mô tiêu thụ năng lượng
mà còn thúc đẩy tối ưu hóa cơ cấu tiêu thụ năng lượng. Dựa trên dữ liệu cấp tỉnh ở Trung Quốc trong giai đoạn 2011–
2020, Wang và các cộng sự [70] cho thấy tác động tích cực của DED đối với phát triển hội nhập thành thị-nông thôn.
Bằng cách sử dụng một bộ dữ liệu tương tự (tức là bộ dữ liệu cấp tỉnh ở Trung Quốc từ năm 2010 đến năm 2020), Li và
các đồng nghiệp của mình [41] chứng minh rằng DED là động lực thúc đẩy đầu tư xanh, đặc biệt là ở miền tây Trung
Quốc. Guo cùng với các cộng sự [ ], trong việc xác định mối quan hệ giữa DED và phát triển kinh tế đô thị chất lượng 28
cao, tuyên bố rằng DED rất quan trọng đối với tăng trưởng kinh tế đô thị chất lượng cao. Họ cũng nhận thấy rằng nguồn
nhân lực và đổi mới công nghệ xanh là hai kênh quan trọng mà qua đó DED ảnh hưởng đến sự phát triển chất lượng cao
của nền kinh tế đô thị.
2.2 Nghiên cứu về bất bình đẳng carbon
Trong những năm gần đây, chủ đề về CI đã thu hút sự chú ý của một số nhà nghiên cứu [ , 26 , 74 , 85 97]. Đầu tiên, các
tài liệu hiện tại đã khám phá sự bất bình đẳng do thương mại gây ra về năng lượng và phát thải CO2. Bằng cách áp dụng
mô hình đầu vào-đầu ra đa khu vực (MRIO), hầu hết các tài liệu hiện tại về chủ đề CI đều điều tra hiện tượng này trong
quá trình thương mại quốc tế. Ví dụ, Zhu và các đồng nghiệp [ ]
102 tập trung vào lượng khí thải CO2 dựa trên tiêu dùng
trong thương mại hàng hóa quốc tế bằng cách sử dụng mô hình MRIO. Hơn nữa, Wang cùng các cộng sự [ ] 72 chỉ ra
rằng trong khi thương mại toàn cầu mang lại lợi ích kinh tế cho các nước thương mại, nó cũng khiến họ phải chịu chi
phí môi trường. Do đó, các tài liệu so sánh lợi ích kinh tế và tổn thất môi trường của các quốc gia thương mại này bằng
cách điều tra lượng khí thải CO2 thể hiện và giá trị gia tăng của hàng hóa [ ].
43 Một kết luận rõ ràng đã đạt được rằng
đối với các nước đang phát triển, thiệt hại môi trường lớn hơn nhiều so với lợi ích kinh tế của họ từ thương mại. Trong
khi đối với các nước phát triển và các nền kinh tế có thu nhập cao, phúc lợi gia tăng của các lợi ích kinh tế của họ lớn
hơn phúc lợi giảm sút của họ do suy giảm chất lượng môi trường [ , 29 , 33 ].
69 Điều này có nghĩa là trong thương mại
quốc tế, một số quốc gia thu nhập thấp là những nước hấp thụ chất ô nhiễm, trong khi các nền kinh tế phát triển có xu
hướng xuất khẩu ô nhiễm và CO2, dẫn đến sự chênh lệch về CI do thương mại.
Thứ hai, một số học giả điều tra chủ đề CI từ khía cạnh phát thải carbon hộ gia đình. Mi và đồng nghiệp [48] sử dụng
phương pháp hệ số Gini để tính CI trong các hộ gia đình Trung Quốc theo các mức thu nhập khác nhau và thấy rằng các
hộ gia đình có thu nhập cao có xu hướng tạo ra nhiều CO2 hơn Wang với các đồng nghiệp [67] và Liu cùng các cộng sự
Zhao et al. Trung hòa carbon (2023) 2:15 Trang 4 của 17 của mình [ ]
44 áp dụng cùng một phương pháp và liên kết vấn đề CI với các mức thu nhập khác nhau của các hộ gia đình này.
Các nghiên cứu khác điều tra các yếu tố ảnh hưởng của CI. Cụ thể hơn, Xu và các cộng sự [ ] thấy rằng 78 công nghiệp
hóa, đầu tư và hiệu quả năng lượng là ba yếu tố chính góp phần làm giảm CI, trong khi cường độ năng lượng có thể làm
trầm trọng thêm CI. Tương tự, Xu [77] điều tra các yếu tố thúc đẩy của CI từ khía cạnh công nghiệp, công nghệ và năng lượng.
2.3 Nghiên cứu về mối quan hệ giữa nền kinh tế kỹ thuật số và bất bình đẳng
Một số nghiên cứu đã ghi nhận mối quan hệ giữa DED và bất bình đẳng môi trường hoặc bất bình đẳng thu nhập. Cụ
thể hơn, Li và các đồng nghiệp [ ] kết luận rằng DED có hiệu quả trong việc ức chế bất bình đẳng môi trường giữa các 40
khu vực khác nhau. Bằng cách sử dụng chỉ số Theil, trước tiên các tác giả tính toán bất bình đẳng môi trường về lượng
khí thải công nghiệp ở Trung Quốc. Sau đó, họ thấy rằng mối liên hệ giữa DED và bất bình đẳng môi trường mạnh mẽ
hơn ở những khu vực ô nhiễm cao. Một nghiên cứu của Martynenko và Vershinina [ ]
47 xem xét tác động của DED đối
với phát triển bền vững và điều tra hiện tượng bất bình đẳng trong xã hội và môi trường. Cụ thể, các tác giả tiết lộ rằng
DED là điều cần thiết trong việc giảm và thu hẹp các rủi ro môi trường và xã hội không đồng đều và phân bố không
đồng đều, do đó, cho thấy tác động tích cực trong việc giảm bất bình đẳng. Ngoài ra, Hodula [ ] 32 cho thấy DED và tài
chính toàn diện đóng vai trò quan trọng trong việc giảm bất bình đẳng thu nhập. Tương tự, Wang và Chen [ ] 68 xây
dựng một khuôn khổ tích hợp bao gồm sự phụ thuộc tài nguyên, DED, bất bình đẳng thu nhập và ô nhiễm để kiểm tra
vai trò của DED và bất bình đẳng thu nhập đối với ô nhiễm môi trường ở các thành phố của Trung Quốc trong giai đoạn
2011-2018. Hơn nữa, họ nhấn mạnh rằng DED ảnh hưởng đến ô nhiễm và sự phụ thuộc tài nguyên thông qua biến số
trung gian của bất bình đẳng thu nhập. Hơn nữa, dựa trên dữ liệu của 108 quốc gia quanh thế giới, Xu và Zhong [ ] 79
tiết lộ số hóa là điều cần thiết trong việc giảm bớt các tác động tiêu cực của bất bình đẳng thu nhập đối với môi trường và năng lượng.
2.4 Khoảng trống nghiên cứu
Dựa trên tổng quan tài liệu, một mặt, các tài liệu hiện tại tập trung chủ yếu vào CI giữa các nước thương mại và nền
kinh tế, trong khi bỏ qua CI trong phạm vi khu vực nhỏ hơn, ví dụ, sự bất bình đẳng về lượng khí thải carbon trong một
tỉnh cụ thể và giữa khu vực thành thị và nông thôn. Mặt khác, mặc dù các tài liệu hiện tại đã khám phá mối quan hệ bất
bình đẳng DED, hầu hết các nghiên cứu đã đề cập đến tác động của DED đối với bất bình đẳng thu nhập hoặc bất bình
đẳng môi trường, trong khi tác động của DED đối với CI đã nhận được rất ít sự chú ý từ các học giả. Do đó, chúng tôi
tin rằng các tài liệu đã bỏ qua việc điều tra tác động của DED đối với CI hoặc mối quan hệ giữa DED và CI có thể được
kiểm duyệt bởi các yếu tố khác. Một vấn đề đáng được điều tra thêm là sự không đồng nhất của mối quan hệ DED-CI ở
các tỉnh khác nhau ở Trung Quốc.
3 Phương pháp luận và dữ liệu 3.1 Phương pháp luận
Nghiên cứu này nhằm mục đích khám phá tác dụng giảm CI của DED. Để đạt được điều này, chúng tôi sử dụng bất
bình đẳng carbon làm biến phụ thuộc và sự phát triển của nền kinh tế kỹ thuật số là biến độc lập cốt lõi. Chúng tôi cũng
xem xét các biến kiểm soát khác, bao gồm phát triển kinh tế, phát triển công nghiệp, khác biệt thành thị và nông thôn và
đầu tư. Cụ thể, một đặc điểm kỹ thuật cụ thể tiết lộ mối quan hệ giữa CI và DED có thể được hiển thị như sau.
CIit = f (DED , GDP , SER , URP , it it it it (1) trong đó CI FDI )
it biểu thị sự bất bình đẳng về phát thải carbon và DEDit cho thấy mức độ phát triển kinh tế số. Đồng thời,
chúng tôi thêm tăng trưởng kinh tế, tỷ lệ sản lượng công nghiệp đại học so với sản lượng công nghiệp thứ cấp, cơ cấu
dân số thành thị và nông thôn, và đầu tư trực tiếp nước ngoài, được đại diện bởi GDPit, SERit, URPit và FDIit, tương
ứng. Đáng chú ý, chỉ số dưới i là cá nhân mẫu nghiên cứu của chúng tôi, cụ thể là 30 tỉnh ở Trung Quốc, trong khi chỉ
số dưới t là giai đoạn mẫu 2006 - 2019.
Để chuyển đổi mối quan hệ trên thành mô hình ước tính kinh tế lượng, chúng ta lấy logarit tự nhiên của từng biến; Do
đó, chúng tôi có được sự hình thành sau đây.
= β0 + β1 lnDEDit + β2 lnGDPit + β3 lnSERit + β4 lnURPit + β5 lnFDIit + (2) ln CIit Ý nghĩa của các biến πi trên + µ giống như t + εit
trong Eq. (1); tuy nhiên, Eq. ( ) hiển 2
thị thêm thông tin về các tham số ước tính.
Cụ thể, các tham số β1 - β5 là trọng tâm chính của chúng tôi. Trong số đó, β1 đại diện cho tác động cận biên của DED
đối với CI, mà chúng tôi thức
hy vọng là tiêu cực. Nói cách khác, chúng tôi giả định rằng sự gia tăng DED có liên quan đến thức
Zhao et al. Trung hòa carbon (2023) 2:15 Trang 5 của 17
việc giảm CI. Ngoài ra, β0 là số hạng hằng số và εit là thuật ngữ lỗi. Ngoài ra, chúng tôi xem xét cả hiệu ứng cố định
thời gian và hiệu ứng cố định riêng lẻ, được ký hiệu lần lượt là πi và μt.
Hơn nữa, mức độ CI có thể cuồng loạn; nói cách khác, mức độ CI trong năm trước có thể ảnh hưởng đến mức độ CI
trong năm hiện tại và mối tương quan chuỗi thời gian có thể tồn tại giữa hai vì lượng khí thải carbon của một khu vực
có liên quan chặt chẽ đến các hoạt động kinh tế và xã hội của nó, và sự phát triển kinh tế và xã hội của một khu vực rất
khó thay đổi đáng kể trong ngắn hạn [ ].
88 Do đó, điều hợp lý là CI có có i đại diện cho tỉnh và t đại diện cho tương
quan chuỗi thời gian. Theo quan điểm về các đặc điểm của CI, bài báo này chọn một mô hình kinh tế lượng phù hợp để
đánh giá động, cụ thể là mô hình phương pháp mô-men tổng quát (GMM) [ ].
3 Trong các mô hình ước tính truyền
thống, chẳng hạn như các mô hình bình phương tối thiểu thông thường (OLS) và hiệu ứng cố định (FE), nếu thuật ngữ
trễ được thêm trực tiếp vào mô hình, nó sẽ gây ra các vấn đề nội sinh và sau đó dẫn đến ước tính sai lệch [ ]. 89 So với
các mô hình kinh tế lượng tĩnh truyền thống, mô hình kinh tế lượng động, cụ thể là mô hình GMM, là một phương pháp
sáng tạo có thể cung cấp kết quả ước tính chính xác và hiệu quả bằng cách lấy các thuật ngữ trễ của biến phụ thuộc làm
biến công cụ để giải quyết các vấn đề nội sinh [ , 19 ].
31 Cụ thể hơn, trong bài báo này, phương pháp GMM hệ thống
(SYS-GMM) được giới thiệu là phương pháp ước lượng, được sử dụng rộng rãi trong nghiên cứu hiện có về các chủ đề
kinh tế môi trường và kinh tế tài nguyên [ , 4 ].
100 Một mô hình tương tự khác là mô hình GMM vi phân (DIF-GMM),
cũng có khả năng nhận được kết quả ước tính chính xác trong chuỗi động [2], tuy nhiên, SYS-GMM được ưa thích hơn
DIF-GMM ở chỗ bản thân nó đạt hiệu quả cao hơn[ ]. 87 ln CIit =
β0 + β1 lnCIi,t-1 + β2 lnDEDit + β3 lnGDPit + β4 lnSERit + β5 lnURPit + β6 lnFDIit + πi + µt + εit (3) trong
đó CIi,t-1 là mức CI trong năm trước so với CIi,t và hệ số CIi,t-1 cho thấy tác động cuồng loạn của nó. Hơn nữa,
chúng tôi quan tâm nhất đến tham số β2 và tin rằng nó là âm. thức
3.2 Biến số và dữ liệu thức
Chúng tôi tính toán biến phụ thuộc bằng phương pháp chỉ số Theil, đây là phương pháp chính thống hiện tại để đánh
giá bất bình đẳng trong các chủ đề về thu nhập, chi tiêu, sự giàu có, giáo dục, năng lượng và môi trường [ , 5 , 13 , 15 , 24 25, 34 , 46, 92
]. Chỉ số Theil rất hữu ích để đo lường sự bất bình đẳng trong một khu vực nhất định hoặc giữa khu vực
nông thôn và thành thị. Bởi vì cấu trúc thành thị-nông thôn kép của Trung Quốc là rõ ràng và có liên quan đến phát triển
kinh tế không đồng đều, điều cần thiết và thú vị là khám phá sự bất bình đẳng về lượng khí thải carbon giữa hai khu vực này [ ].
93 Cụ thể, trước tiên chúng tôi lấy dữ liệu về lượng khí thải carbon ở khu vực thành thị và nông thôn của Trung
Quốc từ Tài khoản và Bộ dữ liệu phát thải của Trung Quốc [8]. Đề cập đến bài nghiên cứu của Zhao và các đồng nghiệp
[93], chúng tôi tính toán bất bình đẳng phát thải carbon thành thị-nông thôn bằng phương trình sau. Bất đẳng =CEijt CEijt POPijt) CEit ·ln ( CEit )/( POP it thứcit =CEiat CE (4) POPi9 ia iat t )+CEibt CE ib POP i
CEit ·()/( ln CE ln it CEit ·( )/( CE)it POP it thức thức
trong đó, i đại diện cho tỉnh, và t là năm. j đại diện cho một khu vực đô thị khi j bằng a, và một khu vực nông thôn khi
j bằng b. Trong bối cảnh này, CEiat biểu thị lượng khí thải carbon trong các khu vực đô thị ở tỉnh i và năm t, và CEibt
biểu thị lượng khí thải carbon trong các khu vực nông thôn ở tỉnh i và năm t. Tương tự, POPiat đại diện cho tổng dân
số ở các khu vực đô thị ở tỉnh i và năm t, và POPibt đại diện cho tổng dân số ở các khu vực nông thôn ở tỉnh i và năm
t. Do đó, CI của 30 tỉnh ở Trung Quốc được xác định.
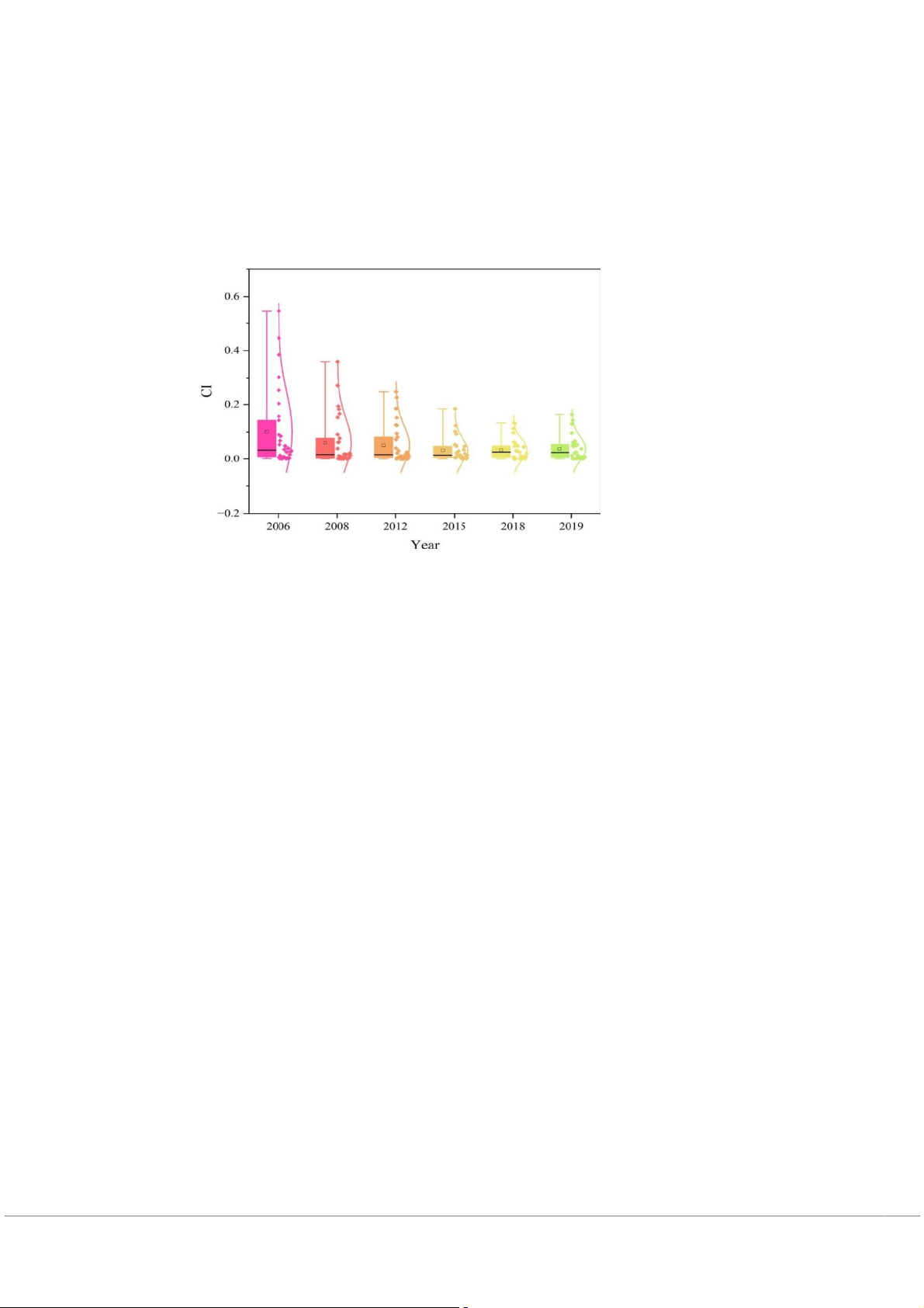
Sau đó, chúng tôi phác họa con số tương ứng để trình bày mức CI trong giai đoạn 2006-2019 (xem Hình ). Một mặt, 1
có một xu hướng giảm rõ ràng trong CI theo thời gian, cho thấy hiện tượng tiêu cực này đã giảm bớt. Mặt khác, mặc dù
sự hiện diện của sự chênh lệch đáng kể về CI giữa các tỉnh khác nhau ở Trung Quốc là rõ ràng, khoảng cách đã giảm
dần và hội tụ, cho thấy sự tiến bộ thành công của sự phát triển phối hợp khu vực.
Liên quan đến biến độc lập (tức là DED), đánh giá nền kinh tế kỹ thuật số từ quan điểm của cả phía cung và phía cầu
cung cấp một sự hiểu biết toàn diện về sự phát triển và tác động xã hội của nó. Kiểm tra phía cung liên quan đến việc
xem xét các yếu tố như sự phát triển của lĩnh vực phần mềm và công nghệ thông tin, cơ sở hạ tầng, việc làm, tiền lương
và khối lượng kinh doanh. Đánh giá này giúp đánh giá sự tiến bộ của nền kinh tế kỹ thuật số, phản ánh tác động chuyển
đổi của nó đối với các ngành công nghiệp và đóng góp của nó vào sản xuất xã hội. Về phía cầu, điều quan trọng là phải
Zhao et al. Trung hòa carbon (2023) 2:15 Trang 6 của 17
phân tích cách mọi người sử dụng và tham gia vào nền kinh tế kỹ thuật số. Ví dụ, việc áp dụng rộng rãi các phương
thức thanh toán kỹ thuật số giúp tăng cường đáng kể sự tiện lợi trong cuộc sống hàng ngày của mọi người. Tỷ lệ thâm
nhập của điện thoại di động và internet cho thấy mức độ mà nền kinh tế kỹ thuật số được tích hợp vào xã hội. Số lượng
người dùng internet phản ánh trực tiếp nhu cầu sử dụng các dịch vụ kinh tế số. Nhu cầu mạnh mẽ đối với nền kinh tế kỹ
thuật số không chỉ tạo ra một thị trường lớn hơn mà còn kích thích sự đổi mới và ứng dụng hơn nữa. Do đó, xem xét cả
hai phía cung và cầu cung cấp một cái nhìn toàn diện về nền kinh tế kỹ thuật số, bao gồm sự phát triển, tác động và tiềm
năng tăng trưởng của nó. Dựa trên phân tích ở trên, chúng tôi xây dựng một khuôn khổ toàn diện để đánh giá mức độ phát triển
Hình 1: Mức độ CI ở Trung Quốc trong giai đoạn 2006–2019
kinh tế số (DED) tại Trung Quốc. Chúng tôi chọn chín chỉ số từ mỗi phía để đo lường DED, và khung chỉ số toàn diện
về hệ thống chỉ báo kinh tế số được trình bày trong Bảng 1.
Sau khi xây dựng một hệ thống chỉ số toàn diện, chúng tôi sử dụng phương pháp trọng số thông tin để tính toán điểm số của DED. Hình
2 cho thấy mức độ DED cụ thể ở mỗi tỉnh ở Trung Quốc trong giai đoạn 2006–2019. Có nhiều mức
độ DED khác nhau ở các tỉnh khác nhau của Trung Quốc. Cụ thể, mức độ DED ở các tỉnh ven biển phía đông phát triển
như Bắc Kinh, Thượng Hải và Quảng Đông cao, trong khi ở các khu vực phía tây, như Cam Túc và Thanh Hải, mức
DED tương đối thấp hơn. Thêm vào đó, rõ ràng là khi thời gian trôi qua, mức độ DED ở Trung Quốc cho thấy một xu hướng tăng đáng kể.
Chúng tôi cũng xem xét bốn biến điều khiển được kết nối không chỉ với biến phụ thuộc của chúng tôi mà còn được
liên kết với biến độc lập cốt lõi. Đó là tăng trưởng kinh tế (ký hiệu là GDP); chuyển đổi cơ cấu công nghiệp (ký hiệu là
SER), được đo bằng tỷ trọng giá trị gia tăng trong ngành công nghiệp đại học so với công nghiệp thứ cấp; cơ cấu dân số
giữa khu vực thành thị và nông thôn (ký hiệu là URP), được đo bằng tỷ lệ dân số thành thị so với dân số nông thôn; và
đầu tư trực tiếp nước ngoài (ký hiệu là FDI). Đáng chú ý, chúng tôi nhận được dữ liệu trên về các biến kiểm soát từ Niên
giám thống kê Trung Quốc [14]. Do đó, bằng cách sử dụng bộ dữ liệu bảng điều khiển của các tỉnh ở Trung Quốc
(chúng tôi không nhắc đến Hồng Kông, Macao, Đài Loan và Tây Tạng do dữ liệu không thể truy cập được) trong giai
đoạn 2006-2019, chúng tôi điều tra thực nghiệm hiệu ứng giảm CI có thể do DED mang lại. Cụ thể, chúng tôi liệt kê
một bản tóm tắt chi tiết về các biến này trong Bảng .
2 Chúng tôi cũng đã chỉ ra các đặc điểm phân phối của từng biến trong Hình .
3 Rõ ràng, có thể thấy biến phụ thuộc có xu hướng giảm theo thời gian, trong khi cả năm biến độc lập đều tăng. 4 Phân tích kết quả
4.1 Kiểm định đồng liên kết bảng
Một kiểm định đồng liên kết bảng có thể giúp xác định xem một tổ hợp tuyến tính của các biến không tĩnh có ổn định
hay không. Trước khi thực hiện các hồi quy cơ bản, chúng tôi trước tiên sử dụng kiểm định đồng liên kết ECM
Westerlund do Westerlund đề xuất [ ] và 73
trình bày kết quả trong Bảng trong 8
Phụ lục. Thuyết vô hiệu của thử nghiệm
này là không có sự đồng hợp nhất [27, ]. Cụ thể, các thống kê 98
Gt và Ga có nghĩa là việc bác bỏ thuyết vô hiệu nên
Zhao et al. Trung hòa carbon (2023) 2:15 Trang 7 của 17
được xem như là bằng chứng về sự đồng liên kết trong ít nhất một đơn vị cắt ngang, và các thống kê Pt và Pa có nghĩa là
việc bác bỏ thuyết vô hiệu có thể được coi là bằng chứng về sự đồng liên kết tổng thể của bảng.
Bảng 1: Khung hệ thống chỉ dẫn kinh tế số toàn diện Bên Kích thước Tài sản
Phía cung Số lượng lao động ngành phần mềm và dịch vụ công nghệ thông tin Dương tính
Mức lương của người lao động trong ngành phần mềm và dịch vụ công nghệ Dương tính thông tin Hình
Khối lượng kinh doanh bưu chính Dương tính 2:
Khối lượng kinh doanh viễn thông Dương tính Mức độ Số lượng tên miền Dương tính DED Số lượng trang web Dương tính ở Số lượng trang web Dương tính mỗi tỉnh
Số lượng doanh nghiệp có hoạt động giao dịch thương mại điện tử Dương tính ở
Xuất khẩu kinh doanh phần mềm Dương tính Phía cầu
Tỷ lệ thâm nhập điện thoại di động Dương tính
Tỷ lệ thâm nhập Internet Dương tính
Số lượng người dùng internet Dương tính
Số cổng internet băng thông rộng Dương tính
Số lượng người dùng internet băng thông rộng Dương tính
Lưu lượng truy cập internet di động Dương tính
Số lượng máy tính được sử dụng trên một trăm người Dương tính
Doanh thu kinh doanh phần mềm Dương tính
Doanh thu dịch vụ công nghệ thông tin Dương tính
Trung Quốc trong giai đoạn 2006–2019
Bảng 2: Thống kê mô tả các biến Biến số Trung bình Std. Dev Phút Trung Max Đơn vị Định nghĩa tuyến CI 0.0518 0.0797 0.0000 0.0186 0.5443 /
Bất bình đẳng phát thải carbon giữa khu vực thành thị và nông thôn DED 0.0953 0.1116 0.0062 0.0530 0.8511 /
Trình độ phát triển của kinh tế số
GDP 1,91e + 04 1,78đ + 04 585.2000
1,33e + 04 1,08e + 05 100 triệu nhân dân tệ Tổng sản phẩm quốc dân SER 1.1877 0.6627 0.5271 1.0360 5.2340 %
Tỷ trọng giá trị gia tăng trong ngành công nghiệp
đại học so với tỷ trọng trong ngành thứ cấp URP 1.6285 1.6173 0.3784 1.1332 8.6230 %
Tỷ lệ dân số thành thị so với dân số nông thôn
FDI 1,37e + 05 2,36đ + 05 2000.0000 4,84e + 04 1,95đ + 06 100 triệu nhân dân tệ Đầu tư trực tiếp nước ngoài
Trung bình đề cập đến giá trị trung bình của các biến, Std. Dev. đại diện cho độ lệch chuẩn, Min, Median và Max biểu thị các giá trị tối thiểu, trung vị và tối đa của các biến tương ứng
Việc bác bỏ thuyết vô hiệu có thể được coi là bằng chứng về sự đồng hội nhập tổng thể của hội đồng. Kết quả của
chúng tôi chỉ ra rằng các giá trị P trong Gt và Pt đều có ý nghĩa; do đó, thử nghiệm này xác minh rằng các biến độc lập
được tích hợp với biến phụ thuộc ở tất cả các tỉnh trung ương.
4.2 Kết quả hồi quy đường cơ sở
Trong phần này, chúng tôi phân tích tác động của DED đối với CI dựa trên mô hình ước tính ưa thích của chúng tôi
(tức là SYS-GMM). Để cụ thể hơn, chúng tôi thêm các biến điều khiển từng bước và rõ ràng là tất cả các biến điều
khiển mà chúng tôi đã chọn đều có ý nghĩa (xem Bảng 3). Các hệ số của thời hạn trễ của CI đều tích cực đáng kể, ngụ ý
rằng CI trong năm trước có tác động tích cực đến CI trong năm hiện tại, điều này xác minh lựa chọn của chúng tôi về
Zhao et al. Trung hòa carbon (2023) 2:15 Trang 8 của 17
mô hình ước tính. Hơn nữa, đối với biến quan trọng nhất, cụ thể là DED, chúng tôi thấy rằng các hệ số của DED trong
bốn cột này đều âm đáng kể, cho thấy DED có liên quan tiêu cực đến CI. Nói cách khác, sự phát triển của nền kinh tế
kỹ thuật số góp phần ức chế CI. Đáng chú ý, với sự gia tăng dần dần của các biến kiểm soát, các hệ số của DED không
thay đổi nhiều và vẫn ổn định. Trong cột (4), hệ số DED là -0,6310, có nghĩa là DED tăng 1% có thể kích hoạt CI giảm khoảng 0,6310%.
Hình 3 Các đặc điểm phân bố của từng biến
DED giúp giảm lối sống tiêu thụ năng lượng cao của mọi người trong cuộc sống hàng ngày, đặc biệt là khi đi lại. Bằng
cách thiết lập một nền tảng dịch vụ dữ liệu lớn, cơ sở hạ tầng và cơ sở giao thông trở nên tiết kiệm năng lượng và thân
thiện với môi trường hơn. Đồng thời, mọi người có thể giảm một số hoạt động đi lại và sản xuất không cần thiết [ , 50
51], do đó giảm lượng khí thải carbon ở khu vực thành thị. Ngoài ra, nền kinh tế kỹ thuật số được nhúng nhiều hơn vào
ngành công nghiệp đại học và ngành dịch vụ, vì vậy số hóa có thể giúp thúc đẩy sự phát triển của họ [ , 30 , 66 ]. Mặt 81
khác, đặc tính thấm cao của số hóa có thể cải thiện đáng kể sự hội nhập công nghiệp của nông nghiệp, sản xuất và các
ngành dịch vụ. Từ quan điểm này, DED đóng một vai trò quan trọng trong việc nâng cấp cơ cấu công nghiệp ở khu vực
nông thôn, tối ưu hóa phương thức phát triển nông thôn [17, ]. Do đó, DED làm giảm sự mất cân bằng của năng 45
lượng gốc và phân bổ các yếu tố sản xuất, do đó thúc đẩy sự phát triển cân bằng của khu vực thành thị và nông thôn trong các tỉnh.
Bảng 3 Kết quả hồi quy cơ bản về tác động của phát triển kinh tế số DED lên bất bình đẳng carbon CI Biến số (1) (2) (3) (4)
lnCIi,t−1 0.5191*** (83.1572) 0.5081*** (47.5466) 0.5360*** (50.1183) 0.4789*** (43.5007)
lnDED -0.3296*** (-3.0423) -0.7779*** (-8.5472) -0.3628** (-2.2074) -0.6310*** (-2.9258)
lnGDP 0.7945*** (5.6258) 0.9547*** (15.1817) 0.8692*** (4.5032) 1.0553*** (8.4698)
lnSER 1.1764*** (5.1665) 0.9841*** (4.5159) 0.9746** (2.3394)
lnURP -1.0874*** (-9.3007) -1.3403*** (-5.8747)
lnFDI 0.3598*** (2.8497)
Zhao et al. Trung hòa carbon (2023) 2:15 Trang 9 của 17
Hằng -10.4948*** (-6.6909) -13.2750*** (-16.0637) -11.0463*** (-4.9314) -17.5607*** (-11.8244) AR (1) 0.0109 0.0122 0.0108 0.0137 AR (2) 0.2531 0.2546 0.2462 0.2621 Sargan 0.9986 0.9972 0.8008 0.9996
***và ** chỉ ra ý nghĩa thống kê ở mức 1% và 5%, tương ứng; Các giá trị trong ngoặc đơn đại diện cho thống kê t
Khi nói đến biến số kiểm soát, đáng chú ý là GDP, SER và FDI đều ảnh hưởng tích cực và đáng kể đến CI, điều này
không có lợi cho việc giảm thiểu CI. Các khu vực đô thị có nền tảng kinh tế vững chắc hơn, cơ cấu công nghiệp hoàn
hảo và cơ sở hạ tầng hoàn chỉnh; ngược lại, điều kiện kinh tế ở khu vực nông thôn không tiên tiến như ở khu vực thành thị [ ,
60 61, ]. Do đó, phát triển kinh tế có thể nới rộng khoảng cách thành thị - nông thôn, tha 99 y vì thúc đẩy sự phát
triển cân đối và đồng bộ của phát thải carbon đô thị và nông thôn khi nguồn lực không nghiêng đáng kể về khu vực
nông thôn. Cơ cấu công nghiệp cũng vậy. FDI có xu hướng tập trung ở các khu vực đô thị, đặc biệt là ở các thành phố
hạng nhất vì các thành phố này có sự hiện diện nhiều hơn của các doanh nghiệp có vốn đầu tư nước ngoài và các tập
đoàn xuyên quốc gia, có nhiều khả năng thu hút đầu tư hơn. Do đó, mức đầu tư của tỉnh vào các khu vực này cao hơn
so với các khu vực khác trong tỉnh [39]. Tuy nhiên, cơ cấu dân số thành thị và nông thôn không làm trầm trọng thêm CI,
có thể là do CI không chỉ liên quan đến số lượng dân số ở khu vực thành thị và nông thôn, mà còn liên quan đến cấu trúc tuổi [ ]. 43 4.3 Kiểm tra độ bền
Chúng tôi thay đổi một số biến kiểm soát và ước tính lại phương trình ( ) 3 (xem Bảng
4 để biết kết quả). Cụ thể hơn,
chúng tôi thay thế cơ cấu dân số thành thị và nông thôn bằng cơ cấu tiêu dùng thành thị và nông thôn. Chúng tôi cũng
thay đổi các biến kiểm soát ban đầu của FDI thành tỷ lệ doanh thu vận tải. Từ Bảng ,
4 chúng ta có thể thấy rằng thời
hạn trễ của biến phụ thuộc vẫn tác động tích cực đến biến phụ thuộc hiện tại. Hơn nữa, tăng DED là điều cần thiết để
giảm CI. Các dấu hiệu hệ số của mỗi biến kiểm soát cũng phù hợp với các dấu hiệu trong kết quả hồi quy đường cơ sở.
Cụ thể, GDP, nâng cấp cơ cấu công nghiệp và giao thông vận tải cho thấy những tác động tổng hợp đáng kể đến CI,
trong khi cơ cấu tiêu dùng thành thị - nông thôn lại rất hữu ích trong việc giảm bất bình đẳng về khí thải carbon. Các kết
quả trên trong việc kiểm tra độ bền xác minh rằng những phát hiện chính trong hồi quy đường cơ sở là đáng tin cậy và chính xác.
Bảng 4: Kiểm tra độ bền bằng cách sử dụng các biến điều khiển thay thế Biến số (1) (2)
lnCIi,t−1 0.5379*** (46.8711) 0.5373*** (45.7472) ***chỉ ra ý nghĩa thống
kê ở mức 1%; Các giá trị
lnDED -0.6814*** (-5.0701) -0.5446*** (-3.3930) trong ngoặc đơn đại
diện cho thống kê t
lnGDP 0.8871*** (4.8459) 0.6912*** (3.3471) 4.4 Phân tích tác
lnSER 0.9584*** (5.3801) 1.1384*** (5.0257) động không đồng
lnURC -0.7519*** (-3.1978) -0.7696*** (-4.3092) nhất
lnTRA 0.2541*** (2.9821) Để điều tra
Hằng -11.3830*** (-5.8448) -11.9373*** (-6.0578) xem tác động của DED đối với AR (1) 0.0110 0.0110 CI có không AR (2) 0.2434 0.2422 đồng nhất ở các
Sargan 0.7711 0.8108 tỉnh khác nhau ở Trung Quốc với
các mức vốn khác nhau hay không, chúng tôi tiến hành phân tích hiệu ứng không đồng nhất. Cụ thể hơn, một số tỉnh có
thể có các doanh nghiệp lớn với nhu cầu lao động lớn, đồng thời phúc lợi của lực lượng lao động tốt hơn; Trong trường
hợp như vậy, các tỉnh này có mức vốn nhân lực cao hơn. Ngược lại, một số tỉnh có thể có nguồn nhân lực tương đối
thấp và không đủ. Mức độ vốn con người có liên quan đến sự phát triển cân bằng giữa thành thị và nông thôn và sự bất
bình đẳng về lượng khí thải carbon. Chi tiêu tài chính của chính phủ cũng là một yếu tố quan trọng để điều phối sự phát
triển trong một khu vực nhất định. Chi tiêu tài chính của chính phủ có thể giúp giảm bớt sự mất cân bằng phát triển giữa
Zhao et al. Trung hòa carbon (2023) 2:15 Trang 10 của 17
các tỉnh và giữa khu vực thành thị và nông thôn. Do đó, chúng tôi xem xét hiệu ứng không đồng nhất về vốn con người và xã hội. Trong Bảng ,
5 hệ số DED không đáng kể ở các khu vực vốn nhân lực cao hơn, nhưng đáng kể và tiêu cực ở các khu
vực vốn nhân lực thấp hơn. Hơn nữa, tình hình vốn xã hội cũng tương tự. Hệ số DED có ý nghĩa trong cột (4), nhưng
không đáng kể ở cột (3), cho thấy việc phát triển DED có hiệu quả trong việc giảm CI ở những khu vực có vốn xã hội
thấp hơn, nhưng không hiệu quả trong việc giảm thiểu CI ở những khu vực có vốn xã hội cao hơn. DED giúp thúc đẩy
việc phân bổ tối ưu các nguồn lực, làm cho một phần các yếu tố lao động, vốn và công nghệ lan tỏa từ thành thị đến nông thôn [ ,
80 103]. Các tỉnh có thủ đô thấp hơn thường nằm ở khu vực miền Trung và miền Tây, nơi có mức độ số hóa
chưa cao, chênh lệch giữa cơ cấu kép đô thị - nông thôn là lớn. Do đó, ở những khu vực này, vai trò của kinh tế số trong
việc giảm CI là điều hiển nhiên. Ngược lại, các tỉnh có nguồn nhân lực và vốn xã hội cao có nền tảng kinh tế số vững
mạnh. DED phá vỡ các rào cản và mở ra một kênh kỹ thuật số cho dòng nhân tố [11, 38
]. Tuy nhiên, các khu vực phát
triển có xu hướng có nguồn vốn cao và sở hữu mức độ tổng hợp các yếu tố sản xuất cao. Sau đó, hiệu ứng quy mô của
tổng hợp vốn và yếu tố làm suy yếu tác động của DED đối với CI. 5 Thảo luận thêm
5.1 Phân tích tác động điều tiết
Sự chú ý đáng kể đã được hướng tới nền kinh tế kỹ thuật số như một công cụ quan trọng để nâng cao mức sống, đặc
biệt là cho cư dân nông thôn. Đáng chú ý, Qian cùng với các cộng sự [ ]
55 nhận thấy rằng các dịch vụ tài chính mới nổi
có thể nâng cao hiệu quả thu nhập và mức tiêu dùng của cư dân nông thôn. Tương tự như vậy, Tang và các đồng nghiệp
[60, 61] chứng minh rằng sự phát triển của các nền tảng thương mại điện tử được thúc đẩy bởi nền kinh tế kỹ thuật s ố
góp phần đáng kể vào sự cải thiện mức sống và mức thu nhập của cư dân. Hơn nữa, mức thu nhập của cư dân nông thôn
đóng vai trò là một chỉ số về tình trạng phát triển ở khu vực nông thôn. Khi mức thu nhập của cư dân nông thôn tăng
lên, sự chênh lệch giữa khu vực nông thôn và thành thị giảm đáng kể. Hiện tượng này tương quan chặt chẽ với sự chênh lệch
Bảng 5: Kết quả không đồng nhất theo đặc điểm vốn khác nhau của các tỉnh ***, ** và * cho Biến số Vốn nhân lực cao
Vốn nhân lực thấp Vốn xã hội cao Vốn xã hội thấp thấy ý nghĩa thống
lnCIi,t−1 0.7435*** (8.3170) 0.1305*** (8.6246) 0.6094*** (12.0802) 0.1455*** (3.3315) kê ở các mức 1%, 5% và 10% tương
lnDED 0.3662 (0.6925) -1.3905*** (-7.7302) 0.5697 (1.5362) -4.5686*** (-10.1446) ứng; Các giá trị
lnGDP -0.1355 (-0.2960) 1.7373*** (8.4292) -1.2761*** (-3.4078) 1.8676*** (5.1698) trong ngoặc đơn đại diện cho
lnSER -1.5258** (-2.1338) -1.1481 (-0.8313) 0.1894 (0.4237) 1.7613*** (3.4554) thống kê t
lnURP 0.7696 (0.5549) -1.4230*** (-4.8980) -1.6162*** (-3.4631) 3.8284*** (6.9190)
lnFDI 0.2764 (0.5866) 1.3495*** (3.4307) 0.5497 (1.3734) 2.0061*** (15.0558) về lượng khí thải carbon
Hằng -2.4687 (-0.2863) -36.1704*** (-9.3924) 6.5416 (1.2405) -53.5770*** (-13.6984) giữa khu vực AR (1) 0.0049 0.0639 0.0068 0.0950 nông thôn và AR (2) 0.7046 0.2844 0.6491 0.1162 thành thị
Sargan 1.0000 1.0000 0.9990 0.9995 [43]. Do đó,
thu nhập khả dụng của cư dân nông thôn trở thành một yếu tố quan trọng ảnh hưởng đến tác động của DED đối với CI.
Trong phần này, chúng tôi tiếp tục khám phá vai trò của thu nhập khả dụng của cư dân nông thôn (RRDI) trong mối
quan hệ giữa DED và CI. Chúng tôi muốn kiểm tra xem RRDI có phải là người điều hành trong mối quan hệ DED-CI
hay không và liệu RRDI có thể tăng cường tác động của DED đối với CI hay không. Để đạt được điều này, chúng tôi sử
dụng mô hình ước tính vừa phải và liệt kê phương trình ước tính sau.
ln CIit = α0 + α1 lnCIi,t-1 + α2 lnDEDit + α3 lnGDPit + α4 lnSERit + α5 lnURPit + α6 (5) = ρ FDI π 0 + ln ρ1i ln t CI + i,ti- 1 + + µ ρ t 2 ln + εDED it
it + ρ3 lnRRIDit + ρ4 lnGDPit + ρ5 lnSERit + ρ6 lnURPit + ρ7 (6) ln CIit = θ
lnFDIit + πi + µt + εit
0 + θ1 lnCIi,t-1 + θ2 lnDEDit · RRIDit + θ3 lnGDPit + θ4 lnSERit + θ5 lnURPit + θ6 lnFDIit + (7) ln CIit thức
πi + µt + εit
Kết quả của ba cột trong Bảng
6 tương ứng với ba phương trình trên. Đáng chú ý, thứ nhất, chúng tôi chỉ phát hiện thức tác động
thức của DED đối với CI; thứ hai, chúng tôi thêm biến thu nhập khả dụng của cư dân nông thôn (ký hiệu là lnRRDI thức );
thức thứ ba, chúng tôi tạo ra thuật ngữ tương tác giữa DED và RRDI, sau đó đánh giá tác động một phần của thuật
ngữ tương tác này đối với CI. thức
Từ cột thứ hai trong Bảng 6, chúng ta có thể thấy rằng khi thêm RRDI, cả hệ số DED và RRDI đều cho thấy tác
động tiêu cực đến CI, có nghĩa là chúng đóng vai trò hiệu quả trong việc đẩy nhanh quá trình loại bỏ CI. Cụ thể, để tăng
Zhao et al. Trung hòa carbon (2023) 2:15 Trang 11 của 17
Bảng 6: Kết quả kiểm duyệt vai trò của thu nhập khả dụng của cư dân nông thôn trong mối quan hệ DED - CI Biến số (1) (2) (3)
lnCIi,t−1 0.4789*** (43.5007) 0.5057*** (74.0685) 0.3805*** (18.2142)
lnDED -0.6310*** (-2.9258) -0.4936** (-2.0867)
lnRRDI -1.2168*** (-4.1067)
lnDED ∗ lnRRDI -0.0613*** (-3.4482)
lnGDP 1.0553*** (8.4698) 1.3648*** (6.7739) -0.6119 (-0.8450)
lnSER 0.9746** (2.3394) 1.8319*** (7.0902) 0.1736 (0.3454)
lnURP -1.3403*** (-5.8747) -0.6953** (-2.4882) 2.3787 (1.2925)
lnFDI 0.3598*** (2.8497) 0.2850*** (2.6732) 0.3734*** (4.0639)
Hằng -17.5607*** (-11.8244) -8.3923* (-1.8671) -2.7200 (-0.3879) AR (1) 0.0137 0.0116 0.0153 AR (2) 0.2621 0.2461 0.3441
Sargan 0.9996 0.8855 0.8886
***, **, và * biểu thị ý nghĩa thống kê lần lượt ở các mức 1%, 5% và 10%; các giá trị trong dấu ngoặc đơn đại diện cho thống kê t.
1% RRDI, CI sẽ giảm đáng kể 1,2168%. Ngoài ra, hệ số lnDED∗ lnRRDI trong cột (3) cũng âm đáng kể, điều này cho
chúng ta biết rằng việc tăng cường RRDI có lợi cho việc tăng hiệu quả ức chế CI từ DED. Do đó, tăng RRDI, một mặt,
có lợi trong việc giảm CI; mặt khác, tăng thu nhập khả dụng có thể tạo ra hiệu ứng tổng hợp và mở rộng vai trò của
DED trong việc giảm CI. Tóm lại, người điều hành, cụ thể là thu nhập khả dụng của cư dân nông thôn, là một yếu tố tạo
điều kiện thuận lợi trong mối quan hệ DED-CI.
Thu nhập khả dụng của cư dân nông thôn có liên quan chặt chẽ đến mức sống và mức sản xuất của cư dân nông thôn
[57]. Thu nhập khả dụng của cư dân nông thôn có thể, ở một mức độ nào đó, phản ánh tình hình trong đó nền kinh tế kỹ
thuật số phân bổ vốn cho khu vực nông thôn. Nền kinh tế kỹ thuật số làm cho việc phân phối các nguồn lực cân bằng
hơn, đồng thời cải thiện mạng lưới nông thôn và các cơ sở hạ tầng cần thiết khác [ ]. Về vấn đề này 18 , sự gia tăng nguồn
vốn nông thôn giúp tăng cường vai trò tích cực của nền kinh tế số trong việc phân bổ các yếu tố. Điều đó có nghĩa là, sự
phát triển thu nhập khả dụng của cư dân nông thôn và DED tạo điều kiện cho nhau, và sự tương tác của họ có tác động
hiệp đồng tích cực đến xã hội và môi trường. Do đó, bất kể thu nhập khả dụng của cư dân nông thôn, DED, hoặc sự
tương tác của họ, tất cả đều có tác dụng đáng kể trong việc giảm CI.
5.2 Phân tích hiệu quả hòa giải
Chúng tôi đã phát hiện ra rằng một mối quan hệ tiêu cực tồn tại giữa DED và CI; bây giờ chúng tôi tiết lộ DED có thể
ảnh hưởng tiêu cực đến CI như thế nào. Khi làm như vậy, chúng tôi sử dụng mô hình hiệu ứng trung gian để phát hiện
các cơ chế tác động bên trong có thể có giữa hai biến trên. Đáng chú ý, là một nền tảng điện tử hiện đại mới, nền kinh tế
kỹ thuật số đã thúc đẩy sự phát triển của internet và phổ biến thông tin và kiến thức; do đó, khả năng quản trị của các
chính phủ và quy định của họ cũng trở nên minh bạch hơn, được xác minh bởi Shahbaz cùng đồng nghiệp [ ] 59 và
Zhang và các cộng sự [82]. Cụ thể, Shahbaz và các đồng nghiệp của mình [59] tìm thấy vai trò trung gian của quản trị
chính phủ trong nghiên cứu của họ về nền kinh tế kỹ thuật số và chuyển đổi năng lượng. Zhang và các cộng sự [ ] 82
cũng thấy rằng quản trị môi trường là một kênh chính cho nền kinh tế kỹ thuật số trong việc thúc đẩy phát triển carbon
thấp. Do đó, chúng tôi lấy quy định môi trường của chính phủ làm biến số trung gian. Bên cạnh đó, sự phát triển của
nền kinh tế số phụ thuộc vào nghiên cứu và phát triển khoa học và công nghệ, có thể góp phần tạo đột phá đổi mới công
nghệ. Và Cao cùng đồng nghiệp [ ]
7 thấy rằng đổi mới công nghệ xanh được sử dụng như một con đường truyền tải
thông qua đó tài chính kỹ thuật số ảnh hưởng đến hiệu suất năng lượng - môi trường. Do đó, chúng tôi chọn đổi mới
công nghệ như một biến trung gian khác. Các phương trình ước tính mô hình hòa giải cụ thể như sau:
ln ERit = ∂0 + ∂1 lnERi,t-1 + ∂2 lnDEDit + ∂3 lnGDPit + ∂4 lnSERit + ∂5 lnURPit + ∂6 lnFDIit + πi + µt (8) ln CI + εit CI DED ER GDP SER URP
it = δ0 + δ1 ln i,t-1 + δ2 ln it + δ3 ln it + δ4 ln it + δρ5 ln it + δ6 ln it + δ7 (9) ln TIit = 𝝓
lnFDIit + πi + µt + εit
0 + 𝝓1 lnTIi,t-1 + 𝝓2 lnDEDit + 𝝓3 lnGDPit + 𝝓4 lnSERit + 𝝓5 lnURPit + 𝝓6 lnFDIit + πi + µt (10) thức ln CI + εit it =
η0 + η1 lnCIi,t-1 + η2 lnDEDit + η3 lnTIit + η4 lnGDPit + η5 lnSERit + η6 lnURPit + η7 lnFDIit (11) + thức thức
πi + µt + εit thức thức thức thức thức
Zhao et al. Trung hòa carbon (2023) 2:15 Trang 12 của 17
trong đó lnER và lnTI biểu thị quy định môi trường và đổi mới công nghệ, tương ứng. Kết quả trong hai cột đầu tiên của Bảng
7 là về quy định môi trường (là các phương trình ( ) 8 và ( )),
9 trong khi hai cột cuối cùng trong Bảng 7 là về
công nghệ năng lượng (là các phương trình ( ) và ( 10 11)).
Cụ thể, tác động của DED đối với quy định môi trường là tích cực đáng kể: khi DED tăng 1%, quy định môi trường
tăng 0,0100%, chứng tỏ rằng phát triển nền kinh tế kỹ thuật số có thể đẩy nhanh đáng kể quy định môi trường. Sau đó,
hệ số điều tiết môi trường trong cột (2) là -4.3869, minh họa rằng việc cải thiện mức độ điều tiết môi trường lên 1% có
thể dẫn đến giảm 4.3869% CI, điều này làm nổi bật tác động của DED đối với CI thông qua quy định môi trường. Mặt
khác, đối với cơ chế tác động nội bộ của đổi mới công nghệ, chúng ta có thể thấy từ cột (3) rằng tác động cận biên của
DED đối với đổi mới công nghệ là 0,0846, có nghĩa là DED tăng 1% có liên quan đến việc tăng cường đổi mới công
nghệ 0,0846%. Trong cột cuối cùng, nếu đổi mới công nghệ tăng 1%, CI có thể giảm hiệu quả 0,4176%. Do đó, cả quy
định môi trường và đổi mới công nghệ là những chất trung gian quan trọng, trong đó nhấn mạnh rằng DED có thể đóng
vai trò ức chế hiệu quả trong CI bằng cách thúc đẩy cải thiện quy định môi trường và đổi mới công nghệ.
Các biến được giải thích: lnCI trong (2) và (4); trong khi lnER trong (1) và lnRET trong (3) Biến số (1) (2) (3) (4)
lnCIi−1,t 0.4686*** (51.7808) 0.4849*** (84.3798)
lnERi−1,t 0.6106*** (24.4782)
lnRETi−1,t 0.8346*** (81.0994)
lnDED 0.0100** (2.0495) -1.3860*** (-5.2223) 0.0846*** (5.2026) -1.7022*** (-8.4745)
lnER -4.3869*** (-6.2190)
lnRET -0.4176*** (-3.3344)
lnGDP 0.0851*** (7.6446) 2.0927*** (12.7784) 0.3233*** (11.8647) 1.6539*** (9.9519)
lnSER 0.0206** (2.4227) 2.6043*** (8.0254) -0.0744*** (-3.0322) 2.3032*** (6.1920)
lnURP -0.0383** (-2.0150) -1.1510*** (-6.8762) 0.0430 (1.1225) -1.6153*** (-7.2323)
lnFDI 0.0013 (0.6116) 0.3802** (2.0735) -0.0973*** (-8.9068) 0.9800*** (8.5137)
Hằng -0.9495*** (-9.6014) -32.1657*** (-14.2872) -0.7618*** (-3.3558) -31.2369*** (-11.9835) AR (1) 0.0001 0.0134 0.0026 0.0114 AR (2) 0.5286 0.2770 0.5044 0.2131
Sargan 0.7820 0.9997 0.2269 0.2303
Bảng 7: Các kênh tác động cơ bản trong mối quan hệ giữa DED và CI
***, **, và * biểu thị mức độ ý nghĩa thống kê lần lượt ở các mức 1%, 5% và 10%; các giá trị trong dấu ngoặc đơn là giá trị thống kê t.
Zhao et al. Trung hòa carbon (2023) 2:15 Trang 13 của 17
Hình 4 Mối quan hệ giữa DED, CI, người điều hành và hòa giải viên
Lý do cho hiệu ứng trung gian của quy định môi trường có thể là EDE đã mang lại một kỷ nguyên kỹ thuật số và một
xã hội kỹ thuật số. Công nghệ thông tin đặc trưng bởi số hóa, mạng lưới và trí thông minh đã cung cấp nhiều kênh
truyền thông hơn cho phát triển kinh tế và xã hội [63, , 64 82, ].
86 Cụ thể, DED thúc đẩy việc phổ biến thông tin và tin
tức, giảm sự sai lệch trong việc ra quyết định của chính phủ, và do đó nâng cao năng lực và khả năng quản trị của chính phủ [ , 16
]. Sự phát triển của internet cũng đã tăng cường giao tiếp, hiể 59
u biết và tin tưởng giữa chính phủ và người dân
bằng cách giảm sự bất cân xứng thông tin và chi phí thông tin [53]. Theo cách này, DED là điều cần thiết để cải thiện
quy định môi trường. Cuối cùng, sự gia tăng cường độ điều tiết môi trường có thể hạn chế hiệu quả vấn đề khoảng cách
phát triển thành thị-nông thôn quá mức, đồng thời nhấn mạnh tầm quan trọng của quản trị môi trường, bảo vệ sinh thái
và phát triển kinh tế, điều tối quan trọng đối với sự phát triển phối hợp giữa các tỉnh.
Về cơ chế tác động thứ hai thông qua đổi mới công nghệ, các công nghệ kỹ thuật số tiên tiến đã tạo điều kiện cho việc
truyền tải nhanh chóng kiến thức và công nghệ [ , 62 ,
65 83]. Các doanh nghiệp và tổ chức nghiên cứu khoa học có thể
đạt được nâng cấp công nghệ trong một thời gian ngắn cho nghiên cứu năng lượng sạch bằng cách tận dụng những tiến
bộ trong cơ sở hạ tầng kỹ thuật số và dòng chảy tri thức và công nghệ [ , 20 ]. Nền 42
kinh tế kỹ thuật số cũng làm giảm
chi phí đổi mới công nghệ cho các doanh nghiệp liên quan đến năng lượng sạch và nâng cao hiệu quả sử dụng năng
lượng của họ. Hơn nữa, việc trình bày đổi mới công nghệ dưới dạng bằng sáng chế giúp đẩy nhanh đáng kể sự phổ biến
và ứng dụng của nó. Do đó, DED đóng một vai trò quan trọng trong việc phân bổ các yếu tố sáng tạo bằng cách thúc
đẩy đổi mới công nghệ và bằng sáng chế [ ].
10 Do đó, sự tiến bộ của đổi mới công nghệ thúc đẩy việc áp dụng rộng rãi
năng lượng tái tạo ở cả khu vực thành thị và nông thôn, đẩy nhanh quá trình chuyển đổi cơ cấu năng lượng và tạo điều
kiện tiếp cận năng lượng tái tạo cho cư dân nông thôn trong cuộc sống hàng ngày [ , 1 ].
35 Điều này, đến lượt nó, góp
phần xóa bỏ CI giữa khu vực nông thôn và thành thị.
Hơn nữa, dựa trên những phát hiện về hiệu ứng điều tiết và hiệu ứng trung gian, chúng tôi trình bày Hình. 4 để hiển
thị mối quan hệ giữa DED, CI và các biến kiểm duyệt và trung gian. 6 Kết luận
Nghiên cứu này là một trong những nghiên cứu đầu tiên đánh giá tác động của DED đối với CI dựa trên bộ dữ liệu
của hội đồng cấp tỉnh ở Trung Quốc trong giai đoạn 2006-2019. Chúng tôi tìm ra tác động trực tiếp của DED đối với CI
cũng như tác động không đồng nhất của nó đối với các tỉnh có mức vốn nhân lực và xã hội khác nhau. Sau đó, trong
phân tích hiệu quả điều độ, chúng tôi chú ý đến vai trò của thu nhập khả dụng trong khu dân cư nông thôn. Cuối cùng,
chúng tôi kiểm tra hai cơ chế tác động nội bộ trong mối quan hệ DED-CI. Do đó, chúng tôi nhận được các kết quả chính sau đây.
(1) Kết quả hồi quy đường cơ sở cho thấy CI bị hạn chế có thể đạt được bằng cách tăng cường DED vì DED đóng
một vai trò quan trọng trong việc ức chế sự bất bình đẳng về lượng khí thải carbon ở khoảng cách thành thị-nông
thôn. Và phát hiện chính này rất mạnh mẽ khi sử dụng các biến kiểm soát khác để tiến hành lại ước tính.
(2) Phân tích hiệu ứng không đồng nhất cho thấy ở những khu vực có mức vốn xã hội và nhân lực tương đối thấp
hơn, hiệu quả giảm thiểu CI do DED mang lại là nổi bật và đáng chú ý hơn.
(3) Phân tích hiệu quả kiểm duyệt nhấn mạnh vai trò của thu nhập khả dụng của cư dân nông thôn: thu nhập khả
dụng của cư dân nông thôn có liên quan tiêu cực đến CI. Hơn nữa, thu nhập khả dụng của cư dân nông thôn có
thể mở rộng đáng kể tác động tiêu cực của DED đối với CI, có nghĩa là thu nhập khả dụng của cư dân nông thôn
là một người điều tiết tốt.
(4) Phân tích hiệu quả hòa giải trình bày rằng quy định môi trường và đổi mới công nghệ là hai biến trung gian, có
nghĩa là tác động gián tiếp của DED đối với CI là thông qua quy định môi trường và đổi mới công nghệ.
Ý nghĩa chính sách tương ứng như sau. Thứ nhất, vì nền kinh tế kỹ thuật số có tác động đáng kể trong việc thúc đẩy
giảm CI, các chính phủ nên chú ý đến DED. Cụ thể hơn, từ góc độ công nghệ, chúng ta cần thúc đẩy mạnh mẽ sự đột
phá của các công nghệ cốt lõi chính liên quan đến số hóa, đồng thời đạt được sự chuyển đổi và nâng cấp các công nghệ
hiện có. Đặc biệt, các sở, ban, ngành liên quan đến khai thác, chế biến, chuyển đổi năng lượng cần tận dụng DED để
nâng cao năng suất. Để giảm CI, các chính phủ phải chú ý đến sự khác biệt và bao gồm nguồn cung cơ sở hạ tầng kỹ
thuật số. Đối với cư dân nông thôn và các nhóm thu nhập thấp, cần đầu tư nguồn lực tài chính để tạo điều kiện tiếp cận
Zhao et al. Trung hòa carbon (2023) 2:15 Trang 14 của 17
các tài nguyên kỹ thuật số cơ bản. Các nhà hoạch định chính sách cũng nên cải thiện sự tham gia của các nhóm này
trong số hóa và mức độ ứng dụng của số hóa.
Thứ hai, ở các tỉnh có nguồn nhân lực và vốn xã hội khác nhau, mối quan hệ giữa DED và CI là khác nhau. Nói cách
khác, DED đóng một vai trò khác trong CI ở các tỉnh có nguồn vốn khác nhau. Và ở các tỉnh có vốn nhân lực và xã hội
thấp hơn, vai trò của số hóa rõ ràng hơn. Do đó, các chính phủ nên tăng cường độ đầu tư của các quỹ nghiên cứu và
phát triển (R&D) và cung cấp nhiều hỗ trợ tài chính hơn cho việc phát triển thiết bị và công nghệ kỹ thuật số. Các chính
phủ cũng nên tăng đầu tư vốn con người, đặc biệt là trong các ngành công nghiệp mà số hóa chiếm tỷ lệ tương đối thấp.
Điều này có thể đạt được bằng cách tích cực trau dồi tài năng liên quan đến số hóa. Ngoài ra, DED có thể có tác dụng
thay thế đối với lao động có tay nghề thấp. Do đó, các chính phủ nên tăng cường đầu tư vào các quỹ giáo dục khác nhau
và chú ý đến lao động có tay nghề thấp hơn.
Thứ ba, để giảm CI giữa thành thị và nông thôn, chúng ta cần tập trung vào quy định môi trường và đổi mới công
nghệ. Trước tiên, các chính phủ cần hiểu tổng lượng khí thải carbon cũng như lượng khí thải carbon ở khu vực thành thị
và nông thôn, tương ứng. Trên cơ sở đó, các chính phủ cần điều tiết mức tiêu thụ năng lượng và ô nhiễm môi trường ở
khu vực thành thị và nông thôn. Các cơ quan chức năng liên quan cần quan tâm hơn nữa đến chuyển đổi năng lượng và
chuyển đổi cơ cấu công nghiệp tại các đô thị. Mặt khác, ở khu vực nông thôn, cần xem xét sự phát triển phối hợp của
tăng trưởng kinh tế, tiêu thụ năng lượng và phát thải carbon. Đổi mới công nghệ cũng đóng một vai trò quan trọng trong
việc giảm CI. Một mặt, các chính phủ có thể khuyến khích R &D và thúc đẩy đổi mới công nghệ thông qua hỗ trợ tài
chính và giảm thuế. Mặt khác, có thể thiết lập cơ chế chia sẻ và cơ chế khuếch tán công nghệ sử dụng năng lượng trong
các vùng, tỉnh để đạt được sự phân công lao động hợp lý và phát triển phối hợp giữa các vùng. Phụ lục
Bảng 8: Kết quả kiểm định đồng liên kết bảng Thống kê Giá trị Giá trị Z
Giá trị P Gt -2.985 -4.236 0.000 Ga -1.000 7.650 1.000
Pt -12.994 -2.200 0.014 Pa -1.145 4.743 1.000 Viết tắt
CI Carbon inequality: Bất bình đẳng về phát thải carbon
DIF-GMM Differential - Generalized method of moments: Phương pháp mô men tổng quát - vi phân
FE Fixed Effect: Hiệu ứng cố định
ICT Information and communication technology: Công nghệ thông tin và truyền thông
NDC Nationally Determined Contributions: Các đóng góp do quốc gia tự quyết định
R &D Research and development: Nghiên cứu và phát triển
SDGs Sustainable Development Goals: Các mục tiêu phát triển bền vững
SYS-GMM System - Generalized method of moments: Phương pháp mô men tổng quát - hệ thống
DED Digital economy development: Phát triển kinh tế số
FDI Foreign direct investment: Đầu tư trực tiếp nước ngoài
GMM Generalized method of moments: Phương pháp mô men tổng quát
MRIO Multi-regional input-output: Đầu vào - đầu ra đa vùng
OLS Ordinary Least Squares: Phương pháp bình phương tối thiểu thông thường
RRDI Rural residents’ disposable income: Thu nhập khả dụng của cư dân nông thôn
SMEs Small and medium enterprises: Doanh nghiệp nhỏ và vừa Lời cảm ơn
Các tác giả biết ơn những đánh giá và nhận xét hữu ích từ các biên tập viên và những người đánh giá ẩn danh, điều này đã cải thiện bản thảo này đáng kể.
Đóng góp của tác giả
ZC đã đóng góp vào phân tích, và là người đóng góp chính trong việc viết bản thảo. WJ đề xuất thiết kế. DK đề xuất thiết kế và thực hiện quy trình dự toán. DX
đã lên ý tưởng nghiên cứu và chỉnh sửa bản thảo. Tất cả các tác giả đã đọc và phê duyệt bản thảo cuối cùng. Tài trợ
Tài trợ truy cập mở được cung cấp bởi Đại học Giao thông Thượng Hải. Kinh phí được cung cấp bởi Dự án Chunhui của Bộ Giáo dục Trung Quốc (Cấp số. HZKY20220005).
Zhao et al. Trung hòa carbon (2023) 2:15 Trang 15 của 17
Tính sẵn có của dữ liệu và tài liệu
Dữ liệu hỗ trợ những phát hiện của nghiên cứu này có sẵn từ tác giả tương ứng theo yêu cầu hợp lý. Tuyên bố
Phê duyệt đạo đức và đồng ý tham gia Không áp dụng. Đồng ý xuất bản Không áp dụng. Cạnh tranh lợi ích
Không có xung đột lợi ích tiềm ẩn nào được báo cáo bởi các tác giả.
Đã nhận: 12 Tháng Tư 2023 Sửa đổi: 26 Tháng Sáu 2023 Đã chấp nhận: 30 Tháng Sáu 2023
Ghi chú của nhà xuất bản
Springer Nature vẫn trung lập đối với các tuyên bố về quyền tài phán trong các bản đồ được công bố và các liên kết thể chế.
© (Các) tác giả 2023. Tác phẩm này được xuất bản theo
http://creativecommons.org/licenses/by/4.0/("Giấy phép"). Bất kể
Điều khoản và Điều kiện của ProQuest, bạn có thể sử dụng nội
dung này theo các điều khoản của Giấy phép