









Preview text:
ÔN TẬP LÝ THUYẾT SỨC BỀN VL 
Chương 1: Các Khái Niệm Mở Đầu 
- Sức bền vật liệu: là khoa học về tính toán kỹ thuật độ bền, độ cứng và độ 
ổn định các chi tiết máy và các phần tử của các công trình. 
- Độ bền: khả năng của kết cấu, các thành phần của nó và các chi tiết máy 
chịu được một tải trọng nhất định mà không bị phá hỏng trong thời gian 
tồn tại, tuổi thọ của các công trình và máy 
- Độ cứng: khả năng … chống lại các ngoại lực về mặt biến dạng. ( sự thay đổi 
hình dạng kích thước không vượt quá trị số cho phép ) 
- Độ ổn định: khả năng … bảo toàn dạng cân bằng đàn hồi xác định ban đầu 
trong quá trình chịu lực. 
- Tính đàn hồi -> biến dạng đàn hồi -> đàn hồi tuyệt đối -> biến dạng dư/  dẻo 
- Các giả thuyết cơ bản về vật liệu 
1) Vật liệu có tính liên tục, đồng chất, đẳng hướng 
2) Vật liệu có tính chất đàn hồi tuyệt đối 
3) Biến dạng của vật thể do ngoại lực gây nên được xem là 
rất bé so với kích thước của vật 
- Biến dạng : + biến dạng dài ( thẳng ) 
 + biến dạng góc ( trượt ) 
- Chuyển vị : dài và góc. 
Chương 2: Lý Thuyết Về Nội Và Ngoại Lực 
- Ngoại lực: là lực tác dụng của môi trường bên ngoài hay của các vật thể 
khác lên vật thể đang xét. Gồm: Tải trọng và phản lực liên kết 
- Tải trọng : là ngoại lực có phương, chiều, trị số và điểm đặt đã biết trước.     
Gồm tải trọng tĩnh và động. 
- Phản lực liên kết: là những lực phát sinh tại những chỗ tiếp xúc của vật thể 
đang xét với các vật thể khác dưới tác dụng của các tải trọng 
- Phân loại theo hình thức: + Lực tập trung: những lực td tại 1 điểm 
 + Lực phân bố bề mặt 
 + Lực phân bố thể tích 
 + Lực phân bố theo chiều dài 
- Liên kết: + gối tựa di động ( lk đơn ): chỉ ngăn cản cđ thẳng dọc theo  phương lk 
 + gối tựa cố định ( lk khớp )   + liên kết ngàm (hàn) 
- Nội lực: là độ tăng của các lực tương tác bên trong vật rắn biến dạng dưới 
tác dụng của ngoại lực. 
- Ứng suất trung bình: trên dentaF là cường độ trung bình của nội lực K  thuộc mặt cắt F. ( ptb) 
- Ứng suất toàn phần: giới hạn ptb khi dentaF -> 0 
- Ứng suất: + Ứng suất pháp ( gây ra biến dạng dài ) 
 + Ứng suất tiếp ( gây ra biến dạng góc ) 
- Các thành phần nội lực: + Lực dọc trục : Nz 
 + Lực cắt theo phương x và y: Qx, Qy   + Moomen uốn : Mx, My   + Momen xoắn : Mz 
- Quy ước về chiều: + Nz: Dương khi đi từ mặt cắt đi ra (lực kéo), âm ngc lại. 
 + Mx,y: Dương khi làm căng thớ dọc về phía dương trục y 
 Và x tương ứng, âm ngc lại 
 + Qy: Dương khi nằm về bên phải mặt cắt Qy cùng chiều 
dương trục Oy còn bên trái mặt cặt thì ngc chiều,  âm ngược lại     
 + Mz: Dương khi nhìn vào mặt cắt thấy Mz quay cùng  chiều kim đồng hồ. 
- Biều đồ nội lực: là đường biểu diễn sự biến thiên của các nội lực theo vị trí 
của các mặt cắt dọc theo trục thanh. 
- Quy ước: + Nz và Qy: dương vẽ trên trục còn âm vẽ dưới trục 
 + Mx: vẽ về các thớ bị căng, dương được vẽ xuống dưới đường   Chuẩn 
Chương 3: Kéo Nén Đúng Tâm 
- Một thanh chịu kéo nén đúng tâm ( dọc trục ) là thanh chịu lực sao cho 
trên mọi mặt cắt ngang của nó chỉ có 1 thành phần nội lực là Nz. 
- Các giả thuyết về biến dạng thanh: 
1) Giả thuyết mặt cắt ngang phẳng (Becnu-li): Trong quá trình biến dạng 
mặt cắt ngang luôn luôn phẳng và vuông góc với trục thanh 
2) Giả thuyết về các thớ dọc: Trong quá trình biến dạng, các thớ dọc không 
ép lên nhau cũng không tách xa nhau, chúng luôn song song với trục  hoành 
- Ứng suất trên mặt cắt nghiêng: 
1) Ứng suất pháp và ứng suất tiếp phân bố đều trên mặt cắt nghiêng 
2) Ứng suất pháp đạt giá trị lớn nhất khi a = 0 ( mặt cắt ngang vuông góc  trục thanh) 
3) Ứng suất tiếp đạt giá trị cực trị khi a = +- 45, tmin = tmax = o/2. 
4) Tổng các ứng suất pháp trên hai mặt cắt vuông góc với nhau là 1 hằng số 
5) Định luật đối ứng của ứng suất tiếp: Nếu trên mặt cắt nào đó có thành 
phần ứng suất tiếp thì trên mặt cắt vuông góc với phương của ứng suất 
tiếp đó cũng phải có ứng suất tiếp. Trị số 2 ứng suất tiếp đó bằng nhau 
nhưng ngược dấu, nghĩa là chúng cùng đi vào cạnh chung hoặc cùng đi  ra xa cạnh chung. 
- Biến dạng dọc, biến dạng ngang Biến dạng tại 1 điểm:       
Biến dạng dài dọc trục:   
Biến dạng tỷ đối theo phương ngang:      
- Vật liệu dẻo và vật liệu giòn:  
+ Vật liệu dẻo là vật liệu bị phá hoại khi biến dạng đã lớn. Có khả năng chịu  kéo và nén như nhau 
+ Vật liệu giòn là vật liệu bị phá hoại ngay khi biến dạng còn bé. Có khả 
năng chịu nén tốt hơn chịu kéo 
- Ứng suất cho phép, điều kiện bền: Một chi tiết máy chịu kéo nén được an 
toàn thì ứng suất lớn nhất trên mặt cắt ngang không được vượt quá ứng 
suất cho phép ( điều kiện bền ). 
Đối với vật liệu dẻo: max|σz| <= [σ] 
Đối với vật liệu giòn: +) max σ z <= [σ]k 
 +) min σ z <= [σ]n 
- Thế năng biến dạng đàn hồi: Năng lượng làm vật thể trở lại hình dáng ban 
đầu, là năng lượng tích lũy bên trong vật thể trong quá trình biến dạng, đgl 
thế năng biến dạng đàn hồi. ( U )   U = A = (Nz^2.l)/ 2EF 
- Thế năng biến dạng đàn hồi riêng: là TNBDĐH tích lũy trong 1 đơn vị thể 
tích của vật thể. (u) u = Nz^2/ 2E.F^2 = oz^2/ 2E = oz.ez/2     
Chương 4: Trạng Thái Ứng Suất Biến Dạng – Các Thuyết Bền 
- Trạng thái ứng suất: tại 1 điểm là trạng thái chịu lực của điểm đang xét 
được đặc trưng bởi các giá trị ứng suất pháp và ứng suất tiếp trên những 
mặt cắt khác nhau đi qua điểm đó 
- Phân tố chính: là 1 phân tố sao cho trên các mặt cắt của nó chỉ có các ứng 
suất pháp mà không có ứng suất tiếp 
+ Các mặt của phân tố chính: mặt chính 
+ Pháp tuyến của mặt chính: phương chính 
+ Các ứng suất pháp trên mặt chính: ứng suất chính 
- Phân loại: TTUS đơn, phẳng, khối - 
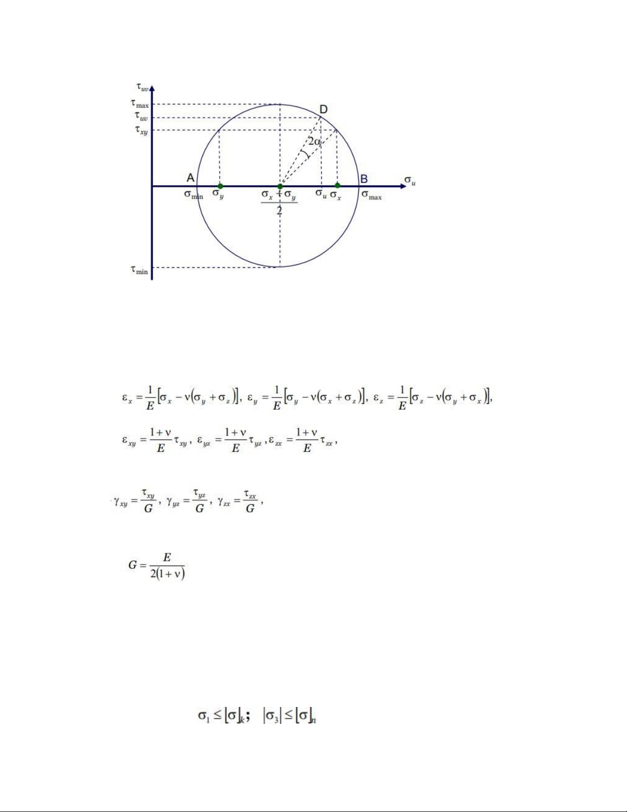
Ứng suất trên mặt cắt nghiêng:    
- Ứng suất chính và phương chính    - Vòng Mo ứng  suất  στ    Hệ trục O , tâm C  , bán  kính R 
 P ( σy ,τxy¿là điểm cực       
- Trạng thái ứng suất đặc biệt: + Trượt thuần túy   + Phẳng đặc biệt 
- Định luật Hooke tổng quát với biến dạng dài và trượt       
E là mô đun đàn hồi, G là moodun trượt    - Các thuyết bền  
1) Thuyết bền ứng suất pháp cực đại (Thuyết bền thứ nhất)  
Nguyên nhân gây ra sự phá hỏng vật liệu là ứng suất pháp lớn nhất 
Với vl dẻo: max|σ 1,∨σ 3∨¿| <= [σ]  Với vl giòn:       
 Chỉ áp dụng cho TTUS đơn 
2) Thuyết bền biến dạng dài tương đối cực đại (Thuyết bền thứ hai)  
Nguyên nhân vật liệu bị phá hoại là do biến dạng dài tương đối lớn nhất   
• Không phù hợp vl dẻo, chỉ phù hợp vl giòn ( ít được sd ) 
3) Thuyết bền ứng suất tiếp cực đại  
Nguyên nhân gây ra sự phá hỏng của vật liệu là do ứng suất tiếp lớn nhất  Với TTUS khối     
Với TTUS phẳng: σ td3=√(σx−σy )2+4τx y2 
• Phù hợp với vật liệu dẻo, ko phù hợp vl giòn ( đc sd nhiều ) 
4) Thuyết bền thế năng biến đổi hình dáng cực đại 
Nguyên nhân cơ bản gây ra sự phá hỏng vật liệu là do thế năng biến đổi  hình dáng  TTUS Khối:    TTUS phẳng:   
• Chỉ phù hợp vật liệu dẻo, ko phù hợp vật liệu dòn ( đc sd rộng rãi)     
5) Thuyết bền trạng thái ứng suất giới hạn    
 Phù hợp với cả 2 loại vl 
Chương 5 : Đặc Trưng Hình Học Của Mặt Cắt Ngang 
- Moomen tĩnh của diện tích F đối với trục x, y là biểu thức tích phân  Sx, Sy 
Trục trung tâm: Momen tĩnh của F đối với trục đó bằng 0 
Trọng tâm mặt cắt: giao của hai trục trung tâm 
Hệ trục (quán tính) trung tâm: hệ trục tọa độ có gốc trùng trọng tâm 
- Momen quán tính của diện tích F đối với trục x, y là biểu thức tích phân  Jx, Jy 
Momen quán tính độc cực: Jp = Jx + Jy 
Momen quán tính ly tâm: Jxy 
Hệ trục quán tính chính: Momen quán tính ly tâm của F đối với trục đó = 0 
Hệ trục (quán tính) chính trung tâm: hệ trục có gốc trùng trọng tâm    
Chương 6 : Uốn Ngang Phẳng Thanh Phẳng 
- Một thanh chịu uốn là thanh có trục bị uốn cong dưới tác dụng của ngoại 
lực. Thanh chịu uốn gọi là dầm     
- Mặt phẳng tải trọng: là mặt phẳng có ngoại lực cùng tác dụng trong một 
mặt phẳng chứa trục dầm 
- Đường tải trọng: Giao tuyến giữa mặt phẳng tải trọng và mắt cắt ngang 
A. Uốn phẳng thuẩn túy 
- Một dầm gọi là chịu uốn phẳng thuần túy khi trên mọi mặt cắt ngang của 
của dầm chỉ có một thành phần momen uốn nằm trong mặt phẳng quán  tính chính 
- Các giả thuyết:  
1) Giả thuyết mặt cắt phẳng (Becunuli): Trong quá trình biến dạng mặt cắt 
ngang ban đầu luôn luôn phẳng và vuông góc với trục thanh 
2) Giả thuyết về các thớ dọc: Trong quá trình biến dạng, các thớ dọc không tác 
dụng tương hỗ lẫn nhau   
- Thớ trung hòa: Thớ không co cũng không giãn trong qtrinh biến dạng   
B. Dầm chịu uốn ngang phẳng 
- Một dầm được gọi là chịu uốn ngang phẳng khi trên các mặt cắt ngang 
ngoài thành phần momen uốn M còn có thành phần lực cắt Q. 
Các thành phần nội lực đó nằm trong mặt phẳng đối xứng của dầm 
Chương 7 : Xoắn Thuần Túy Thanh Phẳng 
- Một thanh chịu xoắn thuần túy là một thanh chịu lực sao cho trên mọi mặt 
cắt ngang thanh chỉ có một thành phần nội lực là momen xoắn Mz  - Các giả thuyết: 
1) Giả thuyết về mặt cắt ngang phẳng: Trong quá trình biến dạng mặt cắt 
ngang ban đầu luôn luôn phẳng và vuông góc với trục thanh 
2) Giả thuyết về trục thanh: Trong quá trình biến dạng trục thanh ban đầu 
luôn luôn thẳng và giữ nguyên độ dài của nó     
3) Giả thuyết về bán kính: Trước và sau khi biến dạng các bán kính của thanh 
luôn luôn thẳng và có độ dài không đổi 
4) Giả thuyết về các thớ dọc: Trong quá trình biến dạng các thớ dọc không ép 
lên nhau cũng không tách xa nhau 
- Momen chống xoắn: Wp = Jp/R 
- Góc xoắn tỷ đối: Góc xoắn tương đối giữa hai mặt cắt ngang cách nhau 1  đơn vị chiều dài 
- Ứng suất trong dây lò xo:  
+ Lực cắt Q=P gây ứng suất tiếp phân bố đều với chị số Q/F 
+ Mz gây ra gây ra ứng suất tiếp có giá lớn nhất bằng Mz/Wp 
Tmax = Q/F + Mz/Wp = 8PD.(1+ d/2D)/ pi.d^3 
- Độ co ( giãn ) của lò xo:   Lamda = 8PD^3.n/Gd^4 = P/C 
C = Gd^4/8d^3.n ( độ cứng của lò xo)