Report tài liệu
Chia sẻ tài liệu
Ôn tập cuối học kì 1 Toán 10 năm 2025 – 2026 trường THPT Cầu Giấy – Hà Nội
Xin giới thiệu đến quý thầy, cô giáo và các em học sinh đề cương hướng dẫn nội dung ôn tập cuối học kì 1 môn Toán 10 năm học 2025 – 2026 trường THPT Cầu Giấy, thành phố Hà Nội.
Chủ đề: Đề HK1 Toán 10 543 tài liệu
Môn: Toán 10 3.1 K tài liệu
Tác giả:
Tài liệu liên quan:
-
Đề cuối học kì 1 Toán 10 năm 2025 – 2026 trường THPT Marie Curie – TP HCM
6 3 -
Bộ đề tham khảo ôn tập học kỳ 1 Toán 10 sách KNTTVCS năm học 2025 – 2026
16 8 -
Bộ đề tham khảo ôn tập học kỳ 1 Toán 10 sách Cánh Diều năm học 2025 – 2026
20 10 -
Bộ đề tham khảo ôn tập học kỳ 1 Toán 10 sách CTST năm học 2025 – 2026
15 8 -
Bộ 10 Đề Ôn Tập Cuối Học Kỳ 1 Toán 10 Năm 2025-2026 Có Đáp Án
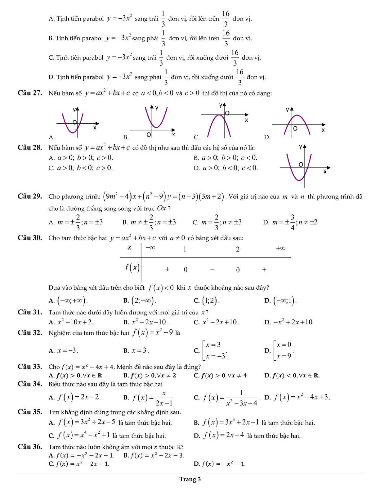
16 8














